CAS 31218-83-4
:Propetamphos
Description:
Propetamphos is an organophosphate compound primarily used as an insecticide and acaricide in agricultural and veterinary applications. It is characterized by its ability to inhibit acetylcholinesterase, an enzyme crucial for the proper functioning of the nervous system in insects, leading to paralysis and death. Propetamphos is typically a colorless to pale yellow liquid with a faint odor, and it is soluble in organic solvents but has limited solubility in water. The compound is known for its effectiveness against a wide range of pests, including those that affect crops and livestock. Due to its mode of action, it is important to handle propetamphos with care, as it can pose risks to non-target organisms, including humans and beneficial insects. Safety measures should be observed during its application to minimize environmental impact and ensure user safety. Additionally, regulatory guidelines govern its use to mitigate potential health risks associated with exposure.
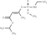
Formula:C10H20NO4PS
InChI:InChI=1/C10H20NO4PS/c1-6-11-16(17,13-5)15-9(4)7-10(12)14-8(2)3/h7-8H,6H2,1-5H3,(H,11,17)/b9-7+
InChI key:InChIKey=BZNDWPRGXNILMS-VQHVLOKHNA-N
SMILES:P(O/C(=C/C(OC(C)C)=O)/C)(NCC)(OC)=S
Synonyms:- 1-methylethyl (2E)-3-{[(ethylamino)(methoxy)phosphorothioyl]oxy}but-2-enoate
- 1-methylethyl (2Z)-3-{[(ethylamino)(methoxy)phosphorothioyl]oxy}but-2-enoate
- 2-Butenoic acid, 3-[[(ethylamino)methoxyphosphinothioyl]oxy]-, 1-methylethyl ester, (2E)-
- 2-Butenoic acid, 3-[[(ethylamino)methoxyphosphinothioyl]oxy]-, 1-methylethyl ester, (E)-
- Blotic
- Crotonic acid, 3-hydroxy-, isopropyl ester, O-ester with O-methyl ethylphosphoramidothioate, (E)-
- Deadmag
- E-Propetamphos
- Ectomort Centenary
- Ectomort Jetting Fluid
- Ectomort Jetting Fluid and Sheep Dip
- Magget
- Mules-n-Mark II
- Safrotin
- Safrotin Brush-on Bait
- Safrotin MC
- Safrotin S 200
- San 322
- San 322I
- Vel 4283
- See more synonyms
Sort by
Purity (%)
0
100
|
0
|
50
|
90
|
95
|
100
Found 13 products.
Propetamphos 10 µg/mL in Cyclohexane
CAS:Formula:C10H20NO4PSColor and Shape:Single SolutionMolecular weight:281.31GB 31656.8-20 Organophosphorus Pesticide Mixture 694 100-200 µg/mL in Acetonitrile
CAS:Controlled ProductColor and Shape:MixtureLC PestiMix 1 10 µg/mL in Acetonitrile
CAS:Controlled Product- 1014-70-6
- 101463-69-8
- 10265-92-6
- 107534-96-3
- 110235-47-7
- 110488-70-5
- 1113-02-6
- 112226-61-6
- 112410-23-8
- 1129-41-5
- 116-06-3
- 118134-30-8
- 119-12-0
- 119168-77-3
- 121-75-5
- 121552-61-2
- 122-42-9
- 13071-79-9
- 13171-21-6
- 131807-57-3
- 131860-33-8
- 134-62-3
- 13457-18-6
- 135410-20-7
- 13593-03-8
- 13684-56-5
- 138261-41-3
- 140923-17-7
- 141517-21-7
- 148-79-8
- 150-68-5
- 153233-91-1
- 153719-23-4
- 1563-66-2
- 1610-17-9
- 1610-18-0
- 161050-58-4
- 1646-88-4
- 1698-60-8
- 173584-44-6
- 188425-85-6
- 1912-24-9
- 1982-49-6
- 2032-65-7
- 21725-46-2
- 2275-23-2
- 22781-23-3
- 2310-17-0
- 23103-98-2
- 2312-35-8
- 23505-41-1
- 24017-47-8
- 2595-54-2
- 2597-03-7
- 2631-37-0
- 28249-77-6
- 29232-93-7
- 297-97-2
- 29973-13-5
- 30125-63-4
- 311-45-5
- 31218-83-4
- 315-18-4
- 330-55-2
- 3383-96-8
- 34014-18-1
- 35554-44-0
- 3689-24-5
- 41198-08-7
- 41814-78-2
- 51-03-6
- 51707-55-2
- 52888-80-9
- 55179-31-2
- 55219-65-3
- 57018-04-9
- 57966-95-7
- 5915-41-3
- 59669-26-0
- 6190-65-4
- 63-25-2
- 63284-71-9
- 66332-96-5
- 6923-22-4
- 69327-76-0
- 6988-21-2
- 71626-11-4
- 7286-69-3
- 7287-19-6
- 732-11-6
- 78587-05-0
- 80844-07-1
- 83164-33-4
- 834-12-8
- 84087-01-4
- 841-06-5
- 85509-19-9
- 87130-20-9
- 886-50-0
- 88671-89-0
- 950-35-6
- 950-37-8
- 95737-68-1
Color and Shape:MixturePropetamphos
CAS:Propetamphos, an organophosphate pesticide, can effectively control cockroaches, flies, mosquitoes, and other pests. It is also effective for cattle lice.Formula:C10H20NO4PSPurity:98%Color and Shape:SolidMolecular weight:281.31Pesticide-Mix 167 10 µg/mL in Toluene
CAS:Controlled Product- 121-75-5
- 2104-96-3
- 22248-79-9
- 23505-41-1
- 2642-71-9
- 2921-88-2
- 29232-93-7
- 299-84-3
- 31218-83-4
- 333-41-5
- 3689-24-5
- 38260-54-7
- 470-90-6
- 4824-78-6
- 5598-13-0
- 563-12-2
- 62-73-7
- 62610-77-9
- 786-19-6
- 86-50-0
- 944-22-9
- 950-37-8
- 97-17-6
Formula:C12H16N3O3PS2Color and Shape:MixtureMolecular weight:345.38GB 23200.113-2018 Group A 117 Pesticides 10 µg/mL in Ethyl acetate
CAS:Controlled Product- 10265-92-6
- 107534-96-3
- 110235-47-7
- 1134-23-2
- 114-26-1
- 115-32-2
- 115-90-2
- 116-29-0
- 118-74-1
- 119168-77-3
- 1194-65-6
- 124495-18-7
- 13071-79-9
- 13194-48-4
- 133855-98-8
- 13457-18-6
- 13593-03-8
- 139-40-2
- 141517-21-7
- 143390-89-0
- 15972-60-8
- 161326-34-7
- 17109-49-8
- 180409-60-3
- 18181-80-1
- 188425-85-6
- 18854-01-8
- 19666-30-9
- 2104-64-5
- 2104-96-3
- 21087-64-9
- 2212-67-1
- 2303-17-5
- 23103-98-2
- 24017-47-8
- 24151-93-7
- 25311-71-1
- 2540-82-1
- 2588-03-6
- 2588-04-7
- 26087-47-8
- 2631-40-5
- 26399-36-0
- 28249-77-6
- 29232-93-7
- 298-02-2
- 30560-19-1
- 311-45-5
- 31218-83-4
- 314-40-9
- 319-84-6
- 319-85-7
- 319-86-8
- 33213-65-9
- 33399-00-7
- 3424-82-6
- 34256-82-1
- 35554-44-0
- 3689-24-5
- 3761-41-9
- 3761-42-0
- 41483-43-6
- 42874-03-3
- 43121-43-3
- 50-29-3
- 50471-44-8
- 51-03-6
- 51218-45-2
- 51218-49-6
- 51235-04-2
- 5131-24-8
- 51630-58-1
- 51877-74-8
- 52315-07-8
- 52918-63-5
- 53-19-0
- 55-38-9
- 55219-65-3
- 55283-68-6
- 56-38-2
- 56070-16-7
- 57837-19-1
- 58-89-9
- 584-79-2
- 60-51-5
- 60168-88-9
- 60238-56-4
- 6190-65-4
- 62-73-7
- 62610-77-9
- 62850-32-2
- 64249-01-0
- 66246-88-6
- 66332-96-5
- 6923-22-4
- 72-20-8
- 72-54-8
- 72-55-9
- 74070-46-5
- 7696-12-0
- 7786-34-7
- 78-34-2
- 78-48-8
- 786-19-6
- 789-02-6
- 82657-04-3
- 944-22-9
- 950-10-7
- 950-35-6
- 95737-68-1
- 959-98-8
- 96182-53-5
- 96489-71-3
- 97-17-6
- 98886-44-3
- 99-30-9
- 99675-03-3
Color and Shape:MixtureGC PestiMix 5 10 µg/mL in Isooctane:Toluene (50:50)
CAS:Controlled Product- 1022-22-6
- 103-17-3
- 10453-86-8
- 107-49-3
- 111872-58-3
- 113-48-4
- 117-81-7
- 118134-30-8
- 118712-89-3
- 121-73-3
- 124495-18-7
- 126833-17-8
- 127-90-2
- 13104-21-7
- 131341-86-1
- 135158-54-2
- 13684-56-5
- 137641-05-5
- 143-50-0
- 1469-48-3
- 147411-70-9
- 148477-71-8
- 153719-23-4
- 156052-68-5
- 158062-67-0
- 161326-34-7
- 1634-78-2
- 173584-44-6
- 1770-80-5
- 18181-70-9
- 1825-19-0
- 20925-85-3
- 2104-64-5
- 2132-70-9
- 21609-90-5
- 2164-08-1
- 2164-17-2
- 2179-25-1
- 22212-55-1
- 2275-18-5
- 2312-35-8
- 2463-84-5
- 2595-54-2
- 26002-80-2
- 28159-98-0
- 29091-21-2
- 30667-99-3
- 31218-83-4
- 31972-44-8
- 330-55-2
- 33399-00-7
- 3369-52-6
- 33820-53-0
- 34014-18-1
- 3481-20-7
- 36734-19-7
- 36756-79-3
- 3983-45-7
- 41483-43-6
- 4726-14-1
- 5259-88-1
- 527-20-8
- 533-74-4
- 55-38-9
- 55954-23-9
- 5836-10-2
- 584-79-2
- 60168-88-9
- 60207-31-0
- 60397-77-5
- 6108-10-7
- 6164-98-3
- 61949-76-6
- 61949-77-7
- 65731-84-2
- 66441-23-4
- 68694-11-1
- 69806-50-4
- 76674-21-0
- 76703-62-3
- 76738-62-0
- 7696-12-0
- 80-33-1
- 80-38-6
- 81-20-9
- 84-65-1
- 86763-47-5
- 90-98-2
- 91-53-2
- 93-71-0
- 99607-70-2
Color and Shape:MixturePropetamphos (>85%)
CAS:Stability Light Sensitive, Moisture Sensitive
Applications Propetamphos is an organophosphate, household and public health insecticide designed to control cockroaches, flies, ants, ticks, moths, fleas and mosquitoes on contact. Propetamphos works internally in the insect where it promotes stomach activity.
Not a dangerous good if item is equal to or less than 1g/ml and there is less than 100g/ml in the package
References Fillion, J., et al.; J. AOAC International, 83, 698 (2000); Stajnbaher, D., et al.: J. Chromat. A, 1015,185 (2003); Judson, R., et al.: Environ. Health Perspectives, 118, 485 (2010)Formula:C10H20NO4PSPurity:>85%Color and Shape:NeatMolecular weight:281.31





