CAS 96-82-2
:Lactobionic acid
Description:
Lactobionic acid is a disaccharide acid derived from the oxidation of lactose, consisting of galactose and gluconic acid. It is a white to off-white crystalline powder that is soluble in water, making it useful in various applications, particularly in the pharmaceutical and cosmetic industries. Lactobionic acid exhibits properties such as being a humectant, which helps retain moisture, and has potential antioxidant effects. Its structure includes a lactone ring, contributing to its stability and functionality. The substance is often utilized in formulations for skin care products due to its ability to enhance skin hydration and promote cell turnover. Additionally, lactobionic acid has been studied for its potential role in drug delivery systems and as a cryoprotectant in biological applications. It is generally recognized as safe for use in food and cosmetic products, although specific regulatory guidelines should be followed. Overall, lactobionic acid is valued for its multifunctional properties and versatility in various fields.
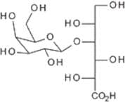
Formula:C12H22O12
InChI:InChI=1S/C12H22O12/c13-1-3(15)10(7(18)8(19)11(21)22)24-12-9(20)6(17)5(16)4(2-14)23-12/h3-10,12-20H,1-2H2,(H,21,22)/t3-,4-,5+,6+,7-,8-,9-,10-,12+/m1/s1
InChI key:InChIKey=JYTUSYBCFIZPBE-AMTLMPIISA-N
SMILES:[C@H](O[C@@H]1O[C@H](CO)[C@H](O)[C@H](O)[C@H]1O)([C@@H]([C@H](C(O)=O)O)O)[C@@H](CO)O
Synonyms:- 4-(β-<span class="text-smallcaps">D</smallcap>-Galactosido)-<smallcap>D</span>-gluconic acid
- 4-O-beta-D-galactopyranosyl-D-gluconic acid
- 4-O-β-<span class="text-smallcaps">D</smallcap>-Galactopyranosyl-<smallcap>D</span>-gluconic acid
- 4-O-β-Galactopyranosyl-<span class="text-smallcaps">D</span>-gluconic acid
- <span class="text-smallcaps">D</smallcap>-Gluconic acid, 4-O-β-<smallcap>D</span>-galactopyranosyl-
- <span class="text-smallcaps">D</span>-Lactobionic acid
- Galactosylgluconic acid
- Lactonic acid
- 4-(β-D-Galactosido)-D-gluconic acid
- D-Gluconic acid, 4-O-β-D-galactopyranosyl-
- 4-O-β-D-Galactopyranosyl-D-gluconic acid
- See more synonyms
Sort by
Purity (%)
0
100
|
0
|
50
|
90
|
95
|
100
Found 14 products.
Lactobionic Acid (mixture of Acid form and Lactone form)
CAS:Formula:C12H22O12Purity:>96.0%(T)Color and Shape:White to Almost white powder to crystalMolecular weight:358.30Lactobionic acid, 97%
CAS:This Thermo Scientific Chemicals brand product was originally part of the Alfa Aesar product portfolio. Some documentation and label information may refer to the legacy brand. The original Alfa Aesar product / item code or SKU reference has not changed as a part of the brand transition to Thermo SciFormula:C12H22O12Purity:97%Molecular weight:358.30LACTOBIONIC ACID CRS
CAS:LACTOBIONIC ACID CRSFormula:C12H22O12Color and Shape:Crystalline Powder. White. Powder.Molecular weight:358.2959Lactobionic acid
CAS:(2R,3R,4R,5R)-2,3,5,6-Tetrahydroxy-4-(((2S,3R,4S,5R,6R)-3,4,5-trihydroxy-6-(hydroxymethyl)tetrahydro-2H-pyran-2-yl)oxy)hexanoic acidFormula:C12H22O12Purity:97%Molecular weight:358.34-O-β-D-Galactopyranosyl-D-gluconic acid
CAS:Formula:C12H22O12Purity:97%Color and Shape:SolidMolecular weight:358.2959Lactobionic acid, EP grade
CAS:Formula:C12H22O12Purity:98.0 - 102.0 % (dried basis)Color and Shape:White to almost white crystalline powderMolecular weight:358.30Lactobionic acid
CAS:Formula:C12H22O12Purity:(Titration) 97.0 - 103.0 % (dried basis)Color and Shape:White to almost white crystalline powderMolecular weight:358.30Lactobionic acid
CAS:Lactobionic acid with antioxidant, antimicrobial and moisturizing propertieFormula:C12H22O12Purity:99.6%Color and Shape:White PowderMolecular weight:358.3Lactobionic Acid
CAS:Controlled ProductApplications Lactobionic Acid is used in solutions to preserve organs involved in surgical transplants. Also a potential inhibitor of Trypanosoma cruzi as a lactose derivative.
References Sumimoto, R. et al.: Transplant., 53, 1206 (1992); Mitchell, S. et al.: Cryobiol., 33, 413 (1996); Agusti, R. et al.: 14, 659 (2004);Formula:C12H22O12Color and Shape:NeatMolecular weight:358.3Lactobionic acid
CAS:Lactobionic acid is produced by oxidation of lactose. It is widely used in the food and in pharmaceutical field, due to its excellent biocompatibility, biodegradability, nontoxicity, chelating, amphiphilic and antioxidant properties. Lactobionic acid is produced as a white solid powder, freely soluble in water and slightly soluble in anhydrous ethanol and methanol.Formula:C12H22O12Color and Shape:White PowderMolecular weight:358.3 g/mol











