CAS 81591-81-3
:Touchdown
Description:
"Touchdown," with the CAS number 81591-81-3, is a chemical substance primarily known as a herbicide. It belongs to the class of glyphosate-based herbicides, which are widely used for controlling a variety of weeds in agricultural settings. The active ingredient in Touchdown is typically glyphosate, a systemic herbicide that inhibits a specific enzyme pathway (the shikimic acid pathway) found in plants and some microorganisms, leading to their death. Touchdown is characterized by its broad-spectrum efficacy, meaning it can effectively target a wide range of weed species. It is often applied pre- or post-emergence, depending on the specific application and crop management practices. The formulation may include surfactants to enhance absorption and effectiveness. Safety and environmental considerations are important when using this herbicide, as it can impact non-target species and ecosystems. Proper handling, application, and adherence to regulatory guidelines are essential to minimize risks associated with its use.
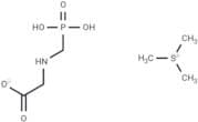
Formula:C3H9S·C3H7NO5P
InChI:InChI=1S/C3H8NO5P.C3H9S/c5-3(6)1-4-2-10(7,8)9;1-4(2)3/h4H,1-2H2,(H,5,6)(H2,7,8,9);1-3H3/q;+1/p-1
InChI key:InChIKey=RUCAXVJJQQJZGU-UHFFFAOYSA-M
SMILES:C(NCC([O-])=O)P(=O)(O)O.[S+](C)(C)C
Synonyms:- Avans 330
- Glycine, N-(phosphonomethyl)-, ion(1-), trimethylsulfonium
- Glycine, N-(phosphonomethyl)-, ion(1-), trimethylsulfonium (1:1)
- Glyphosate mono(trimethylsulfonium) salt
- Glyphosate trimethylsulfonium salt
- Glyphosate-trimesium
- Icia 0224
- Medallon
- N-(Phosphonomethyl)glycine trimethylsulfonium salt
- N-Phosphonomethylglycine monotrimethylsulfonium salt
- Ouragan
- Sc 0224
- Sulfonium, trimethyl-, salt with N-(phosphonomethyl)glycine (1:1)
- Sulfosate
- Touchdown
- Touchdown 480
- Trimethylsulfonium [(Phosphonomethyl)Amino]Acetate
- See more synonyms
Sort by
The purity filter is not visible because current products do not have associated purity data for filtering.
Found 4 products.
Sulfosate-d9
CAS:Formula:C3H7NO5P·C3D9SColor and Shape:White To Off-White Semi-SolidMolecular weight:168.07 86.22Sulfosate
CAS:Formula:C3H7NO5P·C3H9SColor and Shape:Off-White Semi-SolidMolecular weight:168.07 77.16Sulfosate
CAS:Stability Hygroscopic
Applications Sulfosate is a non-selective systemic herbicide used primarily for weed control.
Not a dangerous good if item is equal to or less than 1g/ml and there is less than 100g/ml in the package
References Martin-Duvall, T., et al.: Proc. Calif. Weed Sci. Soc., 54, No pp given (2000); (Trouslard, B.: Phytoma, 429, 47 (1991); Yarborough, D. & Hess, T.: Proc. Northeastern Weed Sci. Soc., 54, 6 (2000)Formula:C3H9S·C3H7NO5PColor and Shape:NeatMolecular weight:245.23Glyphosate-trimesium
CAS:Glyphosate-trimesium is a herbicide.Formula:C6H16NO5PSColor and Shape:SolidMolecular weight:245.23


