
Glicosidi
I glicosidi sono composti formati da uno zucchero e un'altra molecola attraverso un legame glicosidico. Svolgono un ruolo significativo in vari processi biologici e hanno diverse applicazioni in biochimica, farmacologia e chimica dei prodotti naturali. In questa sezione, troverai una vasta gamma di glicosidi essenziali per la ricerca e lo sviluppo in questi campi. Questi composti sono cruciali per studiare il metabolismo dei carboidrati, la segnalazione cellulare e il potenziale terapeutico dei prodotti naturali. Da CymitQuimica, forniamo glicosidi di alta qualità per supportare la tua ricerca scientifica, garantendo precisione e affidabilità nei risultati sperimentali.
Trovati 419 prodotti di "Glicosidi"
Ordinare per
Purezza (%)
0
100
|
0
|
50
|
90
|
95
|
100
LacDiNAc Dimer Ethylazide- biotynylated form
Formula:C34H57N7O21Colore e forma:SolidPeso molecolare:899.86Methyl 7,8,9-Tri-O-acetyl-5-N,4-O-carbonyl-3,5-dideoxy-2-S-phenyl-2-thio-D-glycero-β-D-galacto-2-nonulopyranosylonate
CAS:Formula:C23H27NO11SColore e forma:SolidPeso molecolare:525.534-Methoxyphenyl α-D-Mannopyranoside
CAS:Formula:C13H18O7Purezza:>98.0%(HPLC)Colore e forma:White to Light yellow to Light orange powder to crystalPeso molecolare:286.284-Methoxyphenyl 2,3,4,6-Tetra-O-acetyl-β-D-glucopyanoside
CAS:Formula:C21H26O11Purezza:>98.0%(HPLC)Colore e forma:White to Almost white powder to crystalPeso molecolare:454.434-Methoxyphenyl 3-O-Benzyl-2-deoxy-2-phthalimido-β-D-glucopyranoside
CAS:Formula:C28H27NO8Colore e forma:SolidPeso molecolare:505.52Phenyl 2-O-Acetyl-3,4,6-tri-O-benzyl-1-thio-β-D-galactopyranoside
CAS:Formula:C35H36O6SPurezza:min. 98.0 area%(HPLC)Colore e forma:White to Almost white powder to crystalPeso molecolare:584.73Galβ(1-4)Glc-β-MP
CAS:Formula:C19H28O12Purezza:>96.0%(HPLC)(qNMR)Colore e forma:White to Almost white powder to crystalPeso molecolare:448.42Methyl (Phenyl 5-Acetoxyacetamido-4,7,8-tri-O-acetyl-9-azido-3,5,9-trideoxy-2-thio-D-glycero-β-D-galacto-2-nonulopyranosid)onate
CAS:Formula:C26H32N4O12SPurezza:>93.0%(HPLC)Colore e forma:White to Almost white powder to crystalPeso molecolare:624.62Neu5Acα(2-6)Galβ(1-4)GlcNAcβ(1-3)Galβ(1-4)GlcNAc-β-propylamine
CAS:Formula:C42H72N4O29Purezza:min. 95.0 area%(HPLC)Colore e forma:SolidPeso molecolare:1,097.044-Methoxyphenyl 3-O-Allyl-2-O-benzyl-4,6-O-benzylidene-β-D-galactopyranoside
CAS:Formula:C30H32O7Purezza:>98.0%(HPLC)Colore e forma:White to Almost white powder to crystalPeso molecolare:504.58Phenyl N-Benzyl-2-amino-4,6-O-benzylidene-2-N,3-O-carbonyl-2-deoxy-1-thio-β-D-glucopyranoside
CAS:Formula:C27H25NO5SPurezza:>97.0%(HPLC)Colore e forma:White to Almost white powder to crystalPeso molecolare:475.56Phenyl 2,3,4,6-Tetra-O-acetyl-1-thio-α-D-mannopyranoside
CAS:Formula:C20H24O9SPurezza:>98.0%(HPLC)Colore e forma:White to Almost white powder to crystalPeso molecolare:440.46Neu5GcAc[1Me,4789Ac]α(2-3)Gal[246Bz]-β-MP
Formula:C56H59NO24Colore e forma:SolidPeso molecolare:1,130.07Neu5Acα(2-3)Galβ(1-4)Glc-β-propylamine
Formula:C26H45N2NaO19Purezza:>95.0%(HPLC)Colore e forma:White to Light yellow powder to crystalPeso molecolare:712.63Sialyl Lewis X-Lactose Ethylamine
Formula:C45H77N3O33Purezza:min. 95.0 area%(HPLC)Colore e forma:SolidPeso molecolare:1,188.10Sialyl Lewis X-Lactose Ethylazide
Formula:C45H75N5O33Purezza:min. 95.0 area%(HPLC)Colore e forma:SolidPeso molecolare:1,214.10Neu5Acα(2-6)Galβ(1-4)GlcNAc-β-ethylamine
CAS:Formula:C27H46N3NaO19Purezza:>98.0%(HPLC)Colore e forma:White to Almost white powder to crystalPeso molecolare:739.66Isopropyl 1-Thio-β-D-galactopyranoside
CAS:Formula:C9H18O5SPurezza:>98.0%(GC)Colore e forma:White to Almost white powder to crystalPeso molecolare:238.30Methyl 5-N,4-O-Carbonyl-3,5-dideoxy-2-S-phenyl-2-thio-D-glycero-β-D-galacto-2-nonulopyranosylonate
CAS:Formula:C17H21NO8SPurezza:>98.0%(HPLC)Colore e forma:White to Light yellow powder to crystalPeso molecolare:399.414-Methoxyphenyl 2-Azido-4,6-O-benzylidene-2-deoxy-β-D-glucopyranoside
CAS:Formula:C20H21N3O6Purezza:>98.0%(HPLC)Colore e forma:White to Almost white powder to crystalPeso molecolare:399.40Methyl (Phenyl 5-Acetamido-4,7,8-tri-O-acetyl-9-azido-3,5,9-trideoxy-2-thio-D-glycero-β-D-galacto-2-nonulopyranosid)onate
CAS:Formula:C24H30N4O10SPurezza:>92.0%(HPLC)Colore e forma:White to Almost white powder to crystalPeso molecolare:566.58Neu5Acα(2-3)Galβ(1-4)GlcNAc-β-propylamine
Formula:C28H48N3NaO19Purezza:>98.0%(HPLC)Colore e forma:White to Light yellow powder to crystalPeso molecolare:753.684-Methoxyphenyl 3,4-O-Isopropylidene-6-O-(4-methylbenzoyl)-β-D-galactopyranoside
CAS:Formula:C24H28O8Purezza:>98.0%(HPLC)Colore e forma:White to Almost white powder to crystalPeso molecolare:444.484-Methoxyphenyl 4,6-O-Benzylidene-β-D-galactopyranoside
CAS:Formula:C20H22O7Colore e forma:SolidPeso molecolare:374.39Phenyl 2-Deoxy-1-thio-2-(2,2,2-trichloroethoxyformamido)-β-D-galactopyranoside
CAS:Formula:C15H18Cl3NO6SColore e forma:SolidPeso molecolare:446.72Man[2Bz,3All,46Bzd]β(1-4)GlcNPhth[36Bn]-β-MP
CAS:Formula:C58H55NO14Colore e forma:SolidPeso molecolare:990.07GlcA[3S]β(1-3)Galβ(1-4)GlcNAcβ(1-2)Man-α-ethylazide
Formula:C28H44N4Na2O25SColore e forma:White SolidPeso molecolare:914.70Methyl (Phenyl 2,3,4-Tri-O-acetyl-1-thio-β-D-glucopyranosid)uronate
CAS:Formula:C19H22O9SPurezza:>98.0%(HPLC)Colore e forma:White to Almost white powder to crystalPeso molecolare:426.44LacDiNAc(I) MP Glycoside
CAS:Formula:C23H34N2O12Purezza:>93.0%(HPLC)Colore e forma:White to Almost white powder to crystalPeso molecolare:530.534-Methoxyphenyl 3-O-Allyl-4,6-O-benzylidene-2-O-(4-methylbenzoyl)-β-D-galactopyranoside
Formula:C31H32O8Purezza:>98.0%(HPLC)Colore e forma:White to Almost white powder to crystalPeso molecolare:532.59LacDiNAc MP Glycoside
CAS:Formula:C23H34N2O12Purezza:>95.0%(HPLC)Colore e forma:White to Light yellow powder to crystalPeso molecolare:530.53Gal[2Ac,346Bn]β(1-3)GlcNPhth[46Bzd]-β-MP
Formula:C57H55NO14Colore e forma:White SolidPeso molecolare:978.06Phenyl 2,3,4,6-Tetra-O-acetyl-1-thio-β-D-galactopyranoside
CAS:Formula:C20H24O9SPurezza:>98.0%(HPLC)Colore e forma:White to Almost white powder to crystalPeso molecolare:440.464-Methoxyphenyl 3-O-Allyl-4,6-O-benzylidene-β-D-galactopyranoside
CAS:Formula:C23H26O7Purezza:>98.0%(HPLC)Colore e forma:White to Almost white powder to crystalPeso molecolare:414.45Galβ(1-3)[Neu5Acα(2-6)]GalNAc-α-propylamine
CAS:Formula:C28H49N3O19Colore e forma:SolidPeso molecolare:731.70Methyl 5-Acetamido-4,7,8,9-tetra-O-acetyl-3,5-dideoxy-2-S-phenyl-2-thio-D-glycero-D-galacto-2-nonulopyranosylonate
CAS:Formula:C26H33NO12SPurezza:>97.0%(HPLC)Colore e forma:White to Almost white powder to crystalPeso molecolare:583.61Neu5Ac[1Me,4789Ac]α(2-3)Gal[246Bz]-β-MP
CAS:Formula:C54H57NO22Purezza:>95.0%(HPLC)Colore e forma:White to Almost white powder to crystalPeso molecolare:1,072.042-Azidoethyl 2,3,4,6-Tetra-O-acetyl-β-D-glucopyranoside
CAS:Formula:C16H23N3O10Purezza:>92.0%(HPLC)Colore e forma:White to Almost white powder to crystalPeso molecolare:417.374-Methoxyphenyl 4,6-O-Benzylidene-2-deoxy-2-phthalimido-β-D-glucopyranoside
CAS:Formula:C28H25NO8Purezza:>98.0%(HPLC)Colore e forma:White to Almost white powder to crystalPeso molecolare:503.51Neu5Acα(2-6)Galβ(1-4)GlcNAcβ(1-3)Galβ(1-4)GlcNAcβ(1-3)Galβ(1-4)GlcNAc-β-propylamine
CAS:Formula:C56H95N5O39Purezza:min. 95.0 area%(HPLC)Colore e forma:SolidPeso molecolare:1,462.37Neu5Gcα(2-6)Galβ MP Glycoside
CAS:Formula:C24H35NO16Purezza:>97.0%(HPLC)Colore e forma:White to Almost white powder to crystalPeso molecolare:593.544-Methoxyphenyl β-D-Galactopyranoside
CAS:Formula:C13H18O7Purezza:>98.0%(HPLC)Colore e forma:White to Almost white powder to crystalPeso molecolare:286.28Galα(1-3)Gal-β-MP
Formula:C19H28O12Purezza:min. 95.0 area%(HPLC)Colore e forma:White to Light yellow powder to crystalPeso molecolare:448.42Neu5Troc[1Me,4789Ac]α(2-3)Gal[26Bn]-β-MP
CAS:Formula:C48H56Cl3NO20Purezza:>98.0%(HPLC)Colore e forma:White to Almost white powder to crystalPeso molecolare:1,073.31Disialylnonasaccharide-β-ethylazide
CAS:Formula:C86H141N9O62Purezza:>98.0%(HPLC)Colore e forma:White to Light yellow powder to crystalPeso molecolare:2,293.08Phenyl 2,3,4,6-Tetra-O-acetyl-1-thio-β-D-glucopyranoside
CAS:Formula:C20H24O9SPurezza:>98.0%(HPLC)Colore e forma:White to Almost white powder to crystalPeso molecolare:440.46Phenyl 2,4,6-Tri-O-acetyl-3-O-allyl-1-thio-β-D-glucopyranoside
CAS:Formula:C21H26O8SPurezza:>98.0%(HPLC)Colore e forma:White to Almost white powder to crystalPeso molecolare:438.49Phenyl 4,6-O-Benzylidene-1-thio-β-D-glucopyranoside
CAS:Formula:C19H20O5SPurezza:>98.0%(HPLC)Colore e forma:White to Almost white powder to crystalPeso molecolare:360.42Gal[236Bn]β(1-4)Glc[236Bn]-β-MP
CAS:Formula:C61H64O12Purezza:>92.0%(HPLC)Colore e forma:White to Almost white powder to crystalPeso molecolare:989.174-Methoxyphenyl 2-O-Benzoyl-3,6-di-O-benzyl-β-D-glucopyranoside
CAS:Formula:C34H34O8Purezza:>95.0%(HPLC)Colore e forma:White to Light yellow powder to crystalPeso molecolare:570.64N-Acetyl-2-deoxy-2-azido-α-neuraminic Acid
CAS:Formula:C11H18N4O8Purezza:min. 95.0 area%(HPLC)Colore e forma:White to Light yellow powder to crystalPeso molecolare:334.29Phenyl 3,4,6-Tri-O-acetyl-2-deoxy-1-thio-2-(2,2,2-trichloroethoxyformamido)-β-D-glucopyranoside
CAS:Formula:C21H24Cl3NO9SPurezza:>98.0%(HPLC)Colore e forma:White to Almost white powder to crystalPeso molecolare:572.83Neu5Gcα(2-3)Galβ MP Glycoside
Formula:C24H35NO16Purezza:>95.0%(HPLC)Colore e forma:White to Almost white powder to crystalPeso molecolare:593.544-Methoxyphenyl 3-O-Benzyl-4,6-O-benzylidene-2-deoxy-2-phthalimido-β-D-glucopyranoside
CAS:Formula:C35H31NO8Purezza:>98.0%(HPLC)Colore e forma:White to Almost white powder to crystalPeso molecolare:593.63Phenyl 2,4,6-Tri-O-acetyl-3-O-allyl-1-thio-β-D-galactopyranoside
CAS:Formula:C21H26O8SPurezza:>98.0%(HPLC)Colore e forma:White to Almost white powder to crystalPeso molecolare:438.49Phenyl 2,3,4,6-Tetra-O-benzyl-1-thio-β-D-galactopyranoside
CAS:Formula:C40H40O5SPurezza:>98.0%(HPLC)Colore e forma:White to Almost white powder to crystalPeso molecolare:632.822-Azidoethyl β-D-Glucopyranoside
CAS:Formula:C8H15N3O6Purezza:>98.0%(HPLC)Colore e forma:Colorless to Almost colorless clear liquidPeso molecolare:249.222-Azidoethyl 2-Acetamido-2-deoxy-β-D-galactopyranoside
CAS:Formula:C10H18N4O6Colore e forma:SolidPeso molecolare:290.282-Azidoethyl 2-Acetamido-2-deoxy-β-D-glucopyranoside
CAS:Formula:C10H18N4O6Purezza:>98.0%(HPLC)Colore e forma:White to Almost white powder to crystalPeso molecolare:290.28Gb3-β-MP
CAS:Formula:C25H38O17Purezza:>95.0%(HPLC)Colore e forma:White to Almost white powder to crystalPeso molecolare:610.56Phenyl 3-O-Allyl-2,4,6-tri-O-benzyl-1-thio-β-D-galactopyranoside
CAS:Formula:C36H38O5SPurezza:>98.0%(HPLC)Colore e forma:White to Almost white powder to crystalPeso molecolare:582.764-Methoxyphenyl 3-O-Allyl-6-O-benzyl-2-deoxy-2-phthalimido-β-D-glucopyranoside
CAS:Formula:C31H31NO8Purezza:>98.0%(HPLC)Colore e forma:White to Almost white powder to crystalPeso molecolare:545.594-Methoxyphenyl 2-Azido-3,6-di-O-benzyl-2-deoxy-β-D-glucopyranoside
CAS:Formula:C27H29N3O6Purezza:>98.0%(NMR)Colore e forma:White to Almost white powder to crystalPeso molecolare:491.54Gluconasturtiin potassium salt
CAS:Gluconasturtiin potassium salt analytical standard provided with w/w absolute assay, to be used for quantitative titration.Formula:C15H20NO9S2KPurezza:(HPLC) ≥98%Colore e forma:PowderPeso molecolare:461.55Desulfoglucobrassicin
CAS:Desulfoglucobrassicin analytical standard provided with w/w absolute assay, to be used for quantitative titration.Formula:C16H20N2O6SPurezza:(HPLC) ≥97%Colore e forma:PowderPeso molecolare:368.41Glucoarabin potassium salt
CAS:Glucoarabin potassium salt analytical standard provided with w/w absolute assay, to be used for quantitative titration.Formula:C17H32NO10S3KPurezza:(HPLC) ≥98%Colore e forma:PowderPeso molecolare:545.73Desulfoneoglucobrassicin
CAS:Desulfoneoglucobrassicin analytical standard provided with w/w absolute assay, to be used for quantitative titration.Formula:C17H22N2O7SPurezza:(HPLC) ≥97%Colore e forma:PowderPeso molecolare:398.43Glucobrassicin potassium salt
CAS:Glucobrassicin potassium salt analytical standard provided with chromatographic purity, to be used as reference material for qualitative determination.Formula:C16H19N2O9S2KPurezza:(HPLC) ≥95%Colore e forma:PowderPeso molecolare:486.56Homoglucocamelinin potassium salt
CAS:Homoglucocamelinin potassium salt analytical standard provided with chromatographic purity, to be used as reference material for qualitative determination.Formula:C19H36NO10S3KPurezza:(HPLC) ≥90%Colore e forma:PowderPeso molecolare:573.78Glucobrassicanapin potassium salt
CAS:Glucobrassicanapin potassium salt analytical standard provided with w/w absolute assay, to be used for quantitative titration.Formula:C12H20NO9S2KPurezza:(HPLC) ≥98%Colore e forma:PowderPeso molecolare:425.52Glucolepidiin potassium salt
CAS:Glucolepidiin potassium salt analytical standard provided with w/w absolute assay, to be used for quantitative titration.Formula:C9H16NO9S2KPurezza:(HPLC) ≥98%Colore e forma:PowderPeso molecolare:385.45Glucocheirolin potassium salt
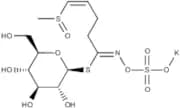
CAS:Glucocheirolin potassium salt analytical standard provided with w/w absolute assay, to be used for quantitative titration.Formula:C11H20NO11S3KPurezza:(HPLC) ≥98%Colore e forma:PowderPeso molecolare:477.56Glucoraphenin potassium salt
CAS:Glucoraphenin potassium salt analytical standard provided with w/w absolute assay, to be used for quantitative titration.Formula:C12H20NO10S3KPurezza:(HPLC) ≥98%Colore e forma:PowderPeso molecolare:473.57Glucocamelinin potassium salt
CAS:Glucocamelinin potassium salt analytical standard provided with w/w absolute assay, to be used for quantitative titration.Formula:C18H34NO10S3KPurezza:(HPLC) ≥98%Colore e forma:PowderPeso molecolare:559.75Sinigrin potassium salt
CAS:Sinigrin potassium salt analytical standard provided with w/w absolute assay, to be used for quantitative titration.Formula:C10H16NO9S2KPurezza:(HPLC) ≥99%Colore e forma:PowderPeso molecolare:397.46Sinalbin potassium salt
CAS:Sinalbin potassium salt analytical standard provided with w/w absolute assay, to be used for quantitative titration.Formula:C14H18NO10S2KPurezza:(HPLC) ≥98%Colore e forma:PowderPeso molecolare:463.52Glucoberteroin potassium salt
CAS:Glucoberteroin potassium salt analytical standard provided with w/w absolute assay, to be used for quantitative titration.Formula:C13H24NO9S3KPurezza:(HPLC) ≥98%Colore e forma:PowderPeso molecolare:473.62Desulfo-4-methoxyglucobrassicin
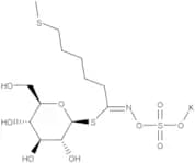
CAS:Desulfo-4-methoxyglucobrassicin analytical standard provided with w/w absolute assay, to be used for quantitative titration.Formula:C17H22N2O7SPurezza:(HPLC) ≥97%Colore e forma:PowderPeso molecolare:398.43Glucoerucin potassium salt
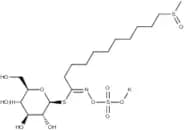
CAS:Glucoerucin potassium salt analytical standard provided with w/w absolute assay, to be used for quantitative titration.Formula:C12H22NO9S3KPurezza:(HPLC) ≥98%Colore e forma:PowderPeso molecolare:459.594-Methoxyglucobrassicin potassium salt
CAS:4-Methoxyglucobrassicin potassium salt analytical standard provided with chromatographic purity, to be used as reference material for qualitative determination.Formula:C17H21N2O10S2KPurezza:(HPLC) ≥90%Colore e forma:PowderPeso molecolare:516.58Glucoraphanin potassium salt
CAS:Glucoraphanin potassium salt analytical standard provided with w/w absolute assay, to be used for quantitative titration.Formula:C12H22NO10S3KPurezza:(HPLC) ≥98%Colore e forma:PowderPeso molecolare:475.59Glucoiberin potassium salt
CAS:Glucoiberin potassium salt analytical standard provided with w/w absolute assay, to be used for quantitative titration.Formula:C11H20NO10S3KPurezza:(HPLC) ≥98%Colore e forma:PowderPeso molecolare:461.56Neoglucobrassicin potassium salt
CAS:Neoglucobrassicin potassium salt analytical standard provided with chromatographic purity, to be used as reference material for qualitative determination.Formula:C17H21N2O10S2KPurezza:(HPLC) ≥95%Colore e forma:PowderPeso molecolare:516.58Gluconapin potassium salt
CAS:Gluconapin potassium salt analytical standard provided with w/w absolute assay, to be used for quantitative titration.Formula:C11H18NO9S2KPurezza:(HPLC) ≥98%Colore e forma:PowderPeso molecolare:411.49Glucomoringin potassium salt
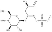
CAS:Glucomoringin potassium salt analytical standard provided with w/w absolute assay, to be used for quantitative titration.Formula:C20H28NO14S2KPurezza:(HPLC) ≥98%Colore e forma:PowderPeso molecolare:609.66Progoitrin potassium salt
CAS:Progoitrin potassium salt analytical standard provided with w/w absolute assay, to be used for quantitative titration.Formula:C11H18NO10S2KPurezza:(HPLC) ≥98%Colore e forma:PowderPeso molecolare:427.49Epiprogoitrin potassium salt
CAS:Epiprogoitrin potassium salt analytical standard provided with w/w absolute assay, to be used for quantitative titration.Formula:C11H18NO10S2KPurezza:(HPLC) ≥98%Colore e forma:PowderPeso molecolare:427.49Glucolimnanthin potassium salt
CAS:Glucolimnanthin potassium salt analytical standard provided with w/w absolute assay, to be used for quantitative titration.Formula:C15H20NO10S2KPurezza:(HPLC) ≥98%Colore e forma:PowderPeso molecolare:477.55


