
Hydrocarbon Building Blocks
Hydrocarbon building blocks are organic compounds consisting solely of carbon and hydrogen atoms. These fundamental structures serve as the basis for synthesizing a wide variety of complex molecules. Hydrocarbon building blocks are used in the development of pharmaceuticals, polymers, and other organic compounds. At CymitQuimica, we offer a broad range of high-quality hydrocarbon building blocks to facilitate your synthetic and research projects.
Subcategories of "Hydrocarbon Building Blocks"
Found 5575 products of "Hydrocarbon Building Blocks"
Sort by
Purity (%)
0
100
|
0
|
50
|
90
|
95
|
100
5-(3-Hydroxy-3-methyl-but-1-ynyl)-thiophene-2-carboxylic acid
CAS:Formula:C10H10O3SPurity:95+%Molecular weight:210.251-(3-bromoprop-1-yn-1-yl)-4-methoxybenzene
CAS:Formula:C10H9BrOPurity:95.0%Color and Shape:SolidMolecular weight:225.085TERT-BUTYL (4-(PROP-2-YN-1-YLOXY)PHENYL)CARBAMATE
CAS:Formula:C14H17NO3Purity:95.0%Molecular weight:247.294tert-Butyl 2-ethynylbenzylcarbamate
CAS:Formula:C14H17NO2Purity:95%Color and Shape:SolidMolecular weight:231.2953-Phenylethynyl-benzoic acid
CAS:Formula:C15H10O2Purity:95%Color and Shape:SolidMolecular weight:222.243Oct-1-yn-3-ol
CAS:Formula:C8H14OPurity:98%Color and Shape:Liquid, No data available.Molecular weight:126.1992-(5-METHYL-1,2-OXAZOL-3-YL)BUT-3-YN-2-OL
CAS:Formula:C8H9NO2Purity:95.0%Color and Shape:LiquidMolecular weight:151.165[(R)-(+)-2,2’-bis(diphenylphosphino)-1,1’-binaphthyl][(1S,2S)-(-)-1,2-diphenylethylenediamine]RuCl2
CAS:Purity:98%Molecular weight:1006.952-Amino-5-methylphenylacetylene
CAS:Formula:C9H9NPurity:99%(GC-MS);RGColor and Shape:SolidMolecular weight:131.178tert-Butyl 4-((trimethylsilyl)ethynyl)benzoate
CAS:Formula:C16H22O2SiPurity:95.0%Molecular weight:274.435Ref: 10-F718935
1g832.00€5g3,128.00€10g5,049.00€2.5g1,749.00€50mg157.00€100mg230.00€250mg359.00€500mg573.00€4-(but-3-yn-1-yloxy)-2-hydrazinyl-6-methylpyrimidine
CAS:Formula:C9H12N4OPurity:95.0%Molecular weight:192.2223-Ethynylpiperidine hydrochloride
CAS:Formula:C7H12ClNPurity:97%Color and Shape:SolidMolecular weight:145.631-Butyl-4-eth-1-ynylbenzene
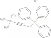
CAS:Formula:C12H14Purity:95%Color and Shape:LiquidMolecular weight:158.2443-Trimethylsilyl-2-propynl)triphenylphosphoniumBromide
CAS:<p>S20260 - 3-Trimethylsilyl-2-propynl)triphenylphosphoniumBromide</p>Formula:C24H26BrPSiPurity:98.0%Molecular weight:453.4355-Ethynyl-3-methyl-1H-indazole
CAS:Formula:C10H8N2Purity:97%Color and Shape:Solid, PowderMolecular weight:156.1883-(thiophen-2-yl)prop-2-ynoic acid
CAS:Formula:C7H4O2SPurity:95.0%Color and Shape:Liquid, No data available.Molecular weight:152.17(4S)-2-(((R)-2-Amino-2-(4-hydroxyphenyl)acetamido)methyl)-5,5-dimethylthiazolidine-4-carboxylic acid (Amoxicillin Impurity)
CAS:Purity:98%Molecular weight:339.414-Cyano-2-(trifluoromethoxy)acetanilide
CAS:Formula:C10H7F3N2O2Purity:97.0%Color and Shape:SolidMolecular weight:244.1734-(Dimethylamino)-1-(prop-2-yn-1-yl)pyridin-1-ium perchlorate
CAS:Formula:C10H13ClN2O4Purity:97.0%Molecular weight:260.674′-Ethoxyphenyl acetylene
CAS:Formula:C10H10OPurity:98%Color and Shape:Liquid, OilMolecular weight:146.189(αS,α’S)-α,α’-Bis(tert-butyl)-[2,2′-bipyridine]-6,6′-dimethanol
CAS:Purity:95%Molecular weight:328.456[S(R)]-N-[(S)-(1-naphthalenyl)[5-(diphenylphosphino)-9,9-dimethyl-9H-xanthen-4-yl]methyl]-2-methyl-2-propanesulfinamide
CAS:Purity:95%Molecular weight:653.823,5-Difluorophenylacetylene
CAS:Formula:C8H4F2Purity:97%Color and Shape:LiquidMolecular weight:138.1175-BROMO-2-(2-(TRIMETHYLSILYL)ETHYNYL)PYRIDINE
CAS:Formula:C10H12BrNSiPurity:95.0%Molecular weight:254.202Ref: 10-F656889
1g723.00€5g2,031.00€10g4,062.00€2.5g1,350.00€50mg199.00€100mg283.00€250mg390.00€500mg596.00€4,4′-(Buta-1,3-diyne-1,4-diyl)dibenzaldehyde
CAS:Purity:96%Color and Shape:SolidMolecular weight:258.2760011-BOC-3-ETHYNYL-3-METHYLAZETIDINE
CAS:Formula:C11H17NO2Purity:96%Color and Shape:No data available.Molecular weight:195.2624-CHLORO-2-((TRIMETHYLSILYL)ETHYNYL)ANILINE
CAS:Formula:C11H14ClNSiPurity:95.0%Molecular weight:223.787-Octyn-1-ol
CAS:Controlled Product<p>Applications 7-Octyn-1-ol is used in the synthesis of the sex pheromone of the citrus leafminer, Phyllocnistis citrella.<br>References Ando, T., et al.: Agric. Biol. Chem., 49, 3633 (1985), Beevor, P., et al.: J. Chem. Ecol., 12, 1 (1986), Kerr, D., et al.: J. Med. Chem., 33, 1958 (1990), McElfresh, J., et al.: Ecology, 82, 3505 (2002),<br></p>Formula:C8H14OColor and Shape:NeatMolecular weight:126.20Vinylcyclopropane
CAS:Controlled Product<p>Stability Highly Volatile<br>Applications Vinylcyclopropane is a useful synthetic intermediate. Vinylcyclopropane and its derivatives can participate in a variety of transition-metal-catalyzed multicomponent cycloadditions to produce five- to eight-membered carbocycles.<br>References Jiao, L., et al.: J. Org. Chem., 78, 6842 (2013); Pasto, D., et al.: Tetrahedron Lett., 9, 713 (1979); Larock, R., et al.: Tetrahedron, 52, 2743 (1996)<br></p>Formula:C5H8Color and Shape:NeatMolecular weight:68.12Ethanesulfonic acid, 70% aqueous solution
CAS:<p>Ethanesulfonic acid solution - 70 wt. % in H2O is a monosodium salt that is used as an enzymatic reagent for the determination of bacteria and fungi, as well as for the detection of infectious diseases. It has been shown to be effective against microdialysis probes with a high degree of sensitivity and specificity. Ethanesulfonic acid solution - 70 wt. % in H2O has been shown to have significant physiological effects on various regions of the body, including bowel disease, polymerase chain reaction (PCR), glycol ethers, antimicrobial agents, and radiation. Ethanesulfonic acid solution - 70 wt. % in H2O also inhibits the growth of bacteria by acting as a coumarin derivative that reacts with nucleotides to form dinucleotide phosphate, which blocks DNA synthesis and transcription from RNA templates.</p>Formula:C2H6O3SPurity:(Titration) 68.0 To 72.0%Color and Shape:Clear LiquidMolecular weight:110.13 g/moltert-Butyl 3-bromopropionate
CAS:<p>Tert-butyl 3-bromopropionate is a linker for the synthesis of pleuromutilin derivatives. It has been used as a model substrate for studying the effects of hypertrophy on cardiac muscle. Tert-butyl 3-bromopropionate has also been shown to inhibit the production of proinflammatory cytokines in response to bacterial infection, and can be used as an antibacterial agent. Tert-butyl 3-bromopropionate binds to RNA and inhibits protein synthesis, which leads to cell death by preventing the production of proteins vital for cell division. Tert-butyl 3-bromopropionate is also a potent inhibitor of chloride channels that are found in nerve cells and prevents the flow of chloride ions through these channels, leading to paralysis. This drug also inhibits hydrogen fluoride excretion in rats, which may be due to its ability to bind with chloride ions in the kidney tubules, preventing their</p>Formula:C7H13BrO2Purity:Min. 95%Color and Shape:Colorless Clear LiquidMolecular weight:209.08 g/mol2-Bromo-2-nitro-1,3-propanediol
CAS:<p>2-Bromo-2-nitro-1,3-propanediol (BNP) is a preservative that is used in wastewater treatment. It is an antimicrobial agent that has synergistic effects with other antimicrobial agents such as triclosan, benzalkonium chloride and sesquiterpene lactones. 2-Bromo-2-nitro-1,3-propanediol has been shown to have a phase transition temperature of -28°C, which can be used to identify it in the laboratory. This compound also has a pK value of 4.4, which indicates that it is weakly acidic. 2-Bromo-2-nitro-1,3-propanediol can be used as an analytical method for the determination of p - hydroxybenzoic acid in aqueous samples by electrochemical impedance spectroscopy (EIS).</p>Formula:C3H6BrNO4Purity:Min. 95%Color and Shape:PowderMolecular weight:199.99 g/molHydroxypropanedial
CAS:<p>Hydroxypropanedial is a hydroxy group-containing compound that is not found in natural sources. It has antioxidative properties, which may be due to its ability to scavenge reactive oxygen species or donate hydrogen atoms to free radicals. The compound also has cyclohexane ring and carbonyl groups, which are responsible for the hydroxyl and carboxylic acid functionalities respectively. This substance is used as a chromatographic reagent to measure second-order rate constants of reactions involving hydroxyl radicals. Hydroxypropanedial absorbs light strongly at wavelengths shorter than 300 nm, which is the most effective wavelength range for uv absorption in biological systems.</p>Formula:C3H4O3Purity:Min. 95%Color and Shape:Off-White To Light (Or Pale) Brown SolidMolecular weight:88.06 g/molTrifluoromethanesulfonic acid
CAS:<p>Trifluoromethanesulfonic acid is a strong oxidizing agent that is used as a catalyst for the synthesis of organic compounds. It is an excellent solvent for many types of reactions and has been shown to be an effective catalyst for the synthesis of triflate, which can be used in cationic polymerization. Trifluoromethanesulfonic acid also has potential applications in carbohydrate chemistry and asymmetric synthesis, due to its ability to reduce carboxylic acids and nitriles. Trifluoromethanesulfonic acid can be synthesized by reacting potassium hexafluorophosphate with amines or nitrogen atoms under activated conditions.</p>Formula:CHF3O3SPurity:Min. 95%Color and Shape:Clear LiquidMolecular weight:150.08 g/molTriisopropylsilyl trifluoromethanesulphonate
CAS:<p>Triisopropylsilyl trifluoromethanesulphonate (TIPS) is a naturally occurring compound that inhibits the enzyme dipeptidyl peptidase IV (DPP-IV). It has been shown to be active against alopecia areata in a mouse model and may have therapeutic potential for other autoimmune diseases. TIPS also has an inhibitory effect on sodium-dependent glucose transport, which may be useful in the treatment of hypertension. The reactive group of TIPS is hydroxyl, which can form a covalent bond with serine proteases and inhibit their activity. This reaction mechanism provides a new way to treat disorders such as metabolic diseases and infectious diseases. TIPS also has an inhibitory effect on ns3 protease, which is involved in the replication of human immunodeficiency virus type 1 (HIV-1) and other retroviruses.</p>Formula:C10H21F3O3SSiPurity:Min. 95%Color and Shape:Colourless Clear LiquidMolecular weight:306.42 g/mol2-(2-Phenoxyethoxy)ethanol
CAS:<p>2-(2-Phenoxyethoxy)ethanol is a fine chemical and a useful building block. It is an important intermediate in the synthesis of other chemicals, such as pharmaceuticals, herbicides, and pesticides. 2-(2-Phenoxyethoxy)ethanol can be used as a research chemical or reagent. It can also be used to prepare complex compounds and versatile scaffolds. CAS No. 104-68-7</p>Formula:C10H14O3Purity:Min. 95.0 Area-%Molecular weight:182.24 g/molDocosane
CAS:<p>Please enquire for more information about Docosane including the price, delivery time and more detailed product information at the technical inquiry form on this page</p>Formula:C22H46Purity:Min. 95%Molecular weight:310.6 g/molChlorobutanol
CAS:<p>Chlorobutanol is an antimicrobial agent that is used in the preservation of pharmaceuticals, cosmetics, and other products. It has been shown to be effective against a variety of bacterial and fungal organisms. Chlorobutanol is also used as a preservative in topical ophthalmic preparations. In addition, chlorobutanol has been found to be a potent inhibitor of histone deacetylase (HDAC) activity, which may be due to its ability to bind to the active site of HDACs. This binding prevents acetylation of lysine residues on histones, thereby preventing transcriptional activation.</p>Formula:C4H7OCl3Purity:Min. 95%Color and Shape:White To Off-White SolidMolecular weight:177.46 g/molMethanesulfonic anhydride
CAS:<p>Methanesulfonic anhydride is a white crystalline solid that is soluble in water and ethanol. It has been shown to be a potent inhibitor of acetaminophen metabolism and the formation of reactive metabolites. Methanesulfonic anhydride inhibits the metabolic activity of cytochrome P450 enzymes, which are responsible for the oxidation of acetaminophen. This inhibition leads to lower levels of toxic metabolites and less tissue damage. Methanesulfonic anhydride also modulates other assays, such as those for nitric oxide synthase and prostaglandin E2 receptors. Methanesulfonic anhydride is used as a catalyst in chemical reactions, including those that produce hydrogen sulfide gas for use in gold mining. It has also been used to study the localization of various proteins by using probes labeled with methanesulfonic anhydride. Methanesulfonic anhydride may cause hypertension due to its ability to inhibit the degradation of norepinephrine, leading to increased</p>Formula:C2H6O5S2Purity:Min. 95%Color and Shape:PowderMolecular weight:174.2 g/mol3-Methyl-1-butanol
CAS:<p>Volatile compound with banana scent</p>Formula:C5H12OPurity:Min. 95%Color and Shape:Clear LiquidMolecular weight:88.15 g/mol1-Bromo-3-chloropropane
CAS:<p>1-Bromo-3-chloropropane is a chemical that has been used in the synthesis of various organic compounds. It has been shown to exhibit neurotoxicity, as well as to be carcinogenic and mutagenic. The compound can also affect the central nervous system by decreasing locomotor activity. It has also been shown to cause respiratory problems in rats, and may be toxic if inhaled or ingested. 1-Bromo-3-chloropropane exhibits cytotoxic effects on human cells grown in vitro, which may be due to its ability to bind nucleophilic groups on proteins. This reaction is thought to yield an acylated product with a chloride ion at one terminus and a methyl anthranilate at the other terminus.</p>Formula:C3H6BrClPurity:Min. 98 Area-%Color and Shape:Colorless Clear LiquidMolecular weight:157.44 g/molN-Methylbutane-1,4-diamine, dihydrochloride
CAS:<p>Putrescine is a metabolite that is produced by the breakdown of amino acids and proteins. It can be synthesized from ornithine, citrulline, and arginine. Putrescine is a precursor to polyamines such as spermidine and spermine, which are important for cell growth. Mouse studies have shown that putrescine is a conjugate base that may act as a neurotransmitter or neuromodulator in the central nervous system.</p>Formula:C5H16Cl2N2Purity:Min. 95%Color and Shape:PowderMolecular weight:175.1 g/molBis[(pinacolato)boryl]methane
CAS:<p>Bis[(pinacolato)boryl]methane is a bifunctional organoboron reagent with an allyl group on one end and a cyclopropane on the other end. It is useful in organic synthesis as a nucleophile for allylation, as well as for the synthesis of unsymmetrical cyclopropanes. This compound can be used to catalyze asymmetric methods, such as the synthesis of alicyclic compounds. Bis[(pinacolato)boryl]methane can also be used to synthesize biomolecules.</p>Formula:C13H26B2O4Purity:Min. 95%Color and Shape:White To Off-White SolidMolecular weight:267.97 g/mol2,2,4,4,6,8,8-Heptamethylnonane
CAS:<p>2,2,4,4,6,8,8-Heptamethylnonane is a hydrogenated form of 2-methylnonane. It is used as a model system for fatty acids in order to study the kinetics of air entrainment and constant pressure distillation. The chemical stability of 2,2,4,4,6,8,8-heptamethylnonane has been shown to be excellent when heated at 200°C under nitrogen. This compound can also be used as an analytical method for ethylene diamine in pharmaceutical preparations of sodium salts and boron nitride. The use of 2-methylnonane as a starting material may lead to the production of chinese herb by reacting with acetic acid or formic acid.</p>Formula:C16H34Purity:Min. 95%Color and Shape:PowderMolecular weight:226.44 g/mol1,2-Ethanedithiol
CAS:<p>1,2-Ethanedithiol is a molecule that consists of a sulfur atom and two ethyl groups. It can form stable complexes with hydrogen fluoride and trifluoroacetic acid as well as hydrochloric acid. 1,2-Ethanedithiol is reactive with nucleophiles such as amines, thiols, and alcohols. The molecule has an electrochemical impedance spectroscopy (EIS) model system that has shown to react with the electron flow from the electrode to the solution of a compound. The EIS model system also showed that a conformational change in the molecule could result in light emission.</p>Formula:C2H6S2Purity:Min. 95%Color and Shape:Colorless Clear LiquidMolecular weight:94.2 g/molN-Methyl-1,1,1-trifluoro-2-propylamine hydrochloride
CAS:<p>Please enquire for more information about N-Methyl-1,1,1-trifluoro-2-propylamine hydrochloride including the price, delivery time and more detailed product information at the technical inquiry form on this page</p>Formula:C4H9ClF3NPurity:Min. 95%Molecular weight:163.57 g/mol2-(2-Phenoxyethoxy)ethanol
CAS:<p>2-(2-Phenoxyethoxy)ethanol (BPE) is a polycarboxylic acid that is used as an additive in the production of coatings, adhesives and plastics. It is a colorless liquid with a mild odor. BPE has synergic effect with cationic polymers and surfactants, which results in high resistance to water, oil and gas. This product can be used as an additive for cationic polymerization, which will increase the hydrophobicity of the material. BPE also has a high degree of resistance to biological treatment (e.g., potassium dichromate).</p>Formula:C10H14O3Purity:Min. 95%Color and Shape:Clear LiquidMolecular weight:182.22 g/mol1-Docosanol
CAS:<p>Docosanol is a drug that is used for the treatment of various skin disorders, including psoriasis, eczema, and ichthyosis. It is also used as an adjuvant in the treatment of chronic obstructive pulmonary disease. Docosanol is a lipid molecule that has been shown to have antiviral, antibacterial, antifungal, and antiprotozoal properties. It can be used as a carrier for topical medications and has been shown to have anti-inflammatory effects. The mechanism of action for docosanol is not well understood but may involve its ability to bind to Toll-like receptors on macrophages and neutrophils in the skin. This binding inhibits the synthesis of inflammatory mediators such as prostaglandins and leukotrienes. Docosanol also has physiological effects on water balance by acting as a surfactant in the lungs and preventing water vapor from escaping through respiratory membranes in the nose or mouth. Docosanol</p>Formula:C22H46OPurity:Min. 95%Color and Shape:PowderMolecular weight:326.6 g/mol1-Amino-1-cyclopentanecarboxamide
CAS:<p>1-Amino-1-cyclopentanecarboxamide is a bicyclic heterocycle that has been shown to have therapeutic effects in the treatment of autoimmune diseases and cancer. It is structurally related to chemokines, which are cytokines that induce inflammatory responses by activating the immune system. 1-Amino-1-cyclopentanecarboxamide binds to specific receptors on white blood cells, resulting in an increase in the production of chemokines and other proinflammatory molecules. This leads to an increase in inflammation, as well as an increase in blood pressure. The chemical also has anti-inflammatory properties and can be used for the treatment of inflammatory diseases such as arthritis. 1-Amino-1-cyclopentanecarboxamide has been shown to inhibit cancer cell growth by inducing apoptosis (programmed cell death).</p>Formula:C6H12N2OPurity:Min. 95%Color and Shape:PowderMolecular weight:128.17 g/mol2-Nitropropane
CAS:<p>2-Nitropropane is a pharmacological agent that is used for the treatment of bacterial infections. It is a nitroalkane, which are compounds with nitro groups in their molecular structure. 2-Nitropropane has been shown to inhibit DNA synthesis by binding to nuclear dna and inhibiting enzyme activities in vitro. Toxicological studies on 2-nitropropane have been conducted and show that it does not cause any adverse effects at low doses. The mechanism of action for 2-nitropropane has been investigated and found to inhibit the enzyme activity of nitrate reductase, which leads to an accumulation of the toxic nitrite ion (NO2-) in cells.</p>Formula:C3H7NO2Purity:Min. 95%Color and Shape:Colorless PowderMolecular weight:89.09 g/mol1,4,7-Triazacyclononane trihydrochloride
CAS:<p>1,4,7-Triazacyclononane trihydrochloride is a coordination compound that belongs to the class of ligands. It is a chelate ring with six phosphate groups and six nitrogen atoms. It has been shown to behave as an irreversible oxidation catalyst for carboxylate and amine molecules. This molecule also has redox potentials in the range of -0.35 to -0.5 volts and can reversibly oxidize inorganic acids with strong electron-donating properties such as phosphoric acid, nitric acid, and sulfuric acid. 1,4,7-Triazacyclononane trihydrochloride has been shown to be effective as a hydrogen bonding agent in x-ray crystal structures.</p>Formula:C6H15N3·3HClPurity:Min. 95%Color and Shape:Off-White PowderMolecular weight:238.59 g/moltert-Butylisocyanate
CAS:<p>Please enquire for more information about tert-Butylisocyanate including the price, delivery time and more detailed product information at the technical inquiry form on this page</p>Formula:C5H9NOPurity:Min. 98.5 Area-%Molecular weight:99.13 g/molHexabromoethane
CAS:<p>Hexabromoethane is a metal chelate that has been shown to activate the polymerization of cyclohexane rings. It is often used as a light-sensitive initiator for the production of polymers, such as polyethylene. Hexabromoethane can also be found in some halogenated compounds and hydroxyl groups. The molecule is made up of six bromine atoms, an ethane chain, and one hydrogen atom. Hexabromoethane has significant interactions with other functional groups, including hydroxyls and monomers.</p>Formula:C2Br6Purity:Min. 95%Color and Shape:PowderMolecular weight:503.45 g/molPerfluoroheptanoyl chloride
CAS:<p>Perfluoroheptanoyl chloride is a fluorinated hydrocarbon that is used as a surfactant in detergent compositions. It has been shown to be biostable, which means it does not react with other molecules in the environment. This compound also has low environmental toxicity because of its resistance to peroxidation and its ability to form stable complexes with metals. Perfluoroheptanoyl chloride has been shown to cause allergic reactions in some people and may cause adverse effects on animal health. Research on the effects of perfluoroheptanoyl chloride on Xenopus oocytes has demonstrated that this compound can affect gene expression and result in cell death.</p>Formula:C7CIF13OPurity:Min. 95%Color and Shape:Colourless LiquidMolecular weight:382.51 g/molParaffin oil
CAS:<p>Paraffin oil is a mixture of hydrocarbons that is liquid at room temperature and pressure. It has been shown to inhibit the growth of human osteosarcoma cells in vitro, with a potency corresponding to that of delphinidin, a natural compound found in plants. Paraffin oil also has an inhibitory effect on the mitochondrial membrane potential and on the release of pro-inflammatory cytokines such as TNF-α and IL-6 by HL-60 cells. This inhibition may be due to the ability of paraffin oil to bind to Toll-like receptors (TLRs). The molecular mechanism underlying this inhibition remains unknown. Paraffin oil can be used as a model system for epigenetic modulators because it induces histone acetylation, which alters gene expression.</p>Purity:Min. 95%Dibromoethane-d4
CAS:Controlled Product<p>Please enquire for more information about Dibromoethane-d4 including the price, delivery time and more detailed product information at the technical inquiry form on this page</p>Formula:C2H4Br2Purity:Min. 95%Molecular weight:191.89 g/mol1,3-Propanediol
CAS:<p>aliphatic diol. It has been shown to have an inhibitory effect on bacterial growth</p>Formula:C3H8O2Purity:Min. 95%Color and Shape:Colorless Clear LiquidMolecular weight:76.09 g/molSodium ethanethiolate
CAS:<p>Sodium ethanethiolate is a detergent composition that is used in the manufacturing of other detergents. It has a receptor binding mechanism and binds to the fatty acid component of the lipid bilayer. The hydroxyl group on the ethanethiolate molecule reacts with the hydrophobic region of the lipid bilayer, leading to disruption of membrane function. Sodium-dependent glucose transport is inhibited by sodium ethanethiolate, which also has metabolic disorders as a side effect. It is a bicyclic heterocycle and can be synthesized from p-hydroxybenzoic acid and trifluoroacetic acid. The chemical stability of this compound is high, making it useful for industrial applications.</p>Formula:C2H5NaSPurity:(¹H-Nmr) Min. 90 Area-%Color and Shape:White PowderMolecular weight:84.12 g/molR-(-)-3-Chloro-1,2-propanediol
CAS:<p>R-(-)-3-Chloro-1,2-propanediol is a chiral epoxide that is used in the synthesis of other chemicals. It has been shown to be active against bacterial strains such as corynebacterium and coryneform bacteria. This chemical can be synthesized from hydrochloric acid and chlorinated propane with an asymmetric synthesis. The R-(-)-3-Chloro-1,2-propanediol can also be synthesized through electrochemical methods using chloride ion as the reducing agent. This compound is soluble in water and shows kinetic activity with carbon sources when used as an antibiotic.</p>Formula:C3H7ClO2Purity:Min. 95%Color and Shape:Colorless Clear LiquidMolecular weight:110.54 g/mol9-Anthracenemethanol
CAS:<p>9-Anthracenemethanol is a carcinogenic, mutagenic, and teratogenic compound. It is metabolized by a number of enzymatic reactions, including oxidation by cytochrome P450 enzymes and reduction by glutathione reductase. The compound has been shown to be activated in acid conditions, with an activation energy of 10 kcal/mol. It also forms an acid when heated, which can cause damage to cells. 9-Anthracenemethanol has been shown to have photochemical properties that may be used for the production of dyes or pigments.</p>Formula:C15H12OPurity:Min. 95%Color and Shape:Yellow PowderMolecular weight:208.26 g/mol2,2-Paracyclophane
CAS:<p>2,2-Paracyclophane is a high-sensitivity c-reactive protein (hsCRP) that has been isolated from the fungus Cryptococcus neoformans. This compound has shown to have anti-cancer properties in animal studies. 2,2-Paracyclophane binds to fatty acids and is soluble in water, which may be due to its hydrogen bonding with the hydroxyl group at C1. The crystal structure of this compound reveals that it has a cyclohexane ring and two fatty acids. The thermal expansion coefficient of this molecule is also high, which suggests that it may be suitable for use as a solid lubricant.</p>Formula:C16H16Purity:Min. 98.5 Area-%Color and Shape:White PowderMolecular weight:208.3 g/molDiiodomethane
CAS:<p>Diiodomethane is a chemical compound with the molecular formula CHI. It is a colorless gas that can be obtained by reacting methyl ethyl and hydroxyl group in the presence of an oxidant such as boron nitride. Diiodomethane has been used as a substrate film for n-dimethyl formamide and reaction solution, which have been studied using spectroscopic data. The product of this reaction is water vapor that leaves the system due to its low boiling point. Reaction mechanism for this process is thought to be due to the kinetic energy of the particles that collide and produce diiodomethane molecules.</p>Formula:CH2I2Purity:Min. 95%Color and Shape:Yellow Clear LiquidMolecular weight:267.84 g/mol1H-Indol-2-ylmethanol
CAS:<p>1H-Indol-2-ylmethanol is a model compound for the synthesis of bioactive molecules. It is used in biological studies as an inhibitor of chronic lymphocytic leukemia, heart disease, and inflammatory pain. The nitro group on 1H-Indol-2-ylmethanol has been shown to activate various enzymes involved in the inflammatory response. The hydroxy group on 1H-Indol-2-ylmethanol has been shown to inhibit cyclooxygenase (COX) enzymes, which are responsible for the production of prostaglandins that cause inflammation.</p>Formula:C9H9NOPurity:Min. 95%Color and Shape:PowderMolecular weight:147.17 g/molN,N-bis(Hydroxyethyl)-2-aminoethanesulfonic acid sodium salt
CAS:<p>N,N-bis(Hydroxyethyl)-2-aminoethanesulfonic acid sodium salt is a cross-linking agent for polymers. It has been shown to react with dimethylol propionic acid to form a hydroxyl group and a carboxylate. This reaction yields the product of bis(hydroxyethyl) aminosulfonic acid sodium salt. N,N-bis(Hydroxyethyl)-2-aminoethanesulfonic acid sodium salt can be used as a cross-linking agent in the manufacture of biodegradable polymers that are environmentally friendly and biocompatible. The viscosity of the reaction solution increases with an increase in temperature, which is due to the hydrophobic interaction between molecules.</p>Formula:C6H14NO5SNaPurity:Min. 95%Color and Shape:PowderMolecular weight:235.23 g/mol6-Chlorohexanol
CAS:<p>6-Chlorohexanol is a fatty alcohol with a hydroxyl group. It is soluble in water and has a phase transition temperature of -114°C. 6-Chlorohexanol can be synthesized by reacting 2,6-dichlorophenol with hydrochloric acid and sodium hydroxide in the presence of azobenzene. The reaction solution is then heated to about 300°C for 3 hours. 6-Chlorohexanol is used as a model system for studying the photochemical reactions of fatty acids. Hydroxy groups are susceptible to light exposure, which leads to the formation of carbonyl compounds such as malonic acid and chloride monomers.</p>Formula:C6H13ClOPurity:Min. 95%Color and Shape:PowderMolecular weight:136.62 g/mol1H,1H,7H-Dodecafluoroheptanol
CAS:<p>1H,1H,7H-Dodecafluoroheptanol is a perfluorinated compound. It has been shown to be an efficient scavenger of reactive oxygen species (ROS) and to have a protective effect on collagen. The reaction mechanism of 1H,1H,7H-dodecafluoroheptanol is not fully understood. However, it has been shown that the chloride ion plays a key role in the formation of this product from 1H,1H,7F-dodecafluoroheptane. The reaction vessel used in this synthesis is critical because it must be anhydrous to prevent the formation of 1HF3OCl. Magnetic resonance spectroscopy has been used to study the chemical structures of this compound.</p>Formula:C7H4F12OPurity:Min. 95%Color and Shape:Colorless PowderMolecular weight:332.09 g/molChlorbutanol hemihydrate
CAS:<p>Chlorbutanol hemihydrate is an antimicrobial agent that is used as an intra-articular injection, and has been shown to be effective against choline chloride. Chlorbutanol hemihydrate binds to the active substances and reacts with chlorine atom to form an active substance. The reaction rate of chlorbutanol hemihydrate with chlorine atoms is slow, so it can be administered intravenously or intramuscularly. Functional assays have shown that chlorbutanol hemihydrate can inhibit the growth of cancer cells in a dose-dependent manner. It also inhibits the production of oxytocin receptor in mice tissues. Chlorbutanol hemihydrate has been shown to be safe for humans when given at doses up to 10 times higher than the recommended dosage, but may cause allergic reactions in some people.</p>Formula:C4H7Cl3O•(H2O)0Purity:Min. 95%Color and Shape:White PowderMolecular weight:186.46 g/molChloroiodomethane, stabilised with copper
CAS:<p>Chloroiodomethane is a chemical that is used as an intermediate in the production of other chemicals. It is a colourless liquid with a strong odour. 3-Bromopropylamine hydrobromide reacts with chloroiodomethane to form 3-bromopropyl bromide, which can be reacted with hydrogen chloride to form the corresponding acid chloride. This reaction product can then be reacted with β-amino acids to form amides or esters. The reaction mechanism of this process involves nucleophilic substitution of chloroiodomethane by the amino group of the β-amino acid to produce an intermediate α,β-unsaturated carbonyl chloride, which undergoes elimination to give the final product. Chloroiodomethane also reacts rapidly with fatty acids and hydroxyl groups in biological systems, leading to inflammatory diseases such as HIV infection.</p>Formula:CH2ClIPurity:Min. 95%Color and Shape:Colorless Clear LiquidMolecular weight:176.38 g/mol2-Benzyloxyethanol
CAS:<p>Please enquire for more information about 2-Benzyloxyethanol including the price, delivery time and more detailed product information at the technical inquiry form on this page</p>Formula:C9H12O2Purity:Min. 95%Color and Shape:Colorless Clear LiquidMolecular weight:152.19 g/mol1,3-Bis(diphenylphosphino)propane
CAS:<p>1,3-Bis(diphenylphosphino)propane is a chelate ligand that forms complexes with a wide range of transition metal ions. It has been shown to be an effective catalyst for the conversion of aryl halides to acid derivatives. The compound has been found to have an excellent stability in aqueous solutions and does not hydrolyze readily in human serum or water. 1,3-Bis(diphenylphosphino)propane is also used as an additive in many industrial processes, such as the production of nylon and polyester fibers.</p>Formula:C27H26P2Purity:Min 96.0%Color and Shape:White Off-White PowderMolecular weight:412.44 g/mol1,2-Bis(chlorodimethylsilyl)ethane
CAS:<p>1,2-Bis(chlorodimethylsilyl)ethane is a reactive chemical that is synthesized from hydroxychloroformates and hydrogen chloride. It reacts with silicon to form chlorosilanes, which are then used in the polymerization of siloxanes. 1,2-Bis(chlorodimethylsilyl)ethane has been shown to be an effective initiator for the polymerization of methyl methacrylate and ethylene glycol dimethacrylate. 1,2-Bis(chlorodimethylsilyl)ethane is also used as a hydroxyl group donor in organic reactions.</p>Formula:C6H16Cl2Si2Purity:Min. 95 Area-%Color and Shape:PowderMolecular weight:215.27 g/molα-Ketoglutaric acid disodium dihydrate
CAS:<p>α-Ketoglutaric acid (α-KGA) is a natural metabolite of glucose and is an intermediate in the citric acid cycle. α-KGA has been shown to have powerful anti-cancer properties, which may be due to its ability to inhibit glucose uptake and metabolism in tumor cells. α-KGA has also been shown to reduce locomotor activity, which may be due to its ability to induce transcriptional regulation of genes that are involved in glucose regulation. In addition, α-KGA has been shown to regulate fatty acid synthesis by inhibiting acetyl CoA carboxylase, which is an enzyme that catalyzes the production of malonyl CoA.</p>Formula:C5H4Na2O5•(H2O)2Purity:Min. 95%Color and Shape:PowderMolecular weight:226.09 g/molIsostearic acid
CAS:<p>Please enquire for more information about Isostearic acid including the price, delivery time and more detailed product information at the technical inquiry form on this page</p>Formula:C18H36O2Molecular weight:284.48 g/mol1,4-Bis(1,2-dibromoethyl)benzene
CAS:Formula:C10H10Br4Purity:>97.0%(GC)(T)Color and Shape:White to Almost white powder to crystalMolecular weight:449.811,2-Dichloro-3-iodobenzene
CAS:Formula:C6H3Cl2IPurity:>98.0%(GC)Color and Shape:White to Orange to Green powder to crystalMolecular weight:272.891,4-Dibromo-2,5-bis(bromomethyl)benzene
CAS:Formula:C8H6Br4Purity:>97.0%(GC)Color and Shape:White to Light yellow powder to crystalMolecular weight:421.753,4-Dimethylbenzyl Chloride (contains isomer)
CAS:Formula:C9H11ClPurity:>70.0%(GC)Color and Shape:Colorless to Almost colorless clear liquidMolecular weight:154.641,9-Dichlorononane
CAS:Formula:C9H18Cl2Purity:>98.0%(GC)Color and Shape:Colorless to Almost colorless clear liquidMolecular weight:197.142-Bromo-9,10-di(2-naphthyl)anthracene
CAS:Formula:C34H21BrPurity:>98.0%(HPLC)Color and Shape:White to Yellow to Green powder to crystalMolecular weight:509.45Tetrabutylammonium chloride
CAS:Formula:C16H36ClNPurity:95%Color and Shape:SolidMolecular weight:277.9167Carbonochloridic acid, 2,2,2-trichloroethyl ester
CAS:Formula:C3H2Cl4O2Purity:97%Color and Shape:LiquidMolecular weight:211.85881,1'-Biphenyl, 3-bromo-4'-chloro-
CAS:Formula:C12H8BrClPurity:99%Color and Shape:LiquidMolecular weight:267.5489N-Boc-2-aminoacetaldehyde
CAS:Formula:C7H13NO3Purity:98%Color and Shape:LiquidMolecular weight:159.1830Ref: IN-DA003DLF
Discontinued producttert-Butyl N-(2-bromoethyl)carbamate
CAS:Formula:C7H14BrNO2Purity:98%Color and Shape:SolidMolecular weight:224.09561,1'-Biphenyl, 2-bromo-4'-chloro-
CAS:Formula:C12H8BrClPurity:97%Color and Shape:SolidMolecular weight:267.5489Octane,1,8-dibromo-1,1,2,2,3,3,4,4,5,5,6,6,7,7,8,8-hexadecafluoro-
CAS:Formula:C8Br2F16Purity:97%Color and Shape:SolidMolecular weight:559.86805119999973'-Bromo-4-Iodo-Biphenyl
CAS:Formula:C12H8BrIPurity:95%Color and Shape:SolidMolecular weight:359.00041-Butanol, 2-amino-3,3-dimethyl-, (2R)-
CAS:Formula:C6H15NOPurity:98%Color and Shape:LiquidMolecular weight:117.18941-(3-Dimethylaminopropyl)-3-ethylcarbodiimide
CAS:Formula:C8H17N3Purity:98%Color and Shape:LiquidMolecular weight:155.24071,1,1-Trifluoro-4-iodobutane
CAS:Formula:C4H6F3IPurity:>98.0%(GC)Color and Shape:Colorless to Light yellow to Light orange clear liquidMolecular weight:237.991-Iodo-3-methylbutane (stabilized with Na2S2O3)
CAS:Formula:C5H11IPurity:>99.0%(GC)Color and Shape:Colorless to Light yellow to Light orange clear liquidMolecular weight:198.054-Bromobiphenyl
CAS:Formula:C12H9BrPurity:>98.0%(GC)Color and Shape:White to Light yellow to Light orange powder to crystalMolecular weight:233.112,6-Dichlorobenzyl Bromide
CAS:Formula:C7H5BrCl2Purity:>98.0%(GC)Color and Shape:White to Almost white powder to crystalMolecular weight:239.92Allyloxy(polyethylene oxide), methyl ether (6-8 EO)
CAS:<p>Allyl, Methyl Terminated PEG (~350 g/mol)<br>mPEG-allylUnsaturated and polymerizable PEGylation reagentPEO, Allyl, Methyl termination utilized for protein modificationPotential reagent drug and therapeutic delivery<br></p>Color and Shape:Pale Yellow LiquidMolecular weight:~350Allyloxy(polyethylene oxide), methyl ether (10-15 EO)
CAS:<p>Allyl, Methyl Terminated PEG (~550 g/mol)<br>Unsaturated and polymerizable PEGylation reagentPEO, Allyl, Methyl termination utilized for protein modificationPotential reagent drug and therapeutic delivery<br></p>Color and Shape:Pale Yellow LiquidMolecular weight:~550Allyloxy(polyethylene oxide), methyl ether (20-55 EO)
CAS:<p>Allyl, Methyl Terminated PEG (~1,000 g/mol)<br>Unsaturated and polymerizable PEGylation reagentPEO, Allyl, Methyl termination utilized for protein modificationDual functional PEG forms protein-polymer hybridsPotential reagent drug and therapeutic delivery<br></p>Color and Shape:SolidMolecular weight:~1000HEPTAETHYLENEGLYCOL
CAS:<p>Glycol Oligomer (326.38 g/mol)<br>3,6,9,12,15,18-Hexaoxaeicosane-1,20-diolDual functional PEG<br></p>Formula:C14H30O8Purity:97%Color and Shape:Colourless LiquidMolecular weight:326.382-Bromo-3-fluorobenzotrifluoride
CAS:Formula:C7H3BrF4Purity:>98.0%(GC)Color and Shape:Colorless to Light yellow to Light orange clear liquidMolecular weight:243.002-Chloro-4-fluorobenzyl Bromide
CAS:Formula:C7H5BrClFPurity:>98.0%(GC)Color and Shape:White to Light yellow to Light orange powder to crystalMolecular weight:223.47






