CAS 77-06-5
:(+)-Gibberellic acid
- (+)-Gibberellin A3
- (+)-Gibberellin A<sub>3</sub>
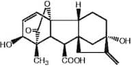
- (1R,2R,4aS,4bS,7R,9aR,10S,10aS)-2,7-dihydroxy-1-methyl-8-methylidene-13-oxo-1,2,4b,5,6,7,8,9,10,10a-decahydro-4a,1-(epoxymethano)-7,9a-methanobenzo[a]azulene-10-carboxylic acid
- (1S,2S,4aR,4bR,7S,9aS,10S,10aR)-2,7-dihydroxy-1-methyl-8-methylidene-13-oxo-1,2,4b,5,6,7,8,9,10,10a-decahydro-4a,1-(epoxymethano)-7,9a-methanobenzo[a]azulene-10-carboxylic acid
- (1S,2S,4aR,4bR,7S,9aS,10S,10aR)-2,7-dihydroxy-1-methyl-8-methylidene-13-oxododecahydro-4a,1-(epoxymethano)-7,9a-methanobenzo[a]azulene-10-carboxylic acid
- (2S,4aR,4bR,7S,9aS,10S,10aR)-2,7-dihydroxy-1-methyl-8-methylidene-13-oxo-1,2,4b,5,6,7,8,9,10,10a-decahydro-4a,1-(epoxymethano)-7,9a-methanobenzo[a]azulene-10-carboxylic acid
- (2S,4aR,4bR,9aS,10S,10aR)-2,7-dihydroxy-1-methyl-8-methylidene-13-oxo-1,2,4b,5,6,7,8,9,10,10a-decahydro-4a,1-(epoxymethano)-7,9a-methanobenzo[a]azulene-10-carboxylic acid
- (3S,3aR,4S,4aR,7S,9aR,9bR,12S)-7,12-dihydroxy-3-methyl-6-methylene-2-oxoperhydro-4a,7-methano-9b,13-propenoazuleno[1,2-b]furan-4-carboxylic acid
- (3S,3aS,4S,4aS,6S,8aR,8bR,11S)-6,11-Dihydroxy-3-methyl-12-methylen-2-oxo-4a,6-ethano-3,8b-prop-1-enoperhydroindeno[1,2-b]furan-4-carbonsaure
- (3S,3aS,4S,4aS,6S,8aR,8bR,11S)-6,11-dihydroxy-3-methyl-12-methylene-2-oxo-4a,6-ethano-3,8b-prop-1-enoperhydroindeno[1,2-b]furan-4-carboxylic acid
- 2,4a,7-Trihydroxy-1-methyl-8-methylenegibb-3-ene-1,10-dicarboxylic acid 1,4a-lacto
- 2,7-Dihydroxy-1-Methyl-8-Methylidene-13-Oxo-1,2,4B,5,6,7,8,9,10,10A-Decahydro-4A,1-(Epoxymethano)-7,9A-Methanobenzo[A]Azulene-10-Carboxylic Acid
- Acide (3S,3aS,4S,4aS,6S,8aR,8bR,11S)-6,11-dihydroxy-3-methyl-12-methylen-2-oxo-4a,6-ethano-3,8b-prop-1-enoperhydroindeno[1,2-b]furane-4-carboxylique
- Activol
- Arbostim
- Berelex
- Berelex L
- Clemencuaje
- GA
- GA3
- GA<sub>3</sub>
- GibGro
- Gibb-3-ene-1,10-dicarboxylic acid, 2,4a,7-trihydroxy-1-methyl-8-methylene-, 1,4a-lactone, (1α,2β,4aα,4bβ,10β)-
- Gibberellic Acid (1.06020)
- Gibberellic Acid A3
- Gibberellic acid GA-3
- Gibberellic acid GA3
- Gibberellic acid GA<sub>3</sub>
- Gibberellin Acid
- Gibberellin GA<sub>3</sub>
- Gibberellinsaeure
- Giberllon
- Gibrescol
- Gibreskol
- Grocel GA3
- Grocel GA<sub>3</sub>
- Maxon
- Maxon (plant growth regulator)
- Nsc 14190
- Nsc 19450
- Pro-Gibb
- Pro-Gibb Plus
- ProGib
- Ralex
- Release
- Release LC
- RyzUp
- RyzUp SmartGrass
- Tu 64-3-103-75
- acide (3S,3aS,4S,4aS,6S,8aR,8bR,11S)-6,11-dihydroxy-3-methyl-12-methylene-2-oxo-4a,6-ethano-3,8b-prop-1-enoperhydroindeno[1,2-b]furanne-4-carboxylique
- acido (3S,3aS,4S,4aS,6S,8aR,8bR,11S)-6,11-dihidroxi-3-metil-12-metilen-2-oxo-4a,6-etano-3,8b-prop-1-enoperhidroindeno[1,2-b]furano-4-carboxilico
- See more synonyms
Gibberellin A3
CAS:Formula:C19H22O6Purity:>98.0%(T)Color and Shape:White to Almost white powder to crystalMolecular weight:346.38Gibberellic acid, 90+%
CAS:It is a plant growth regulating hormone that promotes plant cell growth and elongation. They promote rapid stem and root growth, induce mitotic division and initiate (break dormancy) and increase seed germination rates. They are also involved in processes such as gravitropism, tensioning and floralFormula:C19H22O6Purity:90+%Color and Shape:Powder, White to cream to pale brownMolecular weight:346.38Gibberellic acid, 98%
CAS:Plant growth hormoneFormula:C19H22O6Purity:98%Color and Shape:White to very pale cream, Crystalline powderMolecular weight:346.38Gibberellic acid
CAS:Gibberellic acid (GA3) is a hormone found in plants and fungi.Formula:C19H22O6Purity:97.01% - 99.79%Color and Shape:Crystals From Ethyl Acetate Physical Description White Powder (Ntp 1992)Molecular weight:346.37Gibberellic acid
CAS:Gibberellic acidFormula:C19H22O6Purity:90%Color and Shape:Solid-PowderMolecular weight:346.37438Gibberellic acid
CAS:Formula:C19H22O6Purity:≥ 90.0%Color and Shape:White to off-white crystalline powderMolecular weight:346.37Gibberellic Acid, 90%
CAS:Applications Gibberellic Acid is a pentacyclic diterpene acid. Gibberellic Acid is a hormone that is found in plants which promotes the growth and elongation of cells. Gibberellic acid acts as a plant growth regulator on account of its physiological and morphological effects in extremely low concentrations. Generally Gibberellic acid affects only the plant parts above the soil surface.
References Bayle, J. et al.: Chem. Biol., 13, 99 (2006); Ihara, S. et al.: J. Cell Sci., 119, 500 (2006); Suh, B. et al.: Science, 314, 1454 (2006); Rinaudo, K. et al.: Nat. Biotechnol., 25, 795 (2007);Formula:C19H22O6Purity:90%Color and Shape:NeatMolecular weight:346.37Gibberellic acid
CAS:Gibberellic acid is a plant growth regulator, which is derived from fungal species, particularly Gibberella fujikuroi. It functions by stimulating and regulating various growth and developmental processes within plants. Gibberellic acid works through promoting cell elongation, breaking seed dormancy, and influencing enzyme production that leads to plant growth and development.Formula:C19H22O6Purity:(Hplc) Min. 90.0%Color and Shape:White PowderMolecular weight:346.37 g/molGibberellic acid
CAS:Gibberellic acid is a plant growth regulator, which is derived from fungal species, particularly Gibberella fujikuroi. It functions by stimulating and regulating various growth and developmental processes within plants. Gibberellic acid works through promoting cell elongation, breaking seed dormancy, and influencing enzyme production that leads to plant growth and development.Gibberellic acid is extensively utilized in agricultural and horticultural applications to enhance plant growth, improve fruit size, and increase yields. It is also employed in seed treatment to facilitate more uniform and quicker germination. Additionally, gibberellic acid is used to regulate flowering and to promote the development of certain plant species under controlled environmental conditions. This compound plays a critical role in research, providing insights into plant physiology and the hormonal interactions that govern plant development.
Formula:C19H22O6Molecular weight:346.38 g/molGibberellic Acid (GA3) for tissue culture, 90%
CAS:Formula:C19H22O6Purity:min. 90%Color and Shape:White to off - white, Crystalline powder, ClearMolecular weight:346.38Gibberellic Acid (GA3), 90%
CAS:Formula:C19H22O6Purity:min. 90%Color and Shape:White to off-white, Crystalline powder, ClearMolecular weight:346.38Gibberellic acid 1000 µg/mL in Acetonitrile
CAS:Controlled ProductFormula:C19H22O6Color and Shape:Single SolutionMolecular weight:346.37











