CAS 95906-11-9
:Tris(2,4-di-tert-butylphenyl) phosphate
Description:
Tris(2,4-di-tert-butylphenyl) phosphate, with the CAS number 95906-11-9, is an organophosphate compound primarily used as a flame retardant and plasticizer in various applications, including polymers and coatings. This substance is characterized by its high thermal stability and resistance to degradation, making it suitable for use in high-temperature environments. It features a phosphate group bonded to three bulky 2,4-di-tert-butylphenyl groups, which contribute to its effectiveness as a flame retardant by interrupting the combustion process. The bulky tert-butyl groups enhance its hydrophobicity and reduce volatility, which helps in maintaining its performance in formulations. Additionally, Tris(2,4-di-tert-butylphenyl) phosphate exhibits low toxicity and is considered to have a favorable environmental profile compared to other flame retardants. However, like many organophosphates, it should be handled with care to avoid potential health risks associated with exposure. Its applications extend beyond flame retardancy, including use in lubricants and as an additive in various industrial processes.
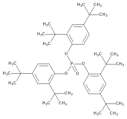
Formula:C42H63O4P
InChI:InChI=1S/C42H63O4P/c1-37(2,3)28-19-22-34(31(25-28)40(10,11)12)44-47(43,45-35-23-20-29(38(4,5)6)26-32(35)41(13,14)15)46-36-24-21-30(39(7,8)9)27-33(36)42(16,17)18/h19-27H,1-18H3
InChI key:InChIKey=AZSKHRTUXHLAHS-UHFFFAOYSA-N
SMILES:P(OC1=C(C(C)(C)C)C=C(C(C)(C)C)C=C1)(OC2=C(C(C)(C)C)C=C(C(C)(C)C)C=C2)(OC3=C(C(C)(C)C)C=C(C(C)(C)C)C=C3)=O
Synonyms:- D 16-834
- Phenol, 2,4-bis(1,1-dimethylethyl)-, 1,1′,1′′-phosphate
- P 3
- Phenol, 2,4-bis(1,1-dimethylethyl)-, phosphate (3:1)
- Tris(2,4-di-tert-butylphenyl) phosphate
Sort by
Purity (%)
0
100
|
0
|
50
|
90
|
95
|
100
Found 10 products.
Tris(2,4-di-tert-butylphenyl)phosphate (Tri(2,4-di-tert-butylphenyl) phosphate)
CAS:Other aromatic phosphoric esters and their salts, including lactophosphates; their halogenated, sulfonated, nitrated or nitrosated derivativesFormula:C42H63O4PColor and Shape:White SolidMolecular weight:662.4464Tris(2,4-di-tert-butylphenyl)phosphate
CAS:Tris(2,4-di-tert-butylphenyl)phosphate (TDTBPP) inhibits secretory phospholipase A2 (sPLA2) with anti-inflammatory effect. Cost-effective and quality-assured.Formula:C42H63O4PPurity:99.73%Color and Shape:SolidMolecular weight:662.92Tris(2,4-Di-Tert-Butylphenyl) Phosphate
CAS:Tris(2,4-Di-Tert-Butylphenyl) PhosphateFormula:C42H63O4PPurity:99%Molecular weight:662.92Phenol, 2,4-bis(1,1-dimethylethyl)-, phosphate (3:1)
CAS:Formula:C42H63O4PPurity:98%Color and Shape:SolidMolecular weight:662.9210Tris (2,4-ditert-butylphenyl) Phosphate
CAS:Formula:C42H63O4PColor and Shape:Pale Yellow SolidMolecular weight:662.94Tris(2,4-di-tert-butylphenyl)phosphate
CAS:Tris(2,4-di-tert-butylphenyl)phosphateFormula:C42H63O4PPurity:≥98%Molecular weight:662.92Tris(2,4-di-tert-butylphenyl) phosphate
CAS:Formula:C42H63O4PColor and Shape:Light YellowMolecular weight:662.92Tris(2,4-di-tert-butylphenyl)phosphate
CAS:Stability Moisture Sensitive
Applications Tris(2,4-di-tert-butylphenyl)phosphate is used as a processing stabilizer for polymers.
References Thilen, M., et al.: J. Appl. Polym. Sci., 76, 938 (2000); Pfaendner, R., et al.: Polym. Degrad. Stab., 91, 2249 (2006);Formula:C42H63O4PColor and Shape:NeatMolecular weight:662.92Tris(2,4-di-tert-butylphenyl)phosphate
CAS:Tris(2,4-di-tert-butylphenyl)phosphate (TDBP) is a phosphite that is used as an antioxidant. TDBP has been shown to inhibit the formation of secretory phospholipase A2 (sPLA2), which in turn inhibits the release of arachidonic acid and prostaglandin E2. TDBP also inhibits the activity of hydrogen bond polymerase chain reaction (PCR). This inhibition has been shown to be due to its ability to bind to DNA and prevent the synthesis of RNA, which decreases the production of proteins necessary for cell division. The matrix effect can be used in analytical methods because it has a high solubility in organic solvents and is stable at alkaline pH. TDBP can be used as a sample preparation reagent for mitochondrial membrane potential measurements because it increases mitochondrial membrane potential by inhibiting calcium ion influx. It also exhibits chemical properties such as being a strong base, formingFormula:C42H63O4PPurity:Min. 95%Color and Shape:PowderMolecular weight:662.92 g/mol









