CAS 309-00-2
:Aldrin
Description:
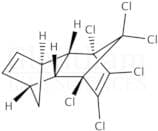
Aldrin is a synthetic organic compound classified as a cyclodiene insecticide, primarily used in agriculture for pest control. It is characterized by its chemical structure, which includes a bicyclic arrangement of carbon atoms and multiple double bonds, contributing to its stability and persistence in the environment. Aldrin is a colorless to pale yellow solid with a faint, sweet odor. It is hydrophobic, meaning it does not dissolve well in water, but is soluble in organic solvents. The compound is known for its high toxicity to a variety of insects, making it effective in pest management; however, it poses significant risks to human health and the environment. Aldrin can bioaccumulate in the food chain and has been associated with various adverse health effects, including neurotoxicity and potential carcinogenicity. Due to these concerns, its use has been heavily restricted or banned in many countries. Proper handling and disposal are essential to mitigate its environmental impact and protect human health.
Formula:C12H8Cl6
InChI:InChI=1/C12H8Cl6/c13-8-9(14)11(16)7-5-2-1-4(3-5)6(7)10(8,15)12(11,17)18/h1-2,4-7H,3H2/t4-,5+,6+,7-,10+,11-
InChI key:InChIKey=QBYJBZPUGVGKQQ-SJJAEHHWNA-N
SMILES:Cl[C@]12[C@@]3([C@]([C@](Cl)([C@@]1(Cl)Cl)C(Cl)=C2Cl)([C@@]4(C[C@]3(C=C4)[H])[H])[H])[H]
Synonyms:- (1Alpha,4Alpha,4Abeta,5Alpha,8Alpha,8Abeta)-1,2,3,4,10,10-Hexachloro-1,4,4A,5,8,8A-Hexahydro-1,4:5,8-Dimethanonaphthalene
- (1R,4S,4aS,5S,8R,8aR)-1,2,3,4,10,10-Hexachloro-1,4,4a,5,8,8a-hexahydro-1,4:5,8-dimethanonaphthalene
- 1,2,3,4,10,10-Hexachloro-1,4,4A,5,8,8A-Hexahydro-1,4:5,8-Dimethanonaphthalene
- 1,2,3,4,10,10-Hexachloro-1,4,4a,5,8,8a-hexachloro-1,4-endo-exo-5,8-dimethanonaphthalene
- 1,2,3,4,10,10-Hexachloro-1,4,4a,5,8,8a-hexahydro-(1α,4α,4aβ,5α,8α,8aβ)1,4 ,5,8-dimethanonaphthalene
- 1,2,3,4,10,10-Hexachloro-1,4,4a,5,8,8a-hexahydro-(1α,4α,4aβ,5β,8β,8aβ)-1,4,5,8-dimethanonaphthalene
- 1,2,3,4,10,10-Hexachloro-1,4,4a,5,8,8a-hexahydro-1,4,5,8-endo, endodimethanonaphthalene
- 1,2,3,4,10,10-Hexachloro-1,4,4a,5,8,8a-hexahydro-1,4-endo-exo-5,8-dimethanonaphthalene
- 1,2,3,4,10,10-Hexachloro-1,4,4a,5,8,8a-hexahydro-endo-1,4-exo-5,8-dimethanonaphthalene
- 1,4,5,8-Dimethanonaphthalene, 1,2,3,4,10,10-10-hexachloro-1,4,4a,5,8,8a-hexahydro-, (α,4α,4β,5α,8α,8aβ)-
- 1,4,5,8-Dimethanonaphthalene, 1,2,3,4,10,10-hexachloro-1,4,4a,5,8,8a-hexahydro (1α,4α,4aβ,5β,8β,8aβ)-
- 1,4,5,8-Dimethanonaphthalene,1,2,3,4,10,10,10-hexachloro-1,4,4a,5,8,8a-hexahydro-,(1α,4α,4aβ,5α,8α,8β)-
- 1,4:5,8-Dimethanonaphthalene, 1,2,3,4,10,10-hexachloro-1,4,4a,5,8,8a-hexahydro-, (1R,4S,4aS,5S,8R,8aR)-rel-
- 1,4:5,8-Dimethanonaphthalene, 1,2,3,4,10,10-hexachloro-1,4,4a,5,8,8a-hexahydro-, (1alpha,4alpha,4abeta,5alpha,8alpha,8abeta)-
- 1,4:5,8-Dimethanonaphthalene, 1,2,3,4,10,10-hexachloro-1,4,4a,5,8,8a-hexahydro-, (1α,4α,4aβ,5α,8α,8aβ)-
- 1,4:5,8-Dimethanonaphthalene, 1,2,3,4,10,10-hexachloro-1,4,4a,5,8,8a-hexahydro-, endo,exo-
- Ai3-15949
- Aldocit
- Aldrex
- Aldrex 25
- Aldrex 30
- Aldrex 30 E.C.
- Aldrex 40
- Aldrin [ISO]
- Aldrin, liquid
- Aldrin, liquid [NA2762] [Poison]
- Aldrin, solid
- Aldrin, solid [NA2761] [Poison]
- Aldrin[1,4,5,8-Dimethanonaphthalene, 1,2,3,4,10,10-hexachloro-1,4,4a,5,8,8a-hexahydro (1 α,4α,4aβ,5β,8β,8aβ)-]
- Aldrine
- Aldrine [French]
- Aldrite
- Aldron
- Aldrosol
- Algran
- Altox
- Andrex
- Andrex 40
- Caswell No. 012
- Ccris 18
- Compound 118
- EPA Pesticide Chemical Code 045101
- Ent 15,949
- Hexachlorohexahydro-endo-exo-dimethanonaphthalene
- Hhdn
- Hhdn [Bsi:Iso]
- Hsdb 199
- Kortofin
- Latka 118
- Latka 118 [Czech]
- Na 2761
- Na 2762
- Na2761
- Na2762
- Nci-C00044
- Nsc 8937
- Octalene
- RCRA waste no. P004
- RCRA waste number P004
- Sd 2794
- Seedrin
- Soilgrin
- Tatuzinho
- Tipula
- See more synonyms
Sort by
Purity (%)
0
100
|
0
|
50
|
90
|
95
|
100
Aldrin 10 µg/mL in Cyclohexane
CAS:Controlled ProductFormula:C12H8Cl6Color and Shape:Single SolutionMolecular weight:364.91Aldrin 10 µg/mL in Acetonitrile
CAS:Controlled ProductFormula:C12H8Cl6Color and Shape:Single SolutionMolecular weight:364.91Aldrin 1000 µg/mL in Hexane
CAS:Formula:C12H8Cl6Color and Shape:Single SolutionMolecular weight:364.91EPA Method 525.2 Organochlorine Pesticide Mixture 500 μg/mL in Acetone
CAS:Controlled Product- 1024-57-3
- 1031-07-8
- 1861-32-1
- 1897-45-6
- 2675-77-6
- 309-00-2
- 319-84-6
- 319-85-7
- 319-86-8
- 33213-65-9
- 39765-80-5
- 50-29-3
- 510-15-6
- 5103-71-9
- 5103-74-2
- 51877-74-8
- 53494-70-5
- 54774-45-7
- 58-89-9
- 60-57-1
- 72-20-8
- 72-43-5
- 72-54-8
- 72-55-9
- 7421-93-4
- 76-44-8
- 959-98-8
Formula:C14H10Cl4Color and Shape:MixtureMolecular weight:320.04EPA Method 525.3 Organochlorine Pesticide Mixture 500 μg/mL in Acetone
CAS:- 1024-57-3
- 1031-07-8
- 108-45-2
- 118-74-1
- 1861-32-1
- 1897-45-6
- 2675-77-6
- 309-00-2
- 319-84-6
- 319-85-7
- 319-86-8
- 33213-65-9
- 34256-82-1
- 39765-80-5
- 50-29-3
- 510-15-6
- 5103-71-9
- 5103-74-2
- 51877-74-8
- 54774-45-7
- 60-57-1
- 72-20-8
- 72-43-5
- 72-54-8
- 72-55-9
- 76-44-8
- 77-47-4
- 87-86-5
- 959-98-8
Formula:C6H8N2Color and Shape:MixtureMolecular weight:108.14IRSA Method 5090 Pesticide Mixture 100 µg/mL in Acetone
CAS:Controlled Product- 1024-57-3
- 118-74-1
- 15972-60-8
- 1912-24-9
- 309-00-2
- 319-84-6
- 319-85-7
- 319-86-8
- 33213-65-9
- 3424-82-6
- 465-73-6
- 50-29-3
- 5103-71-9
- 5103-74-2
- 53-19-0
- 58-89-9
- 60-57-1
- 608-93-5
- 72-20-8
- 72-43-5
- 72-54-8
- 72-55-9
- 76-44-8
- 789-02-6
- 959-98-8
Formula:C14H10Cl4Color and Shape:MixtureMolecular weight:320.04Aldrin 100 µg/mL in Isooctane
CAS:Controlled ProductFormula:C12H8Cl6Color and Shape:Single SolutionMolecular weight:364.91EPA Method 505 Organochloride Pesticide Mixture 383 100 µg/mL in Toluene
CAS:Controlled ProductColor and Shape:MixturePesticide-Mix 1037 10 µg/mL in Cyclohexane
CAS:Controlled Product- 1024-57-3
- 118-74-1
- 27304-13-8
- 28044-83-9
- 309-00-2
- 319-84-6
- 319-85-7
- 319-86-8
- 3424-82-6
- 39765-80-5
- 50-29-3
- 5103-71-9
- 5103-73-1
- 5103-74-2
- 53-19-0
- 58-89-9
- 60-57-1
- 72-20-8
- 72-54-8
- 72-55-9
- 76-44-8
- 789-02-6
Formula:C14H10Cl4Color and Shape:MixtureMolecular weight:320.04Organochlorine Pesticide Mixture 946 100-200 µg/mL in Acetone
CAS:Controlled Product- 1024-57-3
- 1031-07-8
- 122-34-9
- 15972-60-8
- 1861-32-1
- 1897-45-6
- 1912-24-9
- 2593-15-9
- 2675-77-6
- 309-00-2
- 319-84-6
- 319-85-7
- 319-86-8
- 33213-65-9
- 39765-80-5
- 50-29-3
- 510-15-6
- 5103-71-9
- 5103-74-2
- 52645-53-1
- 58-89-9
- 60-57-1
- 72-20-8
- 72-43-5
- 72-54-8
- 72-55-9
- 7421-93-4
- 76-44-8
- 959-98-8
Formula:C14H10Cl4Color and Shape:MixtureMolecular weight:320.04


