CAS 9000-69-5
:Pectin
- Beta-Pectin
- Big-J
- Cesapectin
- GelSite
- Genupectin
- Jmj-J
- MCP
- Methoxypectin
- Oxpec
- Pectina
- Pectinate
- Pectine
- Pectins
- Pecto
- Pektin
- Sango-stop
- Splendid
- Unipectin
- Usp-Hm
- Vis-J-Tf
- pentose
- Pectin
- 9000-69-5
- Methyl pectin
- Methyl pectinate
- 2,3,4,5-Tetrahydroxypentanal
- Colyer pectin
- PARTIALLY METHOXYLATED POLYGALACTURONIC ACID
- PECTIN FROM CITRUS FRUITS
- APPLE PECTIN FOOD GRADE-SPECIAL
- PECTIN, CITRUS
- PECTIN, FROM LEMON
- Poly(1,4-alpha-D-galacturonide)
- PECTIN,CITRUS,USP
- PECTINGUM
- genupectinl200
- mexpectin
- citruspectin
- PECTIN, APPLE
- PECTIN FROM CITRUS FRUIT MOISTURE LESS THAN 10%
- marpeenl
- methylpectin
- marpeeom
- methylpectinate
- PectinExCitrusFruitRind
- froM Citrus
- PECTIN, CITRUS USP SLOW SET
- POLY-D-GALACTURONIC ACID METHYL ESTER
- PECTINATES
- Pectin 
- POLYGALACTURONIC ACID METHYL ESTER
- APPLE PECTIN, USP
- APPLE PECTIN EXTRACT
- PECTIN, CONTROL FOR TOTAL DIETARY *FIBER ASSAY
- Pectin, pract. 1KG
- PECTINDUST
- APPLE PECTIN, FOOD GRADE
- PECTINACID
- Polyhalactyronic acid
- Apple Pectin, Powder
- Pectin from Citrus
- PECTIN FROM CITRUS PEEL
- PECTIN PRACT.
- PECTIN FROM APPLE USP
- GRAPEFRUITPECTIN
- PECTIN FROM APPLES
- APPLE PECTIN
- Pectin from citrus peel,Poly-D-galacturonic acid methyl ester
- pectinicacid
- See more synonyms
Pectin Citrus
CAS:Pectin Citrus is promoted in dietary supplement form as an alternative cancer treatment. It can also been used to treat prostate cancer and melanoma. It can also be used as a gelling agent, filler, and stabilizer. It Supports celluar health, promotes immune function, supports cardiovascular healthColor and Shape:PowderPectin
CAS:Pectin, a plant cell wall derived heteropolysaccharide, forms nanoparticles for delivery and acts as an antimicrobial adsorbent.Color and Shape:SolidPoly-D-galacturonic acid methyl ester
CAS:Poly-D-galacturonic acid methyl ester (PDGME) is a natural compound that has been shown to possess anti-inflammatory and anti-diabetic properties. PDGME has been shown to increase the expression of pro-apoptotic proteins in mouse macrophages, as well as inhibit the activity of toll-like receptor 4, which may be due to its ability to induce caspase-independent cell death. PDGME also inhibits the growth of Clostridium difficile and other bacteria by inhibiting their enzyme activities. PDGME is water soluble and can be used as a reagent for biochemical studies.Purity:Min. 98 Area-%Color and Shape:White Off-White PowderAmidated Pectin
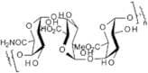
CAS:Pectins are derived from citrus fruits such as lemons and limes. Amidated pectin is a modified form of pectin in which some of the galacturonic acid residues are converted with ammonia to amides. These pectins are more tolerant to varying calcium concentrations that occur in use and behave like low-ester pectins, need less of and are more tolerant to excess calcium. In addition, these gels are thermoreversible.Formula:C5H10O5Purity:Min. 95%Color and Shape:PowderMolecular weight:150.13 g/molLM Pectin
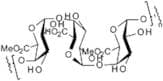
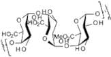
CAS:Pectins are regarded as linear chains of α-1,4-linked D-galacturonic acid, a homogalacturonan (pectic acid). In the products of commerce, the degree of methylation has a vital influence on the properties of pectin, especially the solubility and gel forming characteristics.
Color and Shape:PowderPectin pure
CAS:Formula:(C7H20O6)13Purity:7%Color and Shape:White to pale yellow, Amorphous powderMolecular weight:25000 to 50000Pectin (Technical Grade)
CAS:Controlled ProductApplications Pectin, is a gelatinous polysaccharide that is found in fruits and is extracted for the purpose of creating jams and jellies. In biological studies, pectin from apple and citrus is used to influence potential feed supplements on in vitro total gas production and rumen methanogensis.
References Geerkens, C., et al.: J. Agric. Food Chem., 61, 5727 (2013)Formula:C5H10O5Color and Shape:NeatMolecular weight:150.13HM Pectin
CAS:Pectins are regarded as linear chains of α-1,4-linked D-galacturonic acid, a homogalacturonan (pectic acid). In the products of commerce, the degree of methylation has a vital influence on the properties of pectin, especially the solubility and gel forming characteristics. Commercial high methoxy (HM) pectin has > 70% of hydroxyl groups methyl esterified. HM pectin forms gels in the presence of sucrose and for this reason it is used in jams often in combination with other fruits.
Purity:(%) Min. 85%Color and Shape:Powder









