
AChR
Acetylcholine Receptor (AChR) inhibitors are compounds that block the activity of acetylcholine receptors, which are critical for neurotransmission in the central and peripheral nervous systems. AChRs play a vital role in muscle contraction, memory, and cognitive functions. Inhibitors of AChRs are used to study conditions such as myasthenia gravis, Alzheimer's disease, and other neurological disorders. By modulating AChR activity, these inhibitors can help unravel the complexities of cholinergic signaling in the brain. At CymitQuimica, we provide a range of AChR inhibitors to support your research in neuroscience, pharmacology, and neurodegenerative disease.
Found 574 products of "AChR"
Sort by
Purity (%)
0
100
|
0
|
50
|
90
|
95
|
100
Ispronicline
CAS:<p>Ispronicline (TC-1734) An orally active, selective, and potent α4β2 nAChR partial agonist with antidepressant, neuroprotective, and long-lasting cognitive</p>Formula:C14H22N2OPurity:97.70% - 99.16%Color and Shape:SolidMolecular weight:234.34Fesoterodine L-mandelate
CAS:<p>Fesoterodine L-mandelate is a efficacious antimuscarinic agent for the overactive bladder (OAB).</p>Formula:C34H45NO6Color and Shape:SolidMolecular weight:563.735N6-Methyladenosine 5'-monophosphate disodium salt
CAS:<p>N6-Methyladenosine 5'-monophosphate disodium salt is a glycogen phosphorylase b activator and an inhibitor of adenylate kinase II.</p>Formula:C11H14N5Na2O7PPurity:99.36% - 99.36%Color and Shape:SolidMolecular weight:405.21Solifenacin D5 hydrochloride
CAS:<p>Solifenacin D5 HCl: deuterium-labeled M1, M2, M3 muscarinic receptor antagonist with pKi 7.6, 6.9, 8.0.</p>Formula:C23H27ClN2O2Purity:98%Color and Shape:SolidMolecular weight:403.96Telenzepine dihydrochloride
CAS:<p>muscarinic M1 receptor antagonist</p>Formula:C19H23ClN4O2SPurity:98%Color and Shape:SolidMolecular weight:406.93DL-Cystine
CAS:<p>DL-Cystine is a cysteine derivative that inhibits endothelial cell proliferation by regulating TGFβ1. a GPR inhibitor and nAChR agonist .</p>Formula:C6H12N2O4S2Color and Shape:SolidMolecular weight:240.3Sabcomeline hydrochloride
CAS:<p>Sabcomeline is a selective M1 receptor partial agonist.</p>Formula:C10H16ClN3OColor and Shape:SolidMolecular weight:229.71VU0467485
CAS:<p>VU0467485 boosts ACh at M4 receptors (EC50: 26.6 nM rat, 78.8 nM human), selective for M4 over M1/2/3/5.</p>Formula:C17H17FN4O2SPurity:98%Color and Shape:SolidMolecular weight:360.41Tebanicline dihydrochloride
CAS:<p>Tebanicline dihydrochloride: oral analgesic, nAChR modulator, Ki=37 pM at α4β2 receptors, inhibits cytisine binding.</p>Formula:C9H13Cl3N2OColor and Shape:SolidMolecular weight:271.57(±)-Darifenacin
CAS:<p>(±)-Darifenacin is the racemate of Darifenacin. Darifenacin is a selective antagonist of M3 muscarinic receptor.</p>Formula:C28H30N2O2Color and Shape:SolidMolecular weight:426.55Pirmenol hydrochloride
CAS:<p>Pirmenol hydrochloride functions by inhibiting I_K.ACh through the blockade of muscarinic receptors, demonstrating a potent effect with an IC_50 value of 0.1 μM</p>Formula:C22H31ClN2OColor and Shape:SolidMolecular weight:374.95Cevimeline
CAS:<p>Cevimeline: muscarinic agonist, treats dry mouth & Sjögren's, boosts saliva post-cancer radiotherapy.</p>Formula:C10H17NOSColor and Shape:Off-White SolidMolecular weight:199.31Cevimeline hydrochloride
CAS:<p>Cevimeline HCl is a muscarinic agonist enhancing salivary and sweat gland secretion.</p>Formula:C10H18ClOSColor and Shape:SolidMolecular weight:235.77Darifenacin
CAS:<p>Darifenacin (UK-88525) is a muscarinic receptor M3 antagonist with anticonvulsant activity and can be used to study urinary incontinence and overactive bladder.</p>Formula:C28H30N2O2Purity:99.78%Color and Shape:SolidMolecular weight:426.55DMAB-anabaseine dihydrochloride
CAS:<p>DMAB-anabaseine dihydrochloride (N,N-dimethyl-4-[(E)-(6-pyridin-3-yl-3,4-dihydro-2H-pyridin-5-ylidene)methyl]aniline;dihydrochloride) is an α7-containing</p>Formula:C19H23Cl2N3Purity:99.91%Color and Shape:SolidMolecular weight:364.31Nanofin
CAS:<p>Nanofin (Lupetidine) is a neuropathic blocker, with antihypertensive effect.</p>Formula:C7H15NPurity:97.38% - 99.818%Color and Shape:Clear Colorless To Slightly Yellow LiquidMolecular weight:113.2Fesoterodine
CAS:<p>Fesoterodine is an oral mAChR blocker (pKi: 7.3-8.0) for M1-M5, used to treat OAB.</p>Formula:C26H37NO3Purity:97.1%Color and Shape:SolidMolecular weight:411.58PHA 568487
CAS:<p>PHA 568487: α-7 nAChR agonist, rapid brain uptake, lessens oxidative stress & neuroinflammation.</p>Formula:C20H24N2O7Color and Shape:SolidMolecular weight:404.419Mivacurium dichloride
CAS:<p>Mivacurium dichloride: non-depolarizing, quick-acting muscle relaxant for minor surgeries and tracheal intubation.</p>Formula:C58H80Cl2N2O14Purity:99.2% - 99.48%Color and Shape:Off-White SolidMolecular weight:1100.17PSEM 89S TFA
CAS:<p>PSEM 89S TFA is a brain-penetrant and selective ion channels agonist, and is orthogonally selective for Q79G and L141F, respectively.</p>Formula:C18H23F3N2O5Purity:99.9%Color and Shape:SolidMolecular weight:404.38A-867744
CAS:<p>A-867744 is an effective and selective type II positive allosteric modulator of the α7 nAChR (EC50: 1.0 μM).</p>Formula:C20H19ClN2O3SPurity:95.66%Color and Shape:SolidMolecular weight:402.89Cyclopentolate Hydrochloride
CAS:<p>Cyclopentolate Hydrochloride is a muscarinic acetylcholine receptors antagonist with Kis of 1.62, 27.5, and 2.63 nM for M1, M2, and M3 receptors, respectively.</p>Formula:C17H26ClNO3Purity:99.91%Color and Shape:SolidMolecular weight:327.85Mecamylamine hydrochloride
CAS:<p>Mecamylamine hydrochloride (Mevasin) is a nicotinic antagonist, used as a ganglionic blocker in hypertension.</p>Formula:C11H22ClNPurity:99.76% - >99.99%Color and Shape:White SolidMolecular weight:203.75Coluracetam
CAS:<p>Coluracetam (MKC-231)(MKC-231) is a Choline Uptake Enhancer.</p>Formula:C19H23N3O3Purity:99.96%Color and Shape:SolidMolecular weight:341.4Aclidinium bromide
CAS:<p>Aclidinium bromide (LAS-W 330) is a synthetic anticholinergic agent that is used as an inhalant for treatment of acute bronchospasm due to chronic bronchitis.</p>Formula:C26H30NO4S2·BrPurity:99.53% - 99.69%Color and Shape:SolidMolecular weight:564.55Rivanicline hemioxalate
<p>Rivanicline hemioxalate is a selective α4β2 nicotinic receptor agonist (K i =26 nM), over 1,000x preference to α7 (K i =3.6 μM), with limited side effects.</p>Formula:C12H16N2O4Purity:98%Color and Shape:SolidMolecular weight:207.23Oxyphencyclimine
CAS:<p>Oxyphencyclimine is a muscarinic receptor antagonist (MRA) anticholinergic drug used to treat peptic ulcers.</p>Formula:C20H28N2O3Color and Shape:SolidMolecular weight:344.45Benzetimide hydrochloride
CAS:<p>Benzetimide hydrochloride (R4929) is an antagonist of muscarinic acetylcholine receptor.treatment neuroleptic-induced parkinsonism.</p>Formula:C23H27ClN2O2Purity:99.32%Color and Shape:Off-White PowderMolecular weight:398.93BQCA
CAS:<p>BQCA (benzylquinolone carboxylic acid) a highly selective allosteric M1 mAChR modulator.</p>Formula:C18H15NO4Purity:97.22%Color and Shape:SolidMolecular weight:309.32Oxyphencyclimine Hydrochloride
CAS:<p>Oxyphencyclimine Hydrochloride (Ulcociclinina) is a synthetic tertiary amine and antimuscarinic agent with antispasmodic and antisecretory activities.</p>Formula:C20H29ClN2O3Purity:99.55%Color and Shape:SolidMolecular weight:380.91LY2119620
CAS:<p>LY2119620 is a specific, and allosteric agonist of human M2 and M4 muscarinic acetylcholine receptors.</p>Formula:C19H24ClN5O3SPurity:99.7%Color and Shape:SolidMolecular weight:437.94Thiacloprid
CAS:<p>Thiacloprid: insecticide targeting insect nAChRs, IC50 - Drosophila: 2.7 nM, Mouse α4β2 nAChRs: 860 nM.</p>Formula:C10H9ClN4SPurity:98.66% - 99.95%Color and Shape:Yellowish Crystalline PowderMolecular weight:252.72Propantheline
CAS:<p>Propantheline: oral muscarinic receptor blocker for smooth muscle issues, hyperhidrosis, and bladder control.</p>Formula:C23H30NO3Color and Shape:SolidMolecular weight:368.49Encenicline
CAS:<p>Encenicline (EVP-6124), a selective α7 nAChRs agonist, targets cognitive impairment in schizophrenia and Alzheimer's.</p>Formula:C16H17ClN2OSPurity:99.20%Color and Shape:SolidMolecular weight:320.84Pirmenol
CAS:<p>Pirmenol is a new antiarrhythmic drug</p>Formula:C22H30N2OPurity:97.24%Color and Shape:SolidMolecular weight:338.49NS3861
CAS:<p>NS3861 is a selective agonist for α3β4/α4β2 nAChRs, preferring β-subunits, with no effect on α4-based receptors.</p>Formula:C12H14BrNSPurity:99.853%Color and Shape:SolidMolecular weight:284.22Ursulcholic acid
CAS:<p>Ursulcholic acid (Ursulcholic) is a water-soluble anticholinergic compound.</p>Formula:C24H40O10S2Purity:98%Color and Shape:SolidMolecular weight:552.7Ilmetropium iodide
CAS:<p>Ilmetropium iodide is a bronchodilator.</p>Formula:C20H30INO3Purity:98.45%Color and Shape:SolidMolecular weight:459.36Propiverine
CAS:<p>Propiverine reduces muscle spasms by limiting calcium influx, targeting bladder smooth muscles, aiding OAB research.</p>Formula:C23H29NO3Color and Shape:SolidMolecular weight:367.48JHU37160
CAS:<p>JHU37160 is a DREADD agonist with Ki of 1.9 nM for hM3Dq, 3.6 nM for hM4Di, and EC50 of 18.5 nM (hM3Dq), 0.2 nM (hM4Di) in HEK-293 cell assays.</p>Formula:C19H20ClFN4Purity:99.87%Color and Shape:SolidMolecular weight:358.84OXOMEMAZINE
CAS:<p>Oxomemazine: a phenothiazine antihistamine H1-blocker with strong antimuscarinic and selective M1 antagonist properties, used in cough research.</p>Formula:C18H22N2O2SPurity:99.58%Color and Shape:SolidMolecular weight:330.44Mecamylamine
CAS:<p>Mecamylamine: oral, noncompetitive nAChR blocker, crosses blood-brain barrier, for neuropsychiatric and hypertension research.</p>Formula:C11H21NColor and Shape:SolidMolecular weight:167.29Methylbenactyzium Bromide
CAS:<p>Methylbenactyzium Bromide (Semulgin) is an anticonvulsant that is the active metabolite of trimethadione.</p>Formula:C21H28BrNO3Purity:99.29%Color and Shape:SolidMolecular weight:422.36SEN12333
CAS:<p>SEN12333 is an α7 nicotinic acetylcholine receptor (nAChR) agonist</p>Formula:C20H25N3O2Purity:99.02%Color and Shape:SolidMolecular weight:339.43Solifenacin hydrochloride
CAS:<p>Solifenacin Hcl is a muscarinic receptor antagonist.</p>Formula:C23H27ClN2O2Purity:98%Color and Shape:SolidMolecular weight:398.93Varenicline dihydrochloride
CAS:<p>Varenicline dihydrochloride is a Selective α4β2 nicotinic acetylcholine receptor partial agonist.</p>Formula:C13H15Cl2N3Purity:99.88% - 99.97%Color and Shape:SolidMolecular weight:284.18Brompheniramine
CAS:<p>Brompheniramine, an alkylamine antihistamine, targets H1 receptors (Kd=6.06nM) and has anticholinergic/depressant qualities. Blocks Ca/Na/hERG channels.</p>Formula:C16H19BrN2Color and Shape:SolidMolecular weight:319.24Imidafenacin
CAS:<p>Imidafenacin (KRP-197)(KRP-197; ONO-8025) is a potent and selective inhibitor of M3 receptors with Kb of 0.317 nM.</p>Formula:C20H21N3OPurity:99.17%Color and Shape:SolidMolecular weight:319.4Donepezil Hydrochloride
CAS:<p>Donepezil HCl(Aricept) is a selective and effective AChE inhibitor for bAChE and hAChE (IC50: 8.12/11.6 nM).</p>Formula:C24H29NO3·HClPurity:99.55% - 99.8%Color and Shape:White To Off-White Crystalline SolidMolecular weight:415.964BP-TQS
CAS:<p>4BP-TQS is an allosteric agonist of α7 nAChRs.</p>Formula:C18H17BrN2O2SPurity:99.96%Color and Shape:SolidMolecular weight:405.31Isopropamide Iodide
CAS:<p>Isopropamide iodide: long-acting anticholinergic, treats peptic ulcers, GI disorders, Alzheimer's.</p>Formula:C23H33IN2OPurity:99.67%Color and Shape:SolidMolecular weight:480.43SQ22536
CAS:<p>SQ22536, a tetrahydrofuryl adenosine analogue, inhibits adenylate cyclase in catfish and rat hepatocytes non-competitively.</p>Formula:C9H11N5OPurity:99.18%Color and Shape:Off-White SolidMolecular weight:205.22Tacrine hydrochloride (hydrate)
CAS:<p>Tacrine hydrochloride hydrate (Tetrahydroaminacrine) is a cholinesterase inhibitor that crosses the blood-brain barrier.</p>Formula:C13H14N2·XHCl·XH2OPurity:99.01% - 99.89%Color and Shape:SolidMolecular weight:234.72A 582941 HCl (848591-90-2(free base))
<p>A-582941 is a alpha7 neuronal nicotinic receptor agonist with broad spectrum cognition-enhancing properties</p>Formula:C17H21ClN4Purity:99.83%Color and Shape:SolidMolecular weight:316.83ML380
CAS:<p>ML380 is a highly potent and the first CNS penetrant M5 positive allosteric modulator (PAM).</p>Formula:C23H25F3N4O3SPurity:99.69%Color and Shape:SolidMolecular weight:494.53Atracurium besylate
CAS:<p>Atracurium besylate (51W89) is a short-acting, non-depolarizing muscle relaxant, not affecting the heart or reliant on kidneys.</p>Formula:C65H82N2O18S2Purity:98.94% - 99.71%Color and Shape:SolidMolecular weight:1243.49VU0467154
CAS:<p>VU0467154 is a positive allosteric modulator of the M4 muscarinic acetylcholine receptor.</p>Formula:C17H15F3N4O3S2Purity:98.28% - 99.51%Color and Shape:SolidMolecular weight:444.45suvn-911
CAS:<p>suvn-911 is a potent and selective antagonist of neuronal nicotinic acetylcholine α4β2 receptor (Ki = 1.5 nM) with antidepressant activity.</p>Formula:C11H14Cl2N2OPurity:98.88%Color and Shape:SolidMolecular weight:261.159-Ethyladenine
CAS:<p>9-Ethyladenine (6-Amino-9-ethylpurine) is a partially potent APRT (adenine phosphoribosyltransferase) inhibitor [1].</p>Formula:C7H9N5Purity:99.35% - 99.41%Color and Shape:SolidMolecular weight:163.18VU0152099
CAS:<p>VU0152099 is a potent and selective M4 mAChR allosteric potentiator(EC50 = 380 ± 93 nM).</p>Formula:C18H17N3O3SPurity:98.46%Color and Shape:SolidMolecular weight:355.41VU0152100
CAS:<p>VU0152100 is an effective and selective allosteric potentiator of M4 mAChR (EC50: 380 ± 93 nM).</p>Formula:C18H19N3O2SPurity:99.56%Color and Shape:SolidMolecular weight:341.43TBPB
CAS:<p>TBPB is an allosteric M1 mAChR agonist.</p>Formula:C25H32N4OPurity:97.87% - 99.9%Color and Shape:SolidMolecular weight:404.55Tebanicline hydrochloride
CAS:<p>Tebanicline hydrochloride (Ebanicline hydrochloride) , is an effective synthetic nicotinic (non-opioid) analgesic drug.</p>Formula:C9H12Cl2N2OPurity:91.74% - 98.71%Color and Shape:SolidMolecular weight:235.11Ipratropium Bromide
CAS:<p>Ipratropium Bromide (Sch 1000) is an antagonist of muscarinic receptors and is used in COPD and asthma studies.</p>Formula:C20H30BrNO3Purity:99.92%Color and Shape:SolidMolecular weight:412.37VU0119498
CAS:<p>VU0119498 is a M1 muscarinic receptor agonist (EC50 = 3.1 μM) and pan mAChR M3, M5 positive allosteric modulator (PAM),and is a neuroprotective agent.</p>Formula:C15H10BrNO2Purity:97.56%Color and Shape:SolidMolecular weight:316.15Dicyclomine
CAS:<p>Dicyclomine: oral muscarinic antagonist, eases GI muscle spasms, high affinity for M1/M2 receptors, Ki of 5.1 nM/54.6 nM.</p>Formula:C19H35NO2Color and Shape:SolidMolecular weight:309.49Batefenterol
CAS:<p>Batefenterol (GSK961081) is a muscarinic antagonist and β2-agonist with high affinity (Ki: 1.4/1.3/3.7 nM).</p>Formula:C40H42ClN5O7Purity:97.94% - 98.4%Color and Shape:SolidMolecular weight:740.24KH7
CAS:<p>KH7 is a soluble inhibitor of adenylyl cyclase (sAC)-specific.</p>Formula:C17H15BrN4O2SPurity:98.43%Color and Shape:SolidMolecular weight:419.3Piperidolate hydrochloride
CAS:<p>Piperidolate hydrochloride, an antimuscarinic, reduces acetylcholine-induced intestinal spasms in rats and dogs.</p>Formula:C21H26ClNO2Purity:99.5%Color and Shape:SolidMolecular weight:359.89Bestim
CAS:<p>Bestim is an immunomodulatory dipeptide that is synthetic.</p>Formula:C16H19N3O5Purity:99.76%Color and Shape:SolidMolecular weight:333.34VU0357017 hydrochloride
CAS:<p>VU0357017 hydrochloride (ML071 hydrochloride) is highly selective M1 agonists act at an allosteric site to activate the receptor (EC50: 477 ± 172 nM; Pec50: 6.</p>Formula:C18H28ClN3O3Purity:99% - 99.97%Color and Shape:SolidMolecular weight:369.89Succinylcholine Chloride Dihydrate
CAS:<p>Succinylcholine Chloride Dihydrate (Succinyldicholine dichloride) is a nicotinic AChR agonist and also acts as a depolarizing neuromuscular blocker.</p>Formula:C14H30N2O4·2Cl·2H2OPurity:99.87%Color and Shape:White SolidMolecular weight:397.34VU10010
CAS:<p>VU10010 (VU 10010) is allosteric potentiator of M4 acetylcholine receptors.</p>Formula:C17H16ClN3OSPurity:99.36%Color and Shape:SolidMolecular weight:345.85Procyclidine hydrochloride
CAS:<p>Procyclidine hydrochloride ((±)-Procyclidine hydrochlorid) is a potent anticholinergic agent and also have NMDA antagonist properties.</p>Formula:C19H30ClNOPurity:99.24% - 99.88%Color and Shape:Crystals From Petroleum Ether White PowderMolecular weight:323.9Oxotremorine sesquifumarate
CAS:<p>Oxotremorine sesquifumarate is a muscarinic agonist.</p>Formula:C12H18N2OC4H4O4Purity:97.94%Color and Shape:SolidMolecular weight:380.39α-Conotoxin MII acetate
<p>α-Conotoxin MII acetate is a 16-amino acid peptide from the venom of the marine snail Conus magus.</p>Formula:C69H107N23O24S4Purity:94.82% - 97.79%Color and Shape:SolidMolecular weight:1770.99Syn-Ake acetate
CAS:<p>Syn-Ake acetate (Dipeptide diaminobutyroyl benzylamide) is a muscarinic acetylcholine receptor antagonist.</p>Formula:C19H29N5O3·2(C2H4O2)Purity:99.60%Color and Shape:SolidMolecular weight:495.58Clothianidin
CAS:<p>Clothianidin (TI 435), an insecticide, stimulates nAChR as acetylcholine agonist, not AChE inhibitor.</p>Formula:C6H8ClN5O2SPurity:99.71% - 99.87%Color and Shape:Solid PowderMolecular weight:249.68JHU37152
CAS:<p>JHU37152 is a DREADD agonist; Ki: 1.8 nM at hM3Dq, 8.7 nM at hM4Di; EC50: 5 nM (hM3Dq), 0.5 nM (hM4Di) in HEK-293 cell assays.</p>Formula:C19H20ClFN4Purity:99.72%Color and Shape:SolidMolecular weight:358.84Varenicline Tartrate
CAS:<p>Varenicline Tartrate (CP 526555-18) is a benzazepine derivative that functions as an ALPHA4/BETA2 NICOTINIC RECEPTOR partial agonist.</p>Formula:C13H13N3·C4H6O6Purity:98.23% - 98.32%Color and Shape:Tan SolidMolecular weight:361.35TQS
CAS:<p>TQS (4-Naphthalen-1-yl-3a,4,5,9b-tetrahydro-3H-cyclopenta[c]quinoline-8-sulfonamide) is a positive allosteric modulator of α7 nACh receptors.</p>Formula:C22H20N2O2SPurity:98.56%Color and Shape:SolidMolecular weight:376.47Sofpironium bromide
CAS:<p>Sofpironium bromide (BBI4000) belongs to a class of drugs called anticholinergics, which exert their effect by blocking the action of acetylcholine.</p>Formula:C22H32BrNO5Purity:98.85%Color and Shape:SolidMolecular weight:470.4Dinotefuran
CAS:<p>Dinotefuran (MTI-446), a neonicotinoid insecticide, targets pests by blocking their nervous system.</p>Formula:C7H14N4O3Purity:99.89%Color and Shape:White Crystalline PowderMolecular weight:202.21MC-Val-Cit-PAB
CAS:<p>MC-Val-Cit-PAB: cathepsin-cleavable ADC linker used in FDA-approved brentuximab vedotin.</p>Formula:C28H40N6O7Purity:98.24%Color and Shape:SolidMolecular weight:572.65Revefenacin
CAS:<p>Revefenacin (TD-4208) is a mAChR antagonist has a high affinity on M3 receptor( Ki : 0.18 nM),and potentially useful for the treatment of respiratory disease.</p>Formula:C35H43N5O4Purity:98.12%Color and Shape:SolidMolecular weight:597.75Pempidine
CAS:<p>Pempidine (1,2,2,6,6-Pentamethylpiperidine) is a nicotinic antagonist, has been used as a ganglionic blocker in the treatment of hypertension.</p>Formula:C10H21NPurity:98.18% - 99.28%Color and Shape:Colorless - Light Yellow Clear LiquidMolecular weight:155.28Dronedarone
CAS:<p>Dronedarone (SR 33589) is an amiodarone analogue which has an effective and promising treatment for Atrial fibrillation.</p>Formula:C31H44N2O5SPurity:98.85% - 99.58%Color and Shape:SolidMolecular weight:556.76Nitrocaramiphen hydrochloride
CAS:<p>Nitrocaramiphen hydrochloride is a selective M1 muscarinic antagonist and inhibits binding to sigma sites in brain.</p>Formula:C18H27ClN2O4Purity:99.74%Color and Shape:SolidMolecular weight:370.87Anisotropine Methylbromide
CAS:<p>Anisotropine Methylbromide is an anticholinergic agent and has been used for relief of gastrointestinal spasm and for the suppression of gastric acid secretion.</p>Formula:C17H32BrNO2Purity:99.73%Color and Shape:Crystals From Acetone SolidMolecular weight:362.35Solifenacin
CAS:<p>Solifenacin (YM905 free base) (YM905 free base) is a novel muscarinic receptor antagonist, its pKis for M1, M2 and M3 receptors is of 7.6, 6.9 and 8.0,</p>Formula:C23H26N2O2Purity:99.87%Color and Shape:SolidMolecular weight:362.46Piperidolate
CAS:<p>Piperidolate inhibits intestinal cramp induced by acetylcholine</p>Formula:C21H25NO2Purity:98.45%Color and Shape:SolidMolecular weight:323.43PNU-282987 S enantiomer free base
CAS:<p>PNU-282987 S enantiomer free base is an agonist of α7 nicotinic acetylcholine receptor (α7 nAChR).</p>Formula:C14H17ClN2OPurity:99.74%Color and Shape:SolidMolecular weight:264.75VU 0238429
CAS:<p>VU 0238429 (SCR-1481B1) is positive allosteric modulator of muscarinic acetylcholine receptor subtype 5 (mAChR5 or M5)( EC50 : 1.16 μM).</p>Formula:C17H12F3NO4Purity:>99.99%Color and Shape:SolidMolecular weight:351.28VU0238441
CAS:<p>VU0238441 is agonist of Muscarinic acetylcholine receptor M5 (human) with EC50 of 2.1μM.</p>Formula:C16H9ClF3NO2Purity:100%Color and Shape:SolidMolecular weight:339.7Glycopyrrolate
CAS:<p>Glycopyrrolate: muscarinic antagonist, antispasmodic for GI issues, reduces salivation with anesthesia.</p>Formula:C19H28BrNO3Purity:99.41% - 99.64%Color and Shape:SolidMolecular weight:398.33PHA 543613 hydrochloride
CAS:<p>PHA-543613 hydrochloride, a potent α7 nicotinic receptor agonist, may treat schizophrenia-related cognitive deficits.</p>Formula:C15H18ClN3O2Color and Shape:SolidMolecular weight:307.78Nitenpyram
CAS:<p>Nitenpyram (Capstar) is a nicotinic acetylcholine receptor (AchR) agonist, used as veterinary medicine to treat parasites of livestock and pets.</p>Formula:C11H15ClN4O2Purity:99.03%Color and Shape:Light-Yellow CrystalMolecular weight:270.72Harman hydrochloride
CAS:<p>Harman hydrochloride triggers CYP1A1 gene via AhR, potentially causing mutations and cancer.</p>Formula:C12H11ClN2Purity:99.35%Color and Shape:SolidMolecular weight:218.68CCMI
CAS:<p>CCMI (AVL-3288) is a potent and selective modulator of α7 nAChR-positive allosteric.</p>Formula:C19H15Cl2N3O2Purity:>99.99%Color and Shape:SolidMolecular weight:388.25W-84 dibromide
CAS:<p>W-84 dibromide (HDMPPA) is a M2-receptor selective modulator.</p>Formula:C32H44Br2N4O4Purity:95.56%Color and Shape:SolidMolecular weight:708.52BNC210
CAS:<p>BNC210 (IW-2143) is a α7 nAChR negative allosteric modulator. BNC210 has potent activity in animal models of anxiety and depression.</p>Formula:C17H23N3O3Purity:97.05% - >99.99%Color and Shape:SolidMolecular weight:317.38Prifinium bromide
CAS:<p>Prifinium bromide is a quaternary ammon antimuscarinic. It inhibits hyperkinesia of the digestive organs and urinary tract and has a spasmolytic action.</p>Formula:C22H28BrNPurity:97.99%Color and Shape:SolidMolecular weight:386.37Nor-benzetimide
CAS:<p>Norbenzetimide, an organic compound, is prepared from benzetimide by catalytic transfer hydrogenolysis.</p>Formula:C16H20N2O2Purity:98.63%Color and Shape:SolidMolecular weight:272.34NS 1738
CAS:<p>NS 1738 (NSC-213859) is a positive allosteric modulator of the α7-containing neuronal nicotinic acetylcholine receptors (nAChRs)</p>Formula:C14H9Cl2F3N2O2Purity:99.11%Color and Shape:SolidMolecular weight:365.13Cyclodrine hydrochloride
CAS:<p>Cyclodrine hydrochloride is a dual cholinergic muscarinic receptor (mAChR) and nicotinic receptor (nAChR) antagonist that can be used in the study of</p>Formula:C19H30ClNO3Purity:98.59%Color and Shape:SolidMolecular weight:355.9Pozanicline dihydrochloride
CAS:<p>Pozanicline dihydrochloride (ABT-089 dihydrochloride) is an orally bioavailable agonist of nicotinic acetylcholine receptor (nAChR) (Ki = 16.7 nM)</p>Formula:C11H18Cl2N2OPurity:98%Color and Shape:SolidMolecular weight:265.18(-)-(S)-B-973B
CAS:<p>(-)-(S)-B-973B is an effective allosteric agonist and a positive allosteric modulator of α7 nAChR.</p>Formula:C24H26F2N6OPurity:99.52%Color and Shape:SolidMolecular weight:452.5ST034307
CAS:<p>ST034307 is an effective and selective inhibitor of adenylyl cyclase 1 (IC50: 2.3 μM).</p>Formula:C10H4Cl4O2Purity:99.28%Color and Shape:SolidMolecular weight:297.95Oxyphenonium bromide
CAS:<p>Oxyphenonium bromide is an anticholinergic used to study and treat ulcers and relieve visceral spasms.</p>Formula:C21H34BrNO3Purity:98.96%Color and Shape:SolidMolecular weight:428.404Umeclidinium bromide
CAS:<p>Umeclidinium bromide (GSK573719A) is a novel mAChR antagonist.</p>Formula:C29H34BrNO2Purity:98.4% - 99.89%Color and Shape:SolidMolecular weight:508.49Nitrobenzylthioinosine
CAS:<p>Nitrobenzylthioinosine (NBMPR) is an inhibitor of ENT1 transporter that binds to ENT1 transporter with high affinity.</p>Formula:C17H17N5O6SPurity:99.69% - 99.74%Color and Shape:Off-White SolidMolecular weight:419.41PHA 568487 free base
CAS:<p>PHA 568487 free base, an α7 nicotinic receptor agonist, designed to reduce bioactivation and improve in vivo tolerability.</p>Formula:C16H20N2O3Purity:99.74%Color and Shape:SolidMolecular weight:288.34mAChR-IN-1 hydrochloride
CAS:<p>mAChR-IN-1 hydrochloride is a potent muscarinic cholinergic receptor (mAChR) antagonist, with an IC50 of 17 Nm.</p>Formula:C23H26ClIN2O2Purity:99.87%Color and Shape:SolidMolecular weight:524.82NS9283
CAS:<p>NS9283, a positive allosteric modulator selective for the α4β2 form, reduces ethanol consumption.</p>Formula:C14H8N4OPurity:99.12%Color and Shape:SolidMolecular weight:248.24PNU-120596
CAS:<p>PNU-120596 (NSC-216666) is a positive allosteric modulator of α7 nAChR with EC50 of 216 nM.</p>Formula:C13H14ClN3O4Purity:99.82%Color and Shape:SolidMolecular weight:311.72MC-Val-Cit-PABC-PNP
CAS:<p>MC-Val-Cit-PABC-PNP, also known as Mc-Val-Cit-PABC-PNP, is a cathepsin cleavable ADC peptide linker.</p>Formula:C35H43N7O11Purity:97.2% - 98.055%Color and Shape:SolidMolecular weight:737.76Ethyl (triphenylphosphoranylidene) acetate
CAS:<p>Ethyl (triphenylphosphoranylidene) acetate ((Carbethoxymethylene)triphenylphosphorane) may act as an cholinesterase inhibitor that inhibits AChE and BChE.</p>Formula:C22H21O2PPurity:97.985%Color and Shape:White Or Slight Yellow PowderMolecular weight:348.37Blarcamesine
CAS:<p>Blarcamesine (AVex-73) is a muscarinic M1 agonist potentially for the treatment of Alzheimer's disease.</p>Formula:C19H23NOPurity:99.87%Color and Shape:SolidMolecular weight:281.39Encenicline hydrochloride
CAS:<p>Encenicline hydrochloride (EVP-6124 hydrochloride) is a new-type partial agonist of α7 neuronal nicotinic acetylcholine receptors (nAChRs).</p>Formula:C16H17ClN2OS·HClPurity:98.34% - 99.85%Color and Shape:SolidMolecular weight:357.3(S)-UFR2709
CAS:<p>(S)-UFR2709, a nAChR competitive antagonist, favors α4β2 over α7, reduces anxiety and alcohol use in rats.</p>Formula:C13H17NO2Color and Shape:SolidMolecular weight:219.284Mc-Val-Ala-PAB
CAS:<p>Mc-Val-Ala-PAB, an effective linker, is utilized in antibody-drug-conjugate (ADC).</p>Formula:C25H34N4O6Purity:98.34% - 99.24%Color and Shape:SolidMolecular weight:486.56Pipecuronium bromide
CAS:<p>Pipecuronium bromide (RGH-1106) is an nAChR antagonist that also acts as a non-depolarising steroidal neuromuscular blocker that causes muscle relaxation.</p>Formula:C35H62Br2N4O4Purity:>99.99%Color and Shape:PowderMolecular weight:762.7Velufenacin
CAS:<p>Velufenacin is an antagonist of muscarinic receptor[1].</p>Formula:C19H20ClFN2O2Purity:99.65%Color and Shape:SolidMolecular weight:362.83Pentoxyverine
CAS:<p>Pentoxyverine (Carbetapentan) is an orally available cough suppressant, an antagonist of muscarinic receptor M1 and an agonist of the σ1 receptor.</p>Formula:C20H31NO3Purity:97.11%Color and Shape:SolidMolecular weight:333.47Mepenzolate Bromide
CAS:<p>Mepenzolate Bromide (Colibantil) is a muscarinic antagonist used to treat gastrointestinal conditions.</p>Formula:C21H26BrNO3Purity:95.73% - 99.21%Color and Shape:SolidMolecular weight:420.34AF-710B
CAS:<p>AF710B is an enantiomer of AF710. AF-710B is also a sigma and M1 muscarinic receptors agonist.</p>Formula:C20H27N3OSPurity:98.62% - 99.89%Color and Shape:SolidMolecular weight:357.51Monepantel
CAS:<p>Monepantel (AAD1566) is an organic anthelmintic and an antagonist of nAChRs from roundworms and esophageostomy.</p>Formula:C20H13F6N3O2SPurity:99.83%Color and Shape:White PowderMolecular weight:473.39Xanomeline tartrate
CAS:<p>Xanomeline tartrate (LY 246708 tartrate) 是 M1和 M4 mAChR 激动剂,具有抗精神病样活性,可改善认知,可用于研究精神分裂症和阿尔茨海默病。</p>Formula:C18H29N3O7SPurity:99.19%Color and Shape:SolidMolecular weight:431.5Varenicline
CAS:<p>Varenicline (CP 526555) is a selective partial agonist of the α4β2 nAChR and a full agonist of the α3β4 nAChR and α7 nAChR.</p>Formula:C13H13N3Purity:99.76%Color and Shape:SolidMolecular weight:211.26Pyrantel
CAS:<p>Pyrantel: Nicotinic agonist; causes spastic paralysis in nematodes by depolarizing block.</p>Formula:C11H14N2SPurity:98%Color and Shape:Crystals From Methanol Yellowish Crystalline PowderMolecular weight:206.31Atropine hydrobromide
CAS:<p>Atropine hydrobromide is a biochemical.</p>Formula:C17H24BrNO3Color and Shape:SolidMolecular weight:370.28Flavoxate
CAS:<p>Flavoxate is an anticholinergic with antimuscarinic effects.</p>Formula:C24H25NO4Color and Shape:SolidMolecular weight:391.46Anatabine dicitrate
<p>Anatabine dicitrate is a tobacco alkaloid that can cross the blood-brain barrier.</p>Formula:C22H28N2O14Purity:98%Color and Shape:SolidMolecular weight:544.46Oxantel
CAS:<p>Oxantel is a fumarate reductase inhibitor with anthelmintic activity.</p>Formula:C13H16N2OPurity:98%Color and Shape:SolidMolecular weight:216.28Biperiden lactate
CAS:<p>Biperiden lactate is a biochemical.</p>Formula:C24H35NO4Color and Shape:SolidMolecular weight:401.54Catestatin
CAS:<p>Non-competitive inhibitor of nicotinic receptors; blocks cationic signalling and catecholamine release; stimulates histamine release. IC50 ~200-250nM.</p>Formula:C107H173N37O26SPurity:98%Color and Shape:SolidMolecular weight:2425.84VU0029767
CAS:<p>VU0029767 is an allosteric enhancer of the M1 muscarinic receptor, capable of modulating the receptor's activity. This compound enhances M1 receptor activity by increasing agonist affinity. However, VU0029767 demonstrates distinct characteristics from other compounds, particularly under varying experimental conditions such as its interaction with mutated M1 receptors and its effects on downstream signaling pathways.</p>Formula:C21H21N3O3Color and Shape:SolidMolecular weight:363.41Diphenidol
CAS:<p>Diphenidol, a muscarinic antagonist, is employed as an antivertigo and antiemetic agent.</p>Formula:C21H27NOColor and Shape:Needles From Petroleum Ether SolidMolecular weight:309.45Azacyclonol hydrochloride
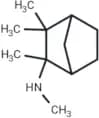
CAS:<p>Azacyclonol hydrochloride can be used in the treatment of chronic schizophrenia.</p>Formula:C18H22ClNOColor and Shape:Off White Crystalline PowderMolecular weight:303.83Dianicline dihydrochloride
CAS:<p>Dianicline dihydrochloride is a partial agonist of α4β2 nicotinic acetylcholine receptor. It increases cessation rates in a dose-dependent manner.</p>Formula:C13H16N2OPurity:98%Color and Shape:SolidMolecular weight:216.28Aprofene
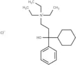
CAS:<p>Aprofene blocks acetylcholine receptors, used for peptic ulcers, endarteritis, cholecystitis, and colitis.</p>Formula:C21H27NO2Color and Shape:SolidMolecular weight:325.44Sulindac sulfide
CAS:<p>Sulindac sulfide: NSAID targeting COX-1, inhibits Ras-Raf-1 and gamma-secretase (IC50: 20.2 μM), active sulinic acid metabolite.</p>Formula:C20H17FO2SPurity:99.35%Color and Shape:SolidMolecular weight:340.41N-0861 racemate
CAS:<p>N-0861 racemate is the racemate of N-0861.</p>Formula:C13H17N5Purity:98%Color and Shape:SolidMolecular weight:243.31Sulfoxaflor
CAS:<p>Sulfoxaflor (GF 2032) is an agonist of nAChR1 and nAChR2 subtypes and a systemic insecticide. Cost-effective and quality-assured.</p>Formula:C10H10F3N3OSPurity:99.56%Color and Shape:SolidMolecular weight:277.27Sch412348
CAS:<p>Sch412348: potent A2A receptor antagonist, Ki=0.6 nM, >1000-fold selectivity vs. other adenosine receptors.</p>Formula:C22H21F2N9OPurity:98%Color and Shape:SolidMolecular weight:465.46SR 16584
CAS:<p>α3β4 nAChR antagonist</p>Formula:C17H22N2OPurity:99.84%Color and Shape:SolidMolecular weight:270.37Tarafenacin
CAS:<p>Tarafenacin is a highly selective M3 muscarinic receptor antagonist (Ki= 0.19 nM), ~200 fold selectivity over the M2 receptor.</p>Formula:C21H20F4N2O2Purity:98%Color and Shape:SolidMolecular weight:408.39Meseclazone
CAS:<p>Meseclazone has anti-inflammatory, analgesic, and antipyretic activity. Meseclazone shows inhibitory potency of secondary phase ADP aggregation.</p>Formula:C11H10ClNO3Purity:98%Color and Shape:SolidMolecular weight:239.654-DAMP
CAS:<p>4-DAMP (4-DAMP methiodide) is a selective muscarinic M1 and M3 subtype receptor antagonist used in the study of allergic rhinitis and cardiovascular disease.</p>Formula:C21H26INO2Purity:98%Color and Shape:SolidMolecular weight:451.34mAChr-in-1
CAS:<p>mAChR-IN-1 is muscarinic cholinergic receptor(mAChR) antagonist (IC50=17 nM).</p>Formula:C23H25IN2O2Purity:98%Color and Shape:SolidMolecular weight:488.36Darenzepine
CAS:<p>Darenzepine is a muscarinic receptor inhibitor.</p>Formula:C21H21N3O2Purity:99.87%Color and Shape:SolidMolecular weight:347.41UB 165 fumarate
CAS:<p>UB 165 fumarate is a nAChR agonist, α4β2 partial, α3β2 full, with a 0.27 nM Ki for [3H]-nicotine in rat brain.</p>Formula:C17H19ClN2O4Purity:99.72%Color and Shape:SolidMolecular weight:350.8CDD0102
CAS:<p>CDD0102 is a potent agonist of M1 Muscarinic receptor.</p>Formula:C8H12N4OPurity:98%Color and Shape:SolidMolecular weight:180.215-Iodo-A-85380 dihydrochloride
CAS:<p>α4β2 and α6β2 nicotinic acetylcholine receptors agonist</p>Formula:C9H13Cl2IN2OPurity:98%Color and Shape:SolidMolecular weight:363.02Dimethyl-W84 (dibromide)
CAS:<p>Dimethyl-W84, selective M2 muscarinic receptor modulator; slows N-methylscopolamine release, EC50=3 nM.</p>Formula:C34H48Br2N4O4Color and Shape:SolidMolecular weight:736.59LY 2087101
CAS:<p>Allosteric potentiator of α7, α4β2 and α4β4 nAChRs</p>Formula:C15H11FN2OS2Purity:98%Color and Shape:SolidMolecular weight:318.39AR-R 17779 hydrochloride
CAS:<p>AR-R17779 hydrochloride: potent α7 nAChR agonist; K i : 92 nM (α7), 16,000 nM (α4β2); enhances rat cognition; anxiolytic; anti-inflammatory.</p>Formula:C9H15ClN2O2Color and Shape:SolidMolecular weight:218.68Elucaine
CAS:<p>Elucaine is an antagonist of the muscarinic acetylcholine receptor. It has anti-ulcerative activity.</p>Formula:C19H23NO2Purity:98%Color and Shape:SolidMolecular weight:297.39(R,R)-Glycopyrrolate
CAS:<p>(R,R)-Glycopyrrolate is an agent of anticholinergic, has the ability to reduce the frequency of drooling in vivo with developmental disabilities.</p>Formula:C19H28BrNO3Purity:98%Color and Shape:SolidMolecular weight:398.34SIB 1508Y maleate
CAS:<p>neuronal nicotinic ACh receptor agonist</p>Formula:C16H18N2O4Purity:98%Color and Shape:SolidMolecular weight:302.33LRE1
CAS:<p>LRE1 is a specific and allosteric soluble adenylyl cyclase inhibitor.</p>Formula:C12H13ClN4SPurity:>99.99%Color and Shape:SolidMolecular weight:280.78Terodiline
CAS:<p>Terodiline is an orally available selective muscarinic M1 receptor and calcium channel antagonist for the study of diseases caused by abnormal bladder function.</p>Formula:C20H27NPurity:98.20% - 99.59%Color and Shape:SolidMolecular weight:281.44Methacholine bromide
CAS:<p>Methacholine bromide is a potent M3 agonist for diagnosing asthma by identifying bronchial hyperresponsiveness.</p>Formula:C8H18BrNO2Color and Shape:SolidMolecular weight:240.141Nuvenzepine
CAS:<p>Nuvenzepine is an antagonist of mAChR. It has the potential for gastrospasm treatment.</p>Formula:C19H20N4O2Purity:98%Color and Shape:SolidMolecular weight:336.39DA 4626
CAS:<p>DA 4626 is an H2-receptor antagonist with KB values akin to those in standard assays.</p>Formula:C14H18N4Purity:98%Color and Shape:SolidMolecular weight:242.32Telenzepine
CAS:<p>Telenzepine is a potent and selective M1 antimuscarinic.</p>Formula:C19H22N4O2SPurity:98%Color and Shape:SolidMolecular weight:370.47AC260584
CAS:<p>AC260584 is an M1 muscarinic receptor allosteric agonist (pEC50: 7.6).</p>Formula:C20H29FN2O2Color and Shape:SolidMolecular weight:348.45Neramexane Mesylate
CAS:<p>Neramexane: NMDA & nicotinic receptor blocker with neuroprotective, antidepressant, and cognitive-enhancing effects.</p>Formula:C12H27NO3SPurity:98%Color and Shape:SolidMolecular weight:265.41Chlorisondamine diiodide
CAS:<p>long lasting nicotinic antagonist</p>Formula:C14H20Cl4I2N2Color and Shape:SolidMolecular weight:611.94ML381
CAS:<p>ML381 is a M5-orthosteric antagonist with a high selectivity of muscarinic subtype.</p>Formula:C21H21N3O4Color and Shape:SolidMolecular weight:379.41ML169
CAS:<p>ML169 is a selective and brain penetrant M1 positive allosteric modulator (PAM).</p>Formula:C21H17BrFN3O4SPurity:98%Color and Shape:SolidMolecular weight:506.34Zamifenacin
CAS:<p>Zamifenacin obviously decreases colonic motility in irritable bowel syndrome. Zamifenacin is an effective gut-selective muscarinic M3 receptor antagonist.</p>Formula:C27H29NO3Purity:98%Color and Shape:SolidMolecular weight:415.52BNC375
CAS:<p>BNC375 is a α7 nAChRs type I positive allosteric modulator (EC50: 1.9 μM).</p>Formula:C19H23ClN2O3SPurity:98%Color and Shape:SolidMolecular weight:394.92(R,R)-Reboxetine mesylate
CAS:<p>(R,R)-Reboxetine mesylate: Antidepressant, high bioavailability, (R,R) enantiomer, selective for noradrenaline, low toxicity.</p>Formula:C20H27NO6SColor and Shape:SolidMolecular weight:409.5M1 ligand 1
CAS:<p>Compound 3b-b: N-desmethyl arecoline derivative, muscarinic M1 ligand, potential PET radiotracer.</p>Formula:C20H21NO2Color and Shape:SolidMolecular weight:307.39Benzatropine
CAS:<p>Benzatropine: Central muscarinic blocker, inhibits dopamine uptake, treats Parkinson's symptoms.</p>Formula:C21H25NOPurity:98%Color and Shape:SolidMolecular weight:307.43Muscarine iodide
CAS:<p>Muscarinic acetylcholine receptor agonist</p>Formula:C9H20INO2Purity:98%Color and Shape:SolidMolecular weight:301.17Tridihexethyl chloride
CAS:<p>Tridihexethyl is an anticholinergic, antimuscarinic, and antispasmolytic drug, which can be used to treat acquired nystagmus or peptic ulcer disease.</p>Formula:C21H36ClNOColor and Shape:SolidMolecular weight:353.97TC 2559 difumarate
CAS:<p>partial agonist of α4β2 nicotinic acetylcholine receptor</p>Formula:C12H18N2OC4H404Purity:98%Color and Shape:SolidMolecular weight:380.39TC299423
CAS:<p>TC299423 is a novel agonist for nicotinic acetylcholine receptors (nAChRs). TC299423 modestly selectively targets α6β2 subtype.</p>Formula:C11H15N3Color and Shape:SolidMolecular weight:189.26SM-21 maleate
CAS:<p>Increases release of acetylcholine,σ2 antagonist</p>Formula:C22H28ClNO7Purity:98%Color and Shape:SolidMolecular weight:453.91TC 1698 dihydrochloride
CAS:<p>nicotinic α7 receptor agonist</p>Formula:C13H18N2Purity:98%Color and Shape:SolidMolecular weight:202.3Beperidium iodide
CAS:<p>Beperidium iodide is a competitive antagonist of the acetylcholine receptor (pA2: 7.93).</p>Formula:C23H34IN3O3Color and Shape:SolidMolecular weight:527.44WIN 62,577
CAS:<p>WIN 62,577 is a allosteric antagonist of mAChR.</p>Formula:C29H31N3OPurity:98%Color and Shape:SolidMolecular weight:437.58Benzamide Derivative 1
CAS:<p>Benzamide Derivative 1 Benzamide derivative with gastrokinetic activity.Benzamide Derivative 1 can be used in the study of gastrointestinal diseases.</p>Formula:C22H34ClN3O3Purity:>99.99%Color and Shape:SolidMolecular weight:423.98Alvameline
CAS:<p>Alvameline (Lu25-109) is a partial M1 agonist. Alvameline (Lu25-109) also is a M2/M3 antagonist.</p>Formula:C9H15N5Purity:98%Color and Shape:SolidMolecular weight:193.25Muscarine chloride
CAS:<p>Muscarine chloride is a toxic alkaloid found in Amanita muscaria and other fungi of the Inocybe species.</p>Formula:C9H20ClNO2Color and Shape:SolidMolecular weight:209.71Quifenadine
CAS:<p>Quifenadine, an H1-histamine receptor blocker, has antiarrhythmic properties.</p>Formula:C20H23NOPurity:98%Color and Shape:SolidMolecular weight:293.4DAU 5884 hydrochloride
CAS:<p>muscarinic M3 receptor antagonist</p>Formula:C17H22ClN3O3Purity:98%Color and Shape:SolidMolecular weight:351.83Nelonicline
CAS:<p>Nelonicline is a selective agonist of neuronal nicotinic receptors.</p>Formula:C17H19N3OSPurity:98%Color and Shape:SolidMolecular weight:313.42BTM-1086
CAS:<p>BTM-1086 is a potent gastric secretory inhibitor and an anti-ulcer agent.</p>Formula:C21H25N3OSPurity:98%Color and Shape:SolidMolecular weight:367.51CP-601932
CAS:<p>CP-601932 (free base) is a selective base α( 4) β( 2) Nicotinic acetylcholine receptor agonist.</p>Formula:C12H12F3NColor and Shape:SolidMolecular weight:227.23Eucatropine
CAS:<p>Eucatropine, an anticholinergic agent, acts as a potent inhibitor of the muscarinic acetylcholine receptor (mAChR) with an IC 50 value of 0.583 μM.</p>Formula:C17H25NO3Color and Shape:SolidMolecular weight:291.39Thiochrome
CAS:<p>Thiochrome is a selective enhancer of M4 muscarinic receptor of acetylcholine (ACh) affinity.</p>Formula:C12H14N4OSPurity:98%Color and Shape:SolidMolecular weight:262.33VU0090157
CAS:<p>VU0090157, a novel allosteric potentiators of M1 muscarinic receptor, may provide novel treatments for schizophrenia and Alzheimer's disease.</p>Formula:C19H21N3O7Purity:98%Color and Shape:SolidMolecular weight:403.39S-(+)-Mecamylamine hydrochloride
CAS:<p>Dexmecamylamine( TC-5214, NIH-11008) is used as a nicotinic channel modulator with antidepressant activity.</p>Formula:C11H22ClNColor and Shape:SolidMolecular weight:203.75T761-0184
CAS:<p>T761-0184 is a potent antagonist of α7 nicotinic receptor (nAChR) [1].</p>Formula:C16H20FN3OColor and Shape:SolidMolecular weight:289.35Revatropate
CAS:<p>Revatropate, a selective muscarinic antagonist, is an antimuscarinic drug.</p>Formula:C19H27NO4SColor and Shape:SolidMolecular weight:365.49Rispenzepine
CAS:<p>Rispenzepine, a novel mAChRs M1/M3 antagonist, treats immune, infections, and respiratory issues.</p>Formula:C19H20N4O2Purity:98%Color and Shape:SolidMolecular weight:336.39Milameline
CAS:<p>Milameline is a muscarinic receptor agonist that improves cognition.</p>Formula:C8H14N2OColor and Shape:SolidMolecular weight:154.21
