CAS 9000-01-5
:Gum arabic
Description:
Gum arabic, also known as acacia gum, is a natural gum derived from the sap of the Acacia tree, primarily Acacia senegal and Acacia seyal. It is a complex mixture of glycoproteins and polysaccharides, characterized by its water-soluble properties, which allow it to form viscous solutions. Gum arabic is widely used in the food industry as a stabilizer, emulsifier, and thickening agent due to its ability to enhance texture and improve mouthfeel. It is also utilized in pharmaceuticals, cosmetics, and as a binder in various applications. The substance is generally recognized as safe (GRAS) by regulatory agencies, making it suitable for consumption. Additionally, gum arabic has a low caloric value and is considered a source of dietary fiber. Its unique properties, such as film-forming ability and compatibility with various ingredients, make it a versatile additive in many formulations. Overall, gum arabic is valued for its functional characteristics and its role in enhancing product stability and quality across multiple industries.
Formula:Unspecified
Synonyms:- 4685H
- Acacia ampliceps gum
- Acacia dealbata gum
- Acacia fragilis gum
- Acacia gum
- Acacia leptopetala gum
- Acacia ligulata gum
- Acacia meisneri gum
- Acacia pruinocarpa gum
- Acacia salicina gum
- Acacia senegal gum
- Acacia syrup
- Acacia victoriae gum
- Arabic Cole SS
- Arabic Cool
- Arabic Cool JP
- Arabic Cool SS
- Arabic Gum A
- Arabic gum
- Arabicum rubber
- Aragum 301
- Australian gum
- Bev 202
- Cape gum
- Chaargund
- Char goond
- Creo Gum 4810
- Dl 80
- E 414
- Efficacia M
- Eficacia M
- Eficacia X E
- FiberGum AS
- Fibergum AS-IRX
- Fibergum B IRX 61380
- Fibregum
- Fibregum P
- Goma Arabiga
- Gomme arabique
- Gum Arabic FT
- Gum Arabic SD
- Gum arabic
- Gum arabic powder
- Gum ovaline
- Gum senegal
- Gum thala
- Gummi arabicum
- Gums, acacia
- Gundar gum
- Inagel Arabia Gum A
- Indian gum
- Instangum IRX
- Instant Gum AA
- Instant Gum AS-IRX 40830
- Instant Gum AS-IRX-AB
- Instant Gum BA
- Instant Gum IRX
- Instant Gum IRX 40693
- Instantgum AB
- Instantgum BC
- Irx 49345
- Khair gum
- Kordofan gum
- MS 1 (gum)
- Maklai gum
- Meska
- Ms 1
- Neosoft AB
- Nexira Instantgum AA
- Powder, Acacia
- Quick Gum 8015
- Quick Gum 8029
- Quick Polish
- R-HPS Agroturbo
- San Arabic
- Senegal gum
- Spray Gum C-IRX 60642
- Spraygum
- Starsol No.1
- Super Gum No. 8
- Supergum EM 10
- Supergum EM 2
- Superstab AA
- TIC Gum Arabic FT
- TICAmulsion A 2010
- TICAmulsion A 2010 Powder
- Technogum IRX 602000
- Ticacia Gum
- Ticacia SD-R-N
- Tikashi Gum
- Unigum R 4
- Valgum
- Valmulus NW 952
- Valspray A
- Vis Top D 2041
- Wattle gum
- See more synonyms
Sort by
Purity (%)
0
100
|
0
|
50
|
90
|
95
|
100
Found 10 products.
Acacia, Total ash <4%
CAS:Mixture of polysaccharides and glycoproteins used in the food industry as a stabilizerColor and Shape:Flakes or granules or powder, White to yellowGum arabic
CAS:Gum arabic is an orally active natural branched polymer primarily composed of a mixture of polysaccharides and glycoproteins,used in biomaterials, stabilizers.Color and Shape:Yellow SolidGum arabic
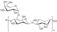
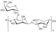
CAS:Gum arabic is an exudate gum picked from Acacia trees growing in tropical arid regions (typically Acacia senegal and Acacia laetia). The polysaccharide is branched with a main chain of (1-3) linked β-D-galactopyranosyl units with side chains of (1-3) β-D-galactopyranosyl units joined to it by (1-6) links. The side chains are 2-5 units in length. Both the main chain and the side chains have attached units of α-L-arabinofuranosyl, α-L-rhamnopyranosyl, β-D-glucuronopyranosyl and 4-O-methyl-β-D-glucuronopyranosyl units.Purity:Min. 95%Color and Shape:PowderAcacia (Gum Acacia) extrapure
CAS:Color and Shape:White to off-white yellowish, Powder, Viscous brownAcacia (Gum Acacia) (enzyme free) extrapure AR
CAS:Color and Shape:White to off-white yellowish, Powder, Viscous brown








