CAS 9004-54-0
:Dextran
Description:
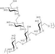
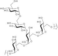
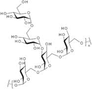
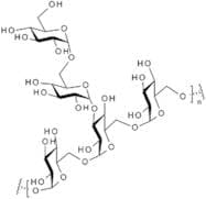
Dextran is a complex branched polysaccharide composed of glucose units linked primarily by α(1→6) glycosidic bonds, with occasional α(1→3) linkages. It is produced by certain bacteria, such as Leuconostoc mesenteroides, and is commonly used in various applications due to its biocompatibility and non-toxicity. Dextran is soluble in water, forming a viscous solution, and exhibits a high molecular weight, which can vary depending on the source and method of production. Its properties include being a stabilizer, thickening agent, and a medium for drug delivery in pharmaceuticals. Additionally, dextran is utilized in the food industry as a food additive and in medical applications, such as in blood volume expanders and as a component in diagnostic tests. Its ability to form gels and its low immunogenicity make it valuable in biotechnology and research. Overall, dextran's versatility and safety profile contribute to its widespread use across multiple fields.
Formula:Unspecified
Synonyms:- Cdc-H
- Dextran11
- Dextran2
- Dextran5
- Dextranen
- DextrangradeA,B,C
- Dextrano
- Dextrans
- Dextraven
- Eudextran
- Ex-pandex
- Expandex
- Gentran
- Gentran3
- Hemodex
- Hyscon
- Hyskon
- Infucoll
- Intrader
- Intradex
- LMD
- LVD
- Lmwd
- Macrodex
- Macrose
- Mucrose
- Onkotin
- Plasmafusin
- Plasmodex
- Plavolex
- Polyglucin
- Polyglusol
- Promit
- R-gel
- Rheodextran
- Rheoisodex
- Rheomacrodex
- Rheopolyglucin
- Rheopolyglucine
- Rheorondex
- Rheotran
- Rondex
- Ultradex
- α-Dextran
- Dextran 70
- Dextran 40
- Glucose polymer
- Dextran 45
- See more synonyms
Sort by
Purity (%)
0
100
|
0
|
50
|
90
|
95
|
100
Found 72 products.
Dextran, MW ca 20,000
CAS:<p>Low molecular weight dextran is useful as a stabilizer, volume extender, lubricant, binding platform, and matrix component. Higher molecular weight dextrans have differing viscosities, aggregation and permeation properties. This Thermo Scientific Chemicals brand product was originally part of the Al</p>Formula:(C6H9O5)n(C6H10O5)mColor and Shape:White to off white powderDextran, MW ca 75,000
CAS:<p>Dextran, MW ca 75,000, 9004-54-0, is a complex, branched glucan used to maintain osmotic pressure in biochemistry and molecular biology applications. Learn more.</p>Formula:(C6H9O5)n(C6H10O5)mColor and Shape:White to off white powderDextran, MW ca 250,000
CAS:<p>Dextran, is used as a multi-use, branched glucan. Low molecular weight dextran is useful as a stabilizer, volume extender, lubricant, binding platform, and matrix component. It is an important raw material and intermediate used in Organic Synthesis, Pharmaceuticals, Agrochemicals and Dyestuff. This </p>Formula:(C6H9O5)n(C6H10O5)mColor and Shape:White to pale cream, PowderDextran, MW ca 150,000
CAS:<p>Dextran, MW ca 150,000, 9004-54-0, is a complex, branched glucan used to maintain osmotic pressure in biochemistry and molecular biology applications. Learn more.</p>Formula:(C6H9O5)n(C6H10O5)mColor and Shape:White to pale cream, PowderDextran, MW ca 500,000
CAS:<p>Dextran, MW ca 500,000, 9004-54-0, is a complex, branched glucan used to maintain osmotic pressure in biochemistry and molecular biology applications. Learn more.</p>Formula:(C6H9O5)n(C6H10O5)mColor and Shape:Powder, White to pale creamDextran, MW ca 6,000
CAS:<p>Dextran, MW ca 6,000, 9004-54-0, is a complex, branched glucan used to maintain osmotic pressure in biochemistry and molecular biology applications. Learn more.</p>Formula:(C6H9O5)n(C6H10O5)mDextran V0 Marker
CAS:<p>Natural polymers & modified natural polymers, in primary forms, nesoi</p>Formula:(C6H10O5)nColor and Shape:White PowderMolecular weight:Approximately 2000000Dextran 4 Calibration
CAS:<p>Natural polymers & modified natural polymers, in primary forms, nesoi</p>Formula:(C6H10O5)nColor and Shape:White PowderMolecular weight:3850Dextran 70
CAS:<p>Natural polymers & modified natural polymers, in primary forms, nesoi</p>Formula:(C6H10O5)nColor and Shape:White Fine Amorphous PowderMolecular weight:63000 - 77000Dextran 40
CAS:<p>Natural polymers & modified natural polymers, in primary forms, nesoi</p>Formula:(C6H10O5)nColor and Shape:White PowderMolecular weight:7500 - 11000 Weight average molecular weight. low fractionDextran 250 Calibration
CAS:<p>Chemical derivatives of natural rubber</p>Formula:(C6H10O5)nColor and Shape:White PowderMolecular weight:238200Dextran 10 Calibration
CAS:<p>Chemical derivatives of natural rubber</p>Formula:(C6H10O5)nColor and Shape:White Off-White Amorphous PowderMolecular weight:10450Dextran 40 Calibration
CAS:<p>Natural polymers & modified natural polymers, in primary forms, nesoi</p>Formula:(C6H10O5)nColor and Shape:White PowderMolecular weight:Mp 30500 and Mw 40900Dextran 1
CAS:<p>Chemical derivatives of natural rubber</p>Formula:(C6H10O5)nColor and Shape:White Off-White PowderMolecular weight:971 - 1050 DaDextran 70 Calibration
CAS:<p>Natural polymers & modified natural polymers, in primary forms, nesoi</p>Formula:(C6H10O5)nColor and Shape:White PowderMolecular weight:Mp 58900 and Mw 70300Dextran (Technical Grade~ 4K)
CAS:Formula:C18H32O16Purity:95%Color and Shape:SolidMolecular weight:504.4371Dextran 5,000
CAS:Formula:C6H10O5nColor and Shape:White to almost white powderMolecular weight:~5,000Dextran 1,000
CAS:Formula:C6H10O5nColor and Shape:White or almost white powderMolecular weight:~1,000Dextran 100,000
CAS:Formula:C6H10O5nColor and Shape:White or almost white powderMolecular weight:~100,000Dextran 40,000
CAS:Formula:C6H10O5nColor and Shape:White or off-white crystalline powderMolecular weight:~40,000Dextran 70,000
CAS:Formula:C6H10O5nColor and Shape:White to off-white crystalline powderMolecular weight:~70,000Dextran (~50K)
CAS:<p>Applications A polysaccharide composed of glucose molecules used as an antithrombotic to reduce blood viscosity and as a volume expander in anemia. Studies show that it inhibits the mannose receptor-mediated clearance of tissue-type plasminogen activator (t-PA).<br>References MacNeil, B.D. et al.: Fund. Clin. Cardiol., 52, 473 (2005); Noorman, F. et al.: Thromb. Haemost., 80, 210 (1998); Fushbane, S. et al.: Am. J. Kidney Dis., 28, 529 (1996);<br></p>Formula:H2(C6H9O5)n(C7H12O5)mOHColor and Shape:White To Off-WhiteDextran (Technical Grade~ 4K)
CAS:Controlled Product<p>Applications Dextran is a polysaccharide composed of glucose molecules used as an antithrombotic to reduce blood viscosity and as a volume expander in anemia. Studies show that it inhibits the mannose receptor-mediated clearance of tissue-type plasminogen activator (t-PA).<br>References MacNeil, B.D. et al.: Fund. Clin. Cardiol., 52, 473 (2005); Noorman, F. et al.: Thromb. Haemost., 80, 210 (1998); Fushbane, S. et al.: Am. J. Kidney Dis., 28, 529 (1996);<br></p>Formula:H2(C6H9O5)n(C7H12O5)mOHColor and Shape:White To Off-WhiteDextran (Technical Grade~ 10K)
CAS:<p>Applications Dextran is a polysaccharide composed of glucose molecules used as an antithrombotic to reduce blood viscosity and as a volume expander in anemia. Studies show that it inhibits the mannose receptor-mediated clearance of tissue-type plasminogen activator (t-PA).<br>References MacNeil, B.D. et al.: Fund. Clin. Cardiol., 52, 473 (2005); Noorman, F. et al.: Thromb. Haemost., 80, 210 (1998); Fushbane, S. et al.: Am. J. Kidney Dis., 28, 529 (1996);<br></p>Formula:H2(C6H9O5)n(C7H12O5)mOHColor and Shape:White To Off-WhiteDextran (Technical Grade~ 50K)
CAS:Controlled Product<p>Applications Dextran is a polysaccharide composed of glucose molecules used as an antithrombotic to reduce blood viscosity and as a volume expander in anemia. Studies show that it inhibits the mannose receptor-mediated clearance of tissue-type plasminogen activator (t-PA).<br>References MacNeil, B.D. et al.: Fund. Clin. Cardiol., 52, 473 (2005); Noorman, F. et al.: Thromb. Haemost., 80, 210 (1998); Fushbane, S. et al.: Am. J. Kidney Dis., 28, 529 (1996);<br></p>Formula:H2(C6H9O5)n(C7H12O5)mOHColor and Shape:White To Off-WhiteDextran (Technical Grade~ 60K)
CAS:Controlled Product<p>Applications Dextran is a polysaccharide composed of glucose molecules used as an antithrombotic to reduce blood viscosity and as a volume expander in anemia. Studies show that it inhibits the mannose receptor-mediated clearance of tissue-type plasminogen activator (t-PA).<br>References MacNeil, B.D. et al.: Fund. Clin. Cardiol., 52, 473 (2005); Noorman, F. et al.: Thromb. Haemost., 80, 210 (1998); Fushbane, S. et al.: Am. J. Kidney Dis., 28, 529 (1996);<br></p>Formula:H2(C6H9O5)n(C7H12O5)mOHColor and Shape:White To Off-WhiteDextran (Technical Grade~ 20K)
CAS:<p>Applications Dextran is a polysaccharide composed of glucose molecules used as an antithrombotic to reduce blood viscosity and as a volume expander in anemia. Studies show that it inhibits the mannose receptor-mediated clearance of tissue-type plasminogen activator (t-PA).<br>References MacNeil, B.D. et al.: Fund. Clin. Cardiol., 52, 473 (2005); Noorman, F. et al.: Thromb. Haemost., 80, 210 (1998); Fushbane, S. et al.: Am. J. Kidney Dis., 28, 529 (1996);<br></p>Formula:H2(C6H9O5)n(C7H12O5)mOHColor and Shape:White To Off-WhiteDextran (Technical Grade~ 500K)
CAS:<p>Applications Dextran is a polysaccharide composed of glucose molecules used as an antithrombotic to reduce blood viscosity and as a volume expander in anemia. Studies show that it inhibits the mannose receptor-mediated clearance of tissue-type plasminogen activator (t-PA).<br>References MacNeil, B.D. et al.: Fund. Clin. Cardiol., 52, 473 (2005); Noorman, F. et al.: Thromb. Haemost., 80, 210 (1998); Fushbane, S. et al.: Am. J. Kidney Dis., 28, 529 (1996);<br></p>Formula:H2(C6H9O5)n(C7H12O5)mOHColor and Shape:White To Off-WhiteDextran 3 - MW 2500 - 4000
CAS:<p>Dextran is α-(1,6)-linked α-D-glucan produced by fermentation of Leuconostoc mesenteroides via the action of the enzyme dextransucrase on sucrose. The main use for native dextran is as a blood plasma extender in blood transfusions. A complex of iron with dextran, known as iron dextran, is used as a source of iron to baby piglets which are often anaemic at birth.</p>Color and Shape:White Off-White PowderDextran 70 - MW 64,000 to 76,000
CAS:<p>Dextran is α-(1,6)-linked α-D-glucan with α-(1,3)-linked glucose branch points produced by fermentation of Leuconostoc mesenteroides via the action of the enzyme dextransucrase on sucrose. The main use for native dextran is as an extender in blood transfusions and products having a range of sharp cut-off molecular weights are produced commercially for this and other applications. A complex of Iiron with dextran, known as iron dextran, is used as a source of iron for baby piglets which are often anaemic at birth.</p>Color and Shape:White Off-White PowderDextran 2000 - MW: 1,500,000 to 3,500,000
CAS:<p>Dextran 2000 is a high molecular weight biocompatible polymer with transport properties. It is used in a variety of medical applications, such as red blood cell transfusions and the prevention of post-surgical adhesions. Dextran 2000 has been shown to be a safe and effective means of preventing hemolysis during red blood cell transfusion. This agent binds to amine groups on the surface of erythrocytes, which prevents complement activation and subsequent lysis. Additionally, dextran 2000 has been shown to exhibit low cytotoxicity against neuronal cells in vitro.</p>Purity:Min. 95%Color and Shape:White Off-White PowderDextran 6, MW 5,500 to 7,500
CAS:<p>Dextran is α-(1,6)-linked α-D-glucan with α-(1,3)-linked glucose branch points produced by fermentation of Leuconostoc mesenteroides via the action of the enzyme dextransucrase on sucrose. The main use for native dextran is as an extender in blood transfusions and products having a range of sharp cut-off molecular weights are produced commercially for this and other applications. A complex of iron with dextran, known as iron dextran, is used as a source of iron for baby piglets which are often anaemic at birth.</p>Color and Shape:White PowderDextran 60, MW: 54,000 to 66,000
CAS:<p>Complex glucan (a 1-6) from Leuconostoc spp.; extender in blood transfusions</p>Formula:(C6H10O5)nColor and Shape:White PowderDextran 750 - MW: 500,000 to 1,000,000
CAS:<p>Dextran is a polysaccharide that is used as an antimicrobial agent and as a volume expander in the treatment of bowel disease, myocardial infarct, and other diseases. Dextran sulfate is a linear polymer with a molecular weight of 500,000 to 1,000,000. It has minimal toxicity and does not interfere with iron homeostasis or cause fluid overload. Dextran sulfate can be used for the treatment of bowel disease because it has been shown to have anti-inflammatory effects in experimental models. The mechanism by which dextran sulfate inhibits inflammation is unknown, but may involve its ability to bind to macrophages and neutrophils in the gut wall. Dextran sulfate also binds to bacteria and prevents their growth. This binding may prevent bacterial penetration into epithelial cells or block bacterial attachment to cell surfaces. The efficacy of dextran sulfate against pathogenic mechanisms such as inflammation has been demonstrated in experimental models.</p>Purity:Min. 95%Color and Shape:White PowderDextran 10 - MW 9,000 to 11,000
CAS:<p>Dextran is α-(1,6)-linked α-D-glucan with α-(1,3)-linked glucose branch points produced by fermentation of Leuconostoc mesenteroides via the action of the enzyme dextransucrase on sucrose. The main use for native dextran is as an extender in blood transfusions and products having a range of sharp cutoff molecular weights are produced commercially for this and other applications. A complex of iron with dextran, known as iron dextran, is used as a source of iron for baby piglets which are often anaemic at birth.</p>Color and Shape:White PowderDextran 250 - MW: 225,000 to 275,000
CAS:<p>Complex glucan (a 1-6) from Leuconostoc spp.; extender in blood transfusions</p>Color and Shape:PowderDextran 40 - MW 35,000 to 45,000
CAS:<p>Dextran is α-(1,6)-linked α-D-glucan with α-(1,3)-linked glucose branch points produced by fermentation of Leuconostoc mesenteroides via the action of the enzyme dextransucrase on sucrose. The main use for native dextran is as an extender in blood transfusions and products having a range of sharp cutoff molecular weights are produced commercially for this and other applications. A complex of iron with dextran, known as iron dextran, is used as a source of iron for baby piglets which are often anaemic at birth.</p>Purity:Min. 95%Color and Shape:White PowderDextran 500 - MW 450,000 to 550,000
CAS:<p>Dextran is α-(1,6)-linked α-D-glucan with α-(1,3)-linked glucose branch points produced by fermentation of Leuconostoc mesenteroides via the action of the enzyme dextransucrase on sucrose. The main use for native dextran is as an extender in blood transfusions and products having a range of sharp cut-off molecular weights are produced commercially for this and other applications. A complex of iron with dextran, known as iron dextran, is used as a source of iron for baby piglets which are often anaemic at birth.</p>Color and Shape:White PowderDextran 5 - MW 4,000 to 6,000
CAS:<p>Dextran is α-(1,6)-linked α-D-glucan with α-(1,3)-linked glucose branch points produced by fermentation of Leuconostoc mesenteroides via the action of the enzyme dextransucrase on sucrose. The main use for native dextran is as an extender in blood transfusions and products having a range of sharp cut-off molecular weights are produced commercially for this and other applications. A complex of iron with dextran, known as iron dextran, is used as a source of iron for baby piglets which are often anaemic at birth.</p>Color and Shape:White PowderDextran T70 MW 70,000
CAS:Purity:Pharmaceutical grade,Mw64000-76000Color and Shape:SolidMolecular weight:504.17Dextran 150 - MW: 135,000 to 165,000
CAS:<p>Complex glucan (a 1-6) from Leuconostoc spp.; extender in blood transfusions</p>Color and Shape:PowderDextran ex. Leuconostoc Sp. - Tech 250 (225-275)
CAS:Formula:(C6H10O5)nColor and Shape:White to off-white, Powder, Clear, ColourlessMolecular weight:250000Dextran ex. Leuconostoc Sp. - Tech 40 (35-45)
CAS:Formula:(C6H10O5)nColor and Shape:White, PowderMolecular weight:35000 - 45000Dextran ex. Leuconostoc Sp. - Tech 70 (65-75)
CAS:Formula:(C6H10O5)nColor and Shape:White to off white, Powder, Clear, ColourlessDextran ex. Leuconostoc Sp. - Tech 10 (9-11)
CAS:Formula:(C6H10O5)nColor and Shape:White to slightly off -white, Powder, Clear, ColourlessMolecular weight:10,000Dextran ex. Leuconostoc Sp. - Tech 500 (450-550)
CAS:Formula:(C6H10O5)nColor and Shape:White to off-white, PowderMolecular weight:5,00,000Dextran ex. Leuconostoc Sp. - Tech 110 (100-120)
CAS:Formula:(C6H10O5)nColor and Shape:White to slightly off-white, Powder, Clear, ColourlessMolecular weight:1,10,000Dextran (Technical Grade~ 100K)
CAS:<p>Applications Dextran is a polysaccharide composed of glucose molecules used as an antithrombotic to reduce blood viscosity and as a volume expander in anemia. Studies show that it inhibits the mannose receptor-mediated clearance of tissue-type plasminogen activator (t-PA).<br>References MacNeil, B.D. et al.: Fund. Clin. Cardiol., 52, 473 (2005); Noorman, F. et al.: Thromb. Haemost., 80, 210 (1998); Fushbane, S. et al.: Am. J. Kidney Dis., 28, 529 (1996);<br></p>Formula:H2(C6H9O5)n(C7H12O5)mOHColor and Shape:White To Off-WhiteDextran 110, MW: 100,000 to 120,000
CAS:<p>Complex glucan (a 1-6) from Leuconostoc spp.; extender in blood transfusions.</p>Color and Shape:White PowderDextran 70 - MW 64,000 to 76,000, EP
CAS:<p>Complex glucan (a 1-6) from Leuconostoc spp.; extender in blood transfusions.</p>Purity:Min. 95%Dextran
CAS:<p>Dextran has an inhibitory effect on platelet aggregation and coagulation factors, and is used as an agent for increasing plasma volume.</p>Formula:(C6H10O5)nPurity:≥98%Color and Shape:White Crystals Or PowderMolecular weight:64000-76000Dextran 20, MW: 17,000 to 23,000
CAS:<p>Complex glucan (a 1-6) from Leuconostoc spp.; extender in blood transfusions</p>Color and Shape:PowderDextran, MW ca 40,000
CAS:<p>Dextran, MW ca 40,000, 9004-54-0, is a complex, branched glucan used to maintain osmotic pressure in biochemistry and molecular biology applications. Learn more.</p>Formula:(C6H9O5)n(C6H10O5)mColor and Shape:Powder, White to creamDextran 70 System Suitability (DISCONTINUED)
CAS:<p>Chemical derivatives of natural rubber</p>Formula:(C6H10O5)nColor and Shape:White PowderMolecular weight:65000 - 74000Dextran T-10 (DISCONTINUED)
CAS:<p>Chemical derivatives of natural rubber</p>Formula:(C6H10O5)nColor and Shape:White Fine PowderMolecular weight:123.1525Dextran 40 System Suitability (DISCONTINUED)
CAS:<p>Chemical derivatives of natural rubber</p>Formula:(C6H10O5)nColor and Shape:White Amorphous PowderMolecular weight:39000 - 46000













