
Peptides and Proteins
Peptides are short chains of amino acids linked by peptide bonds, whereas proteins are longer and more complex amino acid chains that can adopt functional three-dimensional structures. Both types of compounds are essential for various biological functions, such as catalysing reactions (enzymes), immune defence (antibodies), and cellular signalling. Proteins have a hierarchical structure, including the amino acid sequence, secondary, tertiary, and quaternary structures. Peptides are used in pharmaceutical and cosmetic therapies due to their specific biological properties, such as in the treatment of metabolic diseases or enhancing cellular regeneration. Proteins, on the other hand, have applications in biotechnology, nutrition, and regenerative medicine.
At CymitQuimica, we offer high-purity peptides and proteins for research in biotechnology and therapeutic applications.
Found 3116 products of "Peptides and Proteins"
Sort by
Purity (%)
0
100
|
0
|
50
|
90
|
95
|
100
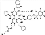
Liraglutide Impurity 39 Tetratrifluoroacetate (endo 29-Gly)
Formula:C174H268N44O52·4C2HF3O2Molecular weight:3808.31 4*114.02Semaglutide Impurity 108 Trifluororacetate(Endo Glu 3)
Formula:C192H298N46O62·C2HF3O2Molecular weight:4242.76 114.02Semaglutide Impurity 60 Tetratrifluoroacetate (D-Arg 30)
Formula:C189H291N45O59·4C2HF3O2Molecular weight:4113.64 4*114.02Insulin (Beef)-d12 Trifluoroacetate,
CAS:Formula:C254H365D12N65O75S6·C2HF3O2Molecular weight:5745.62 114.02Calcitonin (Salmon) Impurity 7 Pentatrifluoroacetate (14-Glu)
Formula:C145H239N43O49S2·4C2HF3O2Molecular weight:3432.9 4*114.02Glucagon Impurity 11 Tetratrifluoroacetate (Des-Thr7)-Glucagon)
CAS:Formula:C149H218N42O47S·4C2HF3O2Molecular weight:3381.69 4*114.02Teriparatide Impurity 5 Trifluoroacetate
Formula:C181H288N54O51S2·C2HF3O2Molecular weight:4100.74 114.02Lopinavir Impurity 1 (Lopinavir Abacavir Methylene Conjugate Impurity)
Formula:C52H66N10O6Molecular weight:927.16Atracurium Impurity A1 (trans-Monoquatenary) and A2 (cis-Monoquatenary) Mixture
Formula:C52H69N2O12·IMolecular weight:914.13 126.91Teriparatide Impurity 14 Trifluoroacetate (23-D-Trp)
Formula:C181H291N55O51S2·C2HF3O2Molecular weight:4117.77 114.02Semaglutide Impurity 105 Trifluororacetate(Endo Tyr 13)
Formula:C196H300N46O61·C2HF3O2Molecular weight:4276.82 114.02Semaglutide Impurity 106 Trifluororacetate(Des Tyr 13)
Formula:C178H282N44O57·C2HF3O2Molecular weight:3950.47 114.02Marizomib (Salinosporamide A)-d4
CAS:Formula:C15H16ClNO4D4Color and Shape:Pale Yellow SolidMolecular weight:317.81Semaglutide Impurity 57 Tetratrifluoroacetate (Acetylated Semaglutide)
Formula:C187H291N45O59·4C2HF3O2Molecular weight:4155.68 4*114.02Liraglutide Impurity 30 Trifluoroacetate (side chain α-Glu)
Formula:C172H265N43O51Molecular weight:3751.26Teriparatide Impurity 12 Trifluoroacetate (N-Acetyl-Ser1)
Formula:C183H293N55O52S2·C2HF3O2Molecular weight:4159.81 114.02Glucagon Impurity 15 Trifluoroacetate (25-Oia)
Formula:C153H225N43O50S·7N51O59·C2HF3O2Molecular weight:3498.79 114.02Calcitonin Impurity 8 Trifluoroacetate (Des 31-Thr and 32-Pro)
Formula:C136H225N41O46S2·C2HF3O2Molecular weight:3234.66 114.02Semaglutide Impurity 58 Tetratrifluoroacetate (25Trp(0))
Formula:C187H291N45O59·4C2HF3O2Molecular weight:4129.64 4*114.02Glucagon Impurity 14 Trifluoroacette (2-Oxohistidine)
Formula:C153H225N43O50S·C2HF3O2Molecular weight:3498.79 114.02Terlipressin Impurity 15 (endo-Asn8) Ditrifluoroacetate
Formula:C56H80N18O17S2·2C2HF3O2Molecular weight:1341.49 2*114.02Atosiban Impurity 18 Ditrifluoroacetate
Formula:C43H68N10O14S2·2C2HF3O2Molecular weight:1013.19 2*114.02Vasopressin Impurity 11 Ditrifluoroacetate
Formula:C46H64N14O13S2·C46H64N14O13S2·2C2HF3O2Molecular weight:1085.22 2*114.02Octreotide Impurity 45 (1-D-Phe, L-lactic Acid Dimer)
Formula:C55H74N10O14S2·C2HF3O2Molecular weight:1163.37 114.02

