CAS 114-07-8
:Erythromycin
Description:
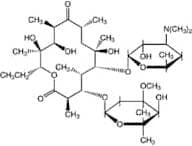
Erythromycin is a macrolide antibiotic that is primarily used to treat bacterial infections. It is derived from the bacterium Saccharopolyspora erythraea and is effective against a variety of Gram-positive bacteria and some Gram-negative bacteria. The chemical structure of erythromycin features a large lactone ring, which is characteristic of macrolides, along with several sugar moieties that contribute to its solubility and biological activity. Erythromycin works by inhibiting bacterial protein synthesis, thereby preventing the growth and reproduction of bacteria. It is commonly used in treating respiratory tract infections, skin infections, and certain sexually transmitted infections. Erythromycin is available in various formulations, including oral tablets, topical ointments, and intravenous preparations. While generally well-tolerated, it can cause side effects such as gastrointestinal disturbances and may interact with other medications due to its effects on liver enzymes. Resistance to erythromycin has been observed in some bacterial strains, which can limit its effectiveness in certain infections.
Formula:C37H67NO13
InChI:InChI=1/C37H67NO13/c1-14-25-37(10,45)30(41)20(4)27(39)18(2)16-35(8,44)32(51-34-28(40)24(38(11)12)15-19(3)47-34)21(5)29(22(6)33(43)49-25)50-26-17-36(9,46-13)31(42)23(7)48-26/h18-26,28-32,34,40-42,44-45H,14-17H2,1-13H3/t18-,19-,20+,21?,22-,23+,24+,25-,26+,28-,29?,30?,31+,32?,34?,35-,36-,37-/m1/s1
InChI key:InChIKey=ULGZDMOVFRHVEP-RWJQBGPGSA-N
SMILES:O([C@@H]1[C@@H](C)[C@H](O[C@H]2C[C@](OC)(C)[C@@H](O)[C@H](C)O2)[C@@H](C)C(=O)O[C@H](CC)[C@@](C)(O)[C@H](O)[C@@H](C)C(=O)[C@H](C)C[C@@]1(C)O)[C@H]3[C@H](O)[C@@H](N(C)C)C[C@@H](C)O3
Synonyms:- (2S,3R,4S,6R)-4-(dimethylamino)-2-{[(3R,4S,5S,6R,7R,9R,11R,12R,13S,14R)-14-ethyl-7,12,13-trihydroxy-4-{[(2R,4R,5S,6S)-5-hydroxy-4-methoxy-4,6-dimethyltetrahydro-2H-pyran-2-yl]oxy}-3,5,7,9,11,13-hexamethyl-2,10-dioxooxacyclotetradecan-6-yl]oxy}-6-methyltetrahydro-2H-pyran-3-yl ethyl butanedioate (non-preferred name)
- (2S,3R,4S,6R)-4-(dimethylamino)-2-{[(3R,4S,5S,6R,7R,9R,11R,12R,13S,14R)-14-ethyl-7,12,13-trihydroxy-4-{[(2R,4R,5S,6S)-5-hydroxy-4-methoxy-4,6-dimethyltetrahydro-2H-pyran-2-yl]oxy}-3,5,7,9,11,13-hexamethyl-2,10-dioxooxacyclotetradecan-6-yl]oxy}-6-methyltetrahydro-2H-pyran-3-yl propanoate (non-preferred name)
- (3R,4S,5S,6R,7R,9R,11R,12R,13S,14R)-6-{[(2R,3S,4R,6S)-4-(dimethylamino)-3-hydroxy-6-methyltetrahydro-2H-pyran-2-yl]oxy}-14-ethyl-7,12,13-trihydroxy-4-{[(2R,4R,5S,6S)-5-hydroxy-4-methoxy-4,6-dimethyltetrahydro-2H-pyran-2-yl]oxy}-3,5,7,9,11,13-hexamethyloxacyclotetradecane-2,10-dione (non-preferred name)
- (3R,4S,5S,6R,7R,9R,11R,12R,13S,14R)-6-{[(2S,3R,4S,6R)-4-(dimethylamino)-3-hydroxy-6-methyltetrahydro-2H-pyran-2-yl]oxy}-14-ethyl-7,12,13-trihydroxy-4-{[(2R,4R,5S,6S)-5-hydroxy-4-methoxy-4,6-dimethyltetrahydro-2H-pyran-2-yl]oxy}-3,5,7,9,11,13-hexamethyloxacyclotetradecane-2,10-dione (non-preferred name)
- (3R,7R,9R,11R,13S,14R)-6-{[(3R,4S,6R)-4-(dimethylamino)-3-hydroxy-6-methyltetrahydro-2H-pyran-2-yl]oxy}-14-ethyl-7,12,13-trihydroxy-4-{[(2R,4R,5S,6S)-5-hydroxy-4-methoxy-4,6-dimethyltetrahydro-2H-pyran-2-yl]oxy}-3,5,7,9,11,13-hexamethyloxacyclotetradecane-2,10-dione (non-preferred name)
- 6-{[4-(dimethylamino)-3-hydroxy-6-methyltetrahydro-2H-pyran-2-yl]oxy}-14-ethyl-7,12,13-trihydroxy-4-[(5-hydroxy-4-methoxy-4,6-dimethyltetrahydro-2H-pyran-2-yl)oxy]-3,5,7,9,11,13-hexamethyloxacyclotetradecane-2,10-dione (non-preferred name)
- Abboticin
- Abomacetin
- Ak-Mycin
- Aknin
- Dotycin
- Drmysin
- E-Base
- E-mycin
- E.E.S
- EMU
- Emgel
- Ergel
- Eritocina
- Eritrex
- Eritrocina
- Eritromed
- Eritromicina
- Ermycin
- Erthrogran
- Ery Derm
- Ery-Ped
- Ery-Tab
- EryDerm
- Eryacne
- Eryc
- Erycen
- Erycette
- Erycin
- Erycinum
- Erygel
- Erymax
- Erytab
- Erythro
- Erythrocin
- Erythrogran
- Erythroguent
- Erythromast
- Erythromast 36
- Erythromid
- Erythromycin A
- Erythromycine
- Ilocap
- Ilosone
- Ilotycin
- Inderm
- L-alpha-Egg-phosphatidylcholine
- Nsc 55929
- Oxacyclotetradecane, erythromycin deriv.
- Oxacyclotetradecane-2,10-dione, 4-[(2,6-dideoxy-3-C-methyl-3-O-methyl-α-<span class="text-smallcaps">L</smallcap>-ribo-hexopyranosyl)oxy]-14-ethyl-7,12,13-trihydroxy-3,5,7,9,11,13-hexamethyl-6-[[3,4,6-trideoxy-3-(dimethylamino)-β-<smallcap>D</span>-xylo-hexopyranosyl]oxy]-, [3R-(3R*,4S*,5S*,6R*,7R*,9R*,11R*,12R*,13S*,14R*)]-
- Oxacyclotetradecane-2,10-dione, 4-[(2,6-dideoxy-3-C-methyl-3-O-methyl-α-L-ribo-hexopyranosyl)oxy]-14-ethyl-7,12,13-trihydroxy-3,5,7,9,11,13-hexamethyl-6-[[3,4,6-trideoxy-3-(dimethylamino)-β-D-xylo-hexopyranosyl]oxy]-, [3R-(3R*,4S*,5S*,6R*,7R*,9R*,11R*,12R*,13S*,14R*)]-
- P.C.E.
- PCE
- Pantomicina
- Pediamycin
- Retcin
- Robimycin
- Statcin
- Staticin
- Stiemycin
- T-Stat
- Theramycin Z
- Torlamicina
- Torlamicna
- Vetwic
- Wintrocin
- Wyamycin-s
- [3R-(3R*,4S*,5S*,6R*,7R*,9R*,11R*,12R*,13S*,14R*)]-4-[(2,6-Dideoxy-3-C-methyl-3-O-methyl-α-<span class="text-smallcaps">L</smallcap>-ribo-hexopyranosyl)oxy]-14-ethyl-7,12,13-trihydroxy-3,5,7,9,11,13-hexamethyl-6-[[3,4,6-trideoxy-3-(dimethylamino)-β-<smallcap>D</span>-xylo-hexopyranosyl]oxy]oxacyclotetradecane-2,10-dione
- [3R-(3R*,4S*,5S*,6R*,7R*,9R*,11R*,12R*,13S*,14R*)]-4-[(2,6-Dideoxy-3-C-methyl-3-O-methyl-α-L-ribo-hexopyranosyl)oxy]-14-ethyl-7,12,13-trihydroxy-3,5,7,9,11,13-hexamethyl-6-[[3,4,6-trideoxy-3-(dimethylamino)-β-D-xylo-hexopyranosyl]oxy]oxacyclotetradecane-2,10-dione
- Erythromycin
- ErMysin
- ERYTHROMYCIN STANDARD SOLUTION*
- ERYTHROMYCIN BASE
- ERYTHROMYCIN USP(CRM STANDARD)
- Abomacetin AK-Mycin, Aknin
- Erythromycin,Erythromycinum
- StreptoMyces erythreus
- ERYTHROMYCIN, PH EUR
- em
- ibo-hexopyranosyl)-oxy)-14-ethyl-7,12,13-tr///
- BRAND? volumetric flask BLAUBRAND? USP conformity certified
- (3R*,4S*,5S*,6R*,7R*,9R*,11R*,12R*,13S*,14R*)-4-((2,6-Dideoxy-3-C-methyl-3-O-methyl-alpha-L-ribo-hexopyranosyl)oxy)-14-ethyl-7,12,13-trihydroxy-3,5,7,9,11,13-hexamethyl-6-((3,4,6-trideoxy-3-(dimethylamino)-beta-D-xylo-hexopyranosyl)oxy)oxacyclotetradecane-2,10-dione
- propiocine
- nosyl)-oxy)-6,11,12,13-tetrahydroxy-2,4,6,8///
- Radix Ophiopogonis P.E.
- ERYTHROMYCIN C USP(CRM STANDARD)
- ERYTHROMYCIN.BASERESEARCH GRADE
- ERYTHROMYCIN THICYANATE
- (-)-Erythromycin, Eur.Pharm.
- erythromycin,compdwithmonododecylsulfate,sodiumsalt
- ERYTHROMYCIN WHO(CRM STANDARD)
- ERYTHROMYCIN CELL CULTURE TESTED
- (3R,5R,6S,7R,8R,11R,13R,14R,15S,16R)-7-((2R,3S,4R,6S)-4-(dimethylamino)-3-hydroxy-6-methyltetrahydro-2H-pyran-2-yloxy)-16-ethyl-8,14,15-trihydroxy-5-((2R,4S,5S,6S)-5-hydroxy-4-methoxy-4,6-dimethyltetrahydro-2H-pyran-2-yloxy)-3,6,8,11,13,15-hexamethyloxacyclohexadecane-2,12-dione
- ERYTHROMYCIN B USP(CRM STANDARD)
- pentadecanoicacid,3-((2,6-dideoxy-3-c-methyl-3-o-methyl-alpha-l-ribo-hexopyra
- ERYTHROMYCIN, BIOTECHNOLOGY PERFORMANCE
- sulfuricacid,monododecylester,sodiumsalt,compdwitherythromycin
- USP
- ERYTHROMYCIN MIXTURE A,B,C
- BRAND? USP BLAUBRAND? class AS graduated pipette
- ERYTHROMYCIN A EPE(CRM STANDARD)
- BRAND? USP BLAUBRAND? volumetric pipettes, one-mark
- BRAND? USP BLAUBRAND? class A measuring cylinder, tall form
- oxacyclotetradecane-2,10-dione,4-((2,6-dideoxy-3-c-methyl-3-o-methyl-alpha-l-r
- ERYTHROMYCIN 960 I.U./MG EPE(CRM STANDARD)
- BRAND? volumetric flask, USP, BLAUBRAND
- ERYTHROMYCIN PLANT CELL CULTURE TESTED
- Aknemycin
- ErythromycinAlkali
- ERYTHROMYCINUM
- Erythromycin (250 mg)
- ERYTHROMYCIN C*) EPE(CRM STANDARD)
- Erythromycin BasePhosphate & Salts
- ERYTHROMYCIN (90-95% ERYTHROMYCIN A)
- Bulb pipettes
- Erytromycin A
- Erithromycin
- Ilotycin, ErythroMycin
- BRAND? volumetric flask BLAUBRAND? USP 27 conformity certified
- ERYTHROMYCIN,POWDER,USP
- ERYTHROMYCIN C WHO(CRM STANDARD)
- (-)-Erythromycin,98%
- ERYTHROMYCIN, STREPTOMYCES ERYTHREUS
- knin
- ERYTHROMYCIN CELL CULTURE REAGENT
- Erythromycin (base and/or unspecified salts)
- ErythroMycin COS/CGMP
- nci-c55674
- erythromast36
- ERYTHROMYCIN A,B,C
- ERYTHROMYCIN 98%
- ERYTHROMYCIN USP
- erythromycinsodiumlaurylsulfate
- ERYTHROMYCIN 9-OXIME 90+% HPLC
- Erythromycin,E-Mycin, Erythrocin
- BRAND? volumetric flask BLAUBRAND? USP
- ERYTHROMYCIN RELATED COMPOUND NN-DEMETHYLERYTHROMYCIN A USP(CRM STANDARD)
- ERYTHROMYCIN B EPE(CRM STANDARD)
- Erythromycin (mixture of A,B,C)
- Erythromycin-Bp/Ep/Usp
- See more synonyms
Sort by
Purity (%)
0
100
|
0
|
50
|
90
|
95
|
100
Erythromycin
CAS:Formula:C37H67NO13Purity:>98.0%(T)Color and Shape:White to Orange to Green powder to crystalMolecular weight:733.94Erythromycin, Cell Culture Grade
CAS:Erythromycin, 114-07-8, is a broad-spectrum macrolide antibiotic which inhibits bacterial protein synthesis by binding to the 50S ribosomal subunit. Learn more.Formula:C37H67NO13Color and Shape:Crystals or powder or crystalline powder, Translucent or white to pale yellowMolecular weight:733.94ERYTHROMYCIN FOR SYSTEM SUITABILITY CRS
CAS:ERYTHROMYCIN FOR SYSTEM SUITABILITY CRSFormula:C37H67NO13Molecular weight:733.9268ERYTHROMYCIN FOR MICROBIOLOGICAL ASSAY CRS
CAS:ERYTHROMYCIN FOR MICROBIOLOGICAL ASSAY CRSFormula:C37H67NO13Molecular weight:733.9268Erythromycin
CAS:ErythromycinFormula:C36H65NO13 / C37H67NO12 / C37H67NO13Purity:0.8% / 0.2% / 92.3%Color and Shape:WhiteMolecular weight:719.44559 / 717.46633 / 733.46124Erythromycin
CAS:Erythromycin and its derivatives; salts thereofFormula:C37H67NO13ErythromycinAColor and Shape:White Light Yellow PowderMolecular weight:733.94 Erythromycin AErythromycin
CAS:ErythromycinFormula:C37H67NO13Purity:Assay: 96.5% (erythromycin (Typical Value in Batch COA)Color and Shape:Solid-PowderMolecular weight:733.92678[3R-(3R*,4S*,5S*,6R*,7R*,9R*,11R*,12R*,13S*,14R*)]-4-[(2,6-Dideoxy-3-C-methyl-3-O-methyl-α-L-ribo-hexopyranosyl)oxy]-14-ethyl-7,12,13-trihydroxy-3,5,7,9,11,13-hexamethyl-6-[[3,4,6-trideoxy-3-(dimethylamino)-β-D-xylo-hexopyranosyl]oxy]oxacyclotetradecane-2,10-dione
CAS:Formula:C37H67NO13Purity:95%Color and Shape:SolidMolecular weight:733.9268Erythromycin
CAS:Formula:C37H67NO13Purity:Erythromycin A+B+C: 93.0 - 102.0%Color and Shape:White or pale yellow powderMolecular weight:733.93Erythromycin
CAS:Erythromycin (E-Mycin) is a Macrolide and Macrolide Antimicrobial. The physiologic effect of erythromycin is by means of Decreased Sebaceous Gland Activity.Formula:C37H67NO13Purity:99.26% - 99.77%Color and Shape:SolidMolecular weight:733.93Erythromycin A (Roxithromycin EP Impurity A)
CAS:Formula:C37H67NO13Color and Shape:White To Off-White SolidMolecular weight:733.94GB 31660.1-2019 Macrolide Antibiotics Mixture 167 100 µg/mL in Methanol
CAS:Controlled ProductColor and Shape:MixtureErythromycin-d3
CAS:Controlled ProductApplications Isotope labelled Erythromycin (E649950), an antibiotic useful for the treatment of a number of bacterial infection, usually prescribed to patients with allergy to penicillin.
References Koch, W.L., et al.: Anal. Profiles Drug Subs., 8, 157 (1979),Formula:C37H64D3NO13Color and Shape:NeatMolecular weight:736.96Erythromycin
CAS:Applications Erythromycin is an antibiotic.This compound is a contaminant of emerging concern (CECs).
References Koch, W.L., et al.: Anal. Profiles Drug Subs., 8, 157 (1979),Formula:C37H67NO13Color and Shape:NeatMolecular weight:733.93













