
Amino Acids (AA)
Amino acids (AAs) are the fundamental building blocks of proteins, playing a crucial role in various biological processes. These organic compounds are essential for protein synthesis, metabolic pathways, and cell signaling. In this category, you will find a comprehensive range of amino acids, including essential, non-essential, and modified forms, which are vital for research in biochemistry, molecular biology, and nutritional sciences. At CymitQuimica, we provide high-quality amino acids to support your research and development needs, ensuring accuracy and reliability in your experimental outcomes.
Subcategories of "Amino Acids (AA)"
- Amino Acid Derivatives(3,957 products)
- Amino Acid and Amino Acid Related Compounds(3,472 products)
- Amino Acids with Oxygen or Sulphur(168 products)
- Boc- Amino Acids(351 products)
- Fmoc Amino Acids(1,710 products)
Found 38265 products of "Amino Acids (AA)"
Sort by
Purity (%)
0
100
|
0
|
50
|
90
|
95
|
100
L-Alanine-3,3,3-d3-N-t-BOC
CAS:Controlled Product<p>Applications L-Alanine-3,3,3-d3-N-t-BOC acts as a reagent for the synthesis of amino acid derivatives that serves as precausors for peptides synthesis.<br>References Lankiewicz, L., et al.: J. Chem. Soc., Perkin Transactions, 17, 2503 (1994)<br></p>Formula:C8H12D3NO4Color and Shape:NeatMolecular weight:192.23(2-Amino-4-chlorophenyl)(tetrahydro-2-furanyl)-methanone
CAS:Controlled ProductFormula:C11H12ClNO2Color and Shape:NeatMolecular weight:225.672N-Benzyl-N-methylpentan-1-amine
CAS:Controlled Product<p>Applications N-Benzyl-N-methylpentan-1-amine is a useful intermediate for organic synthesis and other chemical processes.<br>References Buck, J. S., et al.: J. Am. Chem. Soc., 63, 1964 (1941), Poling, S. M., et al.: Phytochemistry, 21, 601 (1982)<br></p>Formula:C13H21NColor and Shape:NeatMolecular weight:191.3124-Methoxybenzoyl Chloride
CAS:Controlled Product<p>Applications 4-Methoxybenzoyl Chloride is used in the synthesis of stilbene and dihydrostilbene derivatives as potential anti-cancer agents. It is also used in the synthesis of coumarin dimers with potential HIV-1 activity.<br>References Cushman, M., et al.: J. Med. Chem., 34, 2579 (1991); Mao, P., et al.: Chem. Pharm. Bull. 50, 1634 (2002);<br></p>Formula:C8H7ClO2Color and Shape:NeatMolecular weight:170.597-[(3,4-Dichlorophenyl)methyl]-8-(3,5-dimethyl-1H-pyrazol-1-yl)-3,7-dihydro-3-methyl-1H-purine-2,6-dione
CAS:Controlled ProductFormula:C18H16Cl2N6O2Color and Shape:NeatMolecular weight:419.265(S)-4-Boc-2-methylpiperazine-3,3-D2
CAS:Controlled ProductFormula:C10D2H18N2O2Color and Shape:NeatMolecular weight:202.296-chloro-2-methyl-1,2,3,4-tetrahydroisoquinoline-1,3-dione
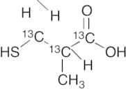
CAS:Controlled Product<p>Applications 6-chloro-2-methyl-1,2,3,4-tetrahydroisoquinoline-1,3-dione (cas# 129689-05-0) is a useful research chemical.<br></p>Formula:C10H8NO2ClColor and Shape:NeatMolecular weight:209.633-Mercapto-2-methylpropanoic Acid -13C3
CAS:Controlled ProductFormula:C3CH8O2SColor and Shape:NeatMolecular weight:123.1483-Bromo-4-methyl-1,8-naphthyridine
CAS:Controlled ProductFormula:C9H7BrN2Color and Shape:NeatMolecular weight:223.0695-(3-Chloro-phenyl)-3-hydroxy-1-methyl-1H-pyrrole-2,4-dicarboxylic Acid Diethyl Ester
CAS:Controlled ProductFormula:C17H18ClNO5Color and Shape:NeatMolecular weight:351.781N-Methylhexadecylamine
CAS:Controlled Product<p>Applications N-Methylhexadecylamine (cas# 13417-08-8) is a compound useful in organic synthesis.<br>References Abe, H., et al: Yukagaku, 38, 94 (1989); Kumar, N., et al.: Int. J. Ind. Chem., 6, 59 ( 2015)<br></p>Formula:C17H37NColor and Shape:NeatMolecular weight:255.4824-Methoxycyclohexanone
CAS:Controlled Product<p>Applications 4-Methoxycyclohexanone is a substituted cyclohexanone used in the preparation of various organic compounds such as antitumor agents.<br>References Alunni-Bistocchi, G. et al.: Pharmazie, 48, 817 (1993); Chi H. et al.: Anti-Cancer Drug Des., 7, 235 (1992);<br></p>Formula:C7H12O2Color and Shape:NeatMolecular weight:128.17di(Dodecanedioic-d20 Acid 1-Methyl Ester) Barium
CAS:Controlled Product<p>Applications di(Dodecanedioic-d20 Acid 1-Methyl Ester) Barium is a labeled salt analogue of Dodecanedioic Acid 1-Methyl Ester (D494535), which is used in cosmetic compostions.<br>References Lodyato, V., et al.: Bioorg. Med. Chem. Lett., 13, 1179 (2003); Lodyato, V., et al.: Bioorg. Med. Chem. Lett., 14, 4253 (2004)<br></p>Formula:C26H8D40BaO8Color and Shape:NeatMolecular weight:664.22(2,6-Difluorophenyl)-4-piperidinyl-methanone
CAS:Controlled ProductFormula:C12H13F2NOColor and Shape:NeatMolecular weight:225.2344-Hydroxy-3-methoxy-5-nitrobenzoic acid
CAS:Controlled Product<p>Applications 4-Hydroxy-3-methoxy-5-nitrobenzoic acid<br></p>Formula:C8H7NO6Color and Shape:NeatMolecular weight:213.14ethyl(3-methylhexan-2-yl)amine hydrochloride
CAS:Controlled Product<p>Applications ethyl(3-methylhexan-2-yl)amine hydrochloride (cas# 1305712-15-5) is a useful research chemical.<br></p>Formula:C9H21N·HClColor and Shape:NeatMolecular weight:179.735-(3-Fluoro-phenyl)-3-hydroxy-1-methyl-1H-pyrrole-2,4-dicarboxylic Acid Diethyl Ester
CAS:Controlled ProductFormula:C17H18FNO5Color and Shape:NeatMolecular weight:335.3275-Methyl-1,2-chrysenediol
CAS:Controlled ProductFormula:C19H14O2Color and Shape:NeatMolecular weight:274.3132-Methyl-3-tetrahydrofuranthiol(cis-and trans-mixture)
CAS:Controlled Product<p>Applications A compound used as flavor for meat, seafood, dairy, chocolate and coffee.<br> Not a dangerous good if item is equal to or less than 1g/ml and there is less than 100g/ml in the package<br>References Xie, J., et al.: Food Sci. Tech. Int., 14, 329 (2008),<br></p>Formula:C5H10OSColor and Shape:NeatMolecular weight:118.22-(2-Ethoxyphenyl)-5-methyl-7-propyl-imidazo[5,1-f][1,2,4]triazine-4(1H)-thione
CAS:Controlled Product<p>Applications 2-(2-Ethoxyphenyl)-5-methyl-7-propyl-imidazo[5,1-f][1,2,4]triazine-4(1H)-thione is an intermediate in the synthesis of Hydroxythiovardenafil (H963400), a hydroxylated thiol analogue of PDE 5 inhibitor Vardenafil (H995300).<br></p>Formula:C17H20N4OSColor and Shape:NeatMolecular weight:328.43Methyl 6-Acetyl-3-methyl-4-phenylpicolinate
CAS:Controlled ProductFormula:C16H15NO3Color and Shape:NeatMolecular weight:269.295rac 1-POC-3-methylaminopyrrolidine
CAS:Controlled ProductFormula:C9H18N2O2Color and Shape:NeatMolecular weight:186.251Fmoc-6-chloro L-Tryptophan
CAS:Controlled Product<p>Applications Used for preparation of acyltryptophanols as FSH antagonists.<br></p>Formula:C26H21ClN2O4Color and Shape:NeatMolecular weight:460.914-Methoxy-5-nitro-1H-pyridin-2-one
CAS:Controlled Product<p>Applications 2-Hydroxy-methoxy-5-nitropyridine is used in the preparation of Rho-Kinase inhibitors that display antihypertensive activity. Also it is used in the preparation of aminofurans as potent inhibitors of AKT kinase.<br>References Rouse, M. et al.: Bioorg, Med. Chem. Lett., 19, 1508 (2009); Stavenger, R. et al.: J. Med. Chem., 50, 2 (2007);<br></p>Formula:C6H6N2O4Color and Shape:NeatMolecular weight:170.128-Chloro-7-fluoro-2-methoxy-1,5-naphthyridine
CAS:Controlled ProductFormula:C9H6ClFN2OColor and Shape:NeatMolecular weight:212.6082-Methyltetrahydrofuran
CAS:Controlled Product<p>Stability Volatile<br>Applications 2-Methyltetrahydrofuran is mainly used as a higher boiling substitute for tetrahydrofuran as a specialty solvent , and is frequently used as a solvent for spectroscopic studies at −196 °C.<br> Not a dangerous good if item is equal to or less than 1g/ml and there is less than 100g/ml in the package<br>References Aycock, D.: Org. Proc. Res. Dev., 11, 156 (2007); Pace, V., et al.: Tetrahedron, 67, 2670 (2011)<br></p>Formula:C5H10OColor and Shape:NeatMolecular weight:86.131,2-Bis(acetoxy-methyloxy)ethane-d4
CAS:Controlled ProductFormula:C8D4H10O6Color and Shape:NeatMolecular weight:210.218L-Phenylalanine-3,3-d2
CAS:Controlled Product<p>Applications L-Phenylalanine-3,3-d2 (CAS# 221346-31-2) is a useful isotopically labeled research compound.<br></p>Formula:C9H9D2NO2Color and Shape:NeatMolecular weight:167.23-Bromo-6-methylpyridazine
CAS:Controlled Product<p>Applications 3-Bromo-6-methylpyridazine is used as a reagent in the synthesis of piperazinyl quinolines as chemosensitizers to increase fluconazole susceptibility of Candida albicans. 3-Bromo-6-methylpyridazine is also used in the preparation of cyclohexyl fluoropyrimidinyl benzamides as CNS penetrable P2X7 receptor antagonists.<br>References Youngsaye, W., et al.: Bioorg. Med. Chem. Lett., 21, 5502 (2011); Chen, X., et al.: Bioorg. Med. Chem. Lett., 20, 3107 (2010)<br></p>Formula:C5H5BrN2Color and Shape:NeatMolecular weight:173.01N-[1-(Methylthio)-2-nitroethenyl]-1,3-benzodioxole-5-methanamine
CAS:Controlled Product<p>Applications N-[1-(Methylthio)-2-nitroethenyl]-1,3-benzodioxole-5-methanamine is an intermediate in the synthesis of Niperoditine (N478800), a H2 antagonists used in the treatment intestinal disorders.<br>References Mannino, S. et al.: Pharmacoepidemiol. Drug Safety, 7, 233 (1998); Miyaji, Y. et al.: Bioanalysis., 4, 263 (2012);<br></p>Formula:C11H12N2O4SColor and Shape:NeatMolecular weight:268.2892-Methyl Diphenyl Sulfide
CAS:Controlled ProductFormula:C13H12SColor and Shape:NeatMolecular weight:200.2994-(2-Methoxyethoxy)benzene-1-carboximidamide Hydrochloride
CAS:Controlled ProductFormula:C10H14N2O2·HClColor and Shape:NeatMolecular weight:230.692-Iodo-6-methylbenzoic Acid
CAS:Controlled Product<p>Applications 2-iodo-6-methylbenzoic acid (cas# 54811-50-6) is a useful research chemical.<br></p>Formula:C8H7IO2Color and Shape:NeatMolecular weight:262.04(4-Chloro-3-methoxyphenyl)hydrazine
CAS:Controlled Product<p>Applications (4-Chloro-3-methoxyphenyl)hydrazine is used as a reactant in the preparation of N-phenylpyrazolylamine and N-pyridylpyrazolylamine derivatives as insecticides, herbicides, and fungicides.<br>References Uneme, H., et al.: Jpn. Kokai Tokkyo Koho (1996), JP 08208620 A 19960813<br></p>Formula:C7H9ClN2OColor and Shape:NeatMolecular weight:172.612(2-Amino-4-chlorophenyl)(tetrahydro-3-furanyl)-methanone
CAS:Controlled ProductFormula:C11H12ClNO2Color and Shape:NeatMolecular weight:225.6722-Methyl-4-azaindole
CAS:Controlled ProductFormula:C8H8N2Color and Shape:NeatMolecular weight:132.1622-Methylnicotinamide (~12% inorganics)
CAS:Controlled Product<p>Applications 2-Methylnicotinamide (cas# 58539-65-4) is a useful research chemical.<br></p>Formula:C7H8N2OColor and Shape:NeatMolecular weight:136.153-Methyl-6-nitroindazole
CAS:Controlled Product<p>Applications 3-Methyl-6-nitroindazole a reactant used in the preparation of Pazopanib (P210925), an oral angiogenesis inhibitor targeting VEGFR and PDGFR.<br>References Mei, Y. et al.: Let. Org. Chem., 9, 276 (2012); Harris, P. et al.: J. Med. Chem., 51, 4632 (2008); Olaussen, K., et al.: Oncogen., 28, 4249 (2009); Sleijfer, S., et al.: J. Clin. Oncol., 27, 3126 (2009); Chan, A., et al.: Drugs, 69, 167 (2009)<br></p>Formula:C8H7N3O2Color and Shape:NeatMolecular weight:177.162,4-Dihydroxy-3-methylbenzoic Acid
CAS:Controlled Product<p>Applications 2,4-Dihydroxy-3-methylbenzoic acid is used in the synthesis of Averufin a useful intermediate in Aflatoxin B1 biosynthesis.<br>References Townsend, C. A., et al.: J. Chem. Soc. Perkin 1, 1972, 839 (1988)<br></p>Formula:C8H8O4Color and Shape:NeatMolecular weight:168.1477-Benzyloxy-4-hydroxy-6-methoxyquinoline Hydrochloride
CAS:Controlled Product<p>Applications 7-Benzyloxy-4-hydroxy-6-methoxyquinoline Hydrochloride is used in the preparation of quinolines and quinazolines as inhibitors of c-Met and other tyrosine kinases and therapeutic uses against proliferative diseases.<br>References Bannen, L., et al.: PCT Int. Appl. (2005), WO 2005030140 A2 20050407.<br></p>Formula:C17H15NO3•HClColor and Shape:NeatMolecular weight:281.3136464-(1H-1,3-Benzodiazol-2-yl)-2-methyl-2,3-dihydro-1H-pyrazol-3-imine
CAS:Controlled ProductFormula:C11H11N5Color and Shape:NeatMolecular weight:213.2381-(4-Methylbenzyl)piperazine
CAS:Controlled ProductFormula:C12H18N2Color and Shape:NeatMolecular weight:190.2855-Methoxy-2,2-dimethyl-5-oxopentanoic Acid
CAS:Controlled ProductFormula:C8H14O4Color and Shape:NeatMolecular weight:174.1942-(1-Methyl-1H-pyrazol-4-yl)ethanamine (~90%)
CAS:Controlled Product<p>Applications 2-(1-Methyl-1H-pyrazol-4-yl)ethanamine (cas# 796845-58-4) is a useful research chemical in the development of DNA-compatible methodology for generating novel highly functionalized imidazoles.<br> Not a dangerous good if item is equal to or less than 1g/ml and there is less than 100g/ml in the package<br>References Geigle, S. N., et al.: Org. Lett., 21, 9001 (2019)<br></p>Formula:C6H11N3Purity:~90%Color and Shape:NeatMolecular weight:125.174-Chloro-2-methoxypyridine
CAS:Controlled Product<p>Applications 4-Chloro-2-methoxypyridine is a reagent in the preparation of cyclopalladated ferrocenylimines as efficient catalysts for the preparation of arylboronate esters.<br>References Wang, L., et al.: Adv. Synth. Catal., 352, 2002 (2010);<br></p>Formula:C6H6ClNOColor and Shape:NeatMolecular weight:143.575-Hydroxy-6-methylpicolinic Acid
CAS:Controlled Product<p>Applications 5-Hydroxy-6-methylpicolinic Acid is used as a reactant in the preparation of spiro[3,4-dihydro-2H-pyrrolo[1,2-a]pyrazine-1,4'-piperidine] derivatives as modulators of sodium ion channels.<br>References Hadida Ruah, Sara S., et al.: U.S. Pat. Appl. Publ., US 20120196869 A1 20120802 (2012)<br></p>Formula:C7H7NO3Color and Shape:NeatMolecular weight:153.1354-methoxybenzene-1,2-diol
CAS:Controlled Product<p>Applications 4-methoxybenzene-1,2-diol (cas# 3934-97-2) is a useful research chemical.<br></p>Formula:C7H8O3Color and Shape:NeatMolecular weight:140.13methyl 2-hydroxy-4-methylpentanoate
CAS:Controlled Product<p>Applications methyl 2-hydroxy-4-methylpentanoate (cas# 40348-72-9) is a useful research chemical.<br></p>Formula:C7H14O3Color and Shape:NeatMolecular weight:146.18N-(2-Methoxyethyl)-2,6-xylidine
CAS:Controlled Product<p>Applications N-(2-Methoxyethyl)-2,6-xylidine is an intermediate used in the synthesis of Dimethachlor Ethane Sulfonic Acid Sodium Salt (D460283), which is a pesticide metabolite pollutant found in groundwater, surface water, and wastewater.<br>References Huntscha, S., et al.: J. Chromatogr. A, 1268, 74 (2012); Reemtsma, T., et al.: J. Chromatogr. A, 1271, 95 (2013);<br></p>Formula:C11H17NOColor and Shape:NeatMolecular weight:179.264-[(Phenylamino)methylene]-2-pentenedioic Acid 5-Methyl Ester
CAS:Controlled Product<p>Applications 4-[(Phenylamino)methylene]-2-pentenedioic Acid 5-Methyl Ester (cas# 64972-00-5) is a compound useful in organic synthesis.<br></p>Formula:C13H13NO4Color and Shape:NeatMolecular weight:247.256-Methylheptanoic Acid Ethyl Ester
CAS:Controlled ProductFormula:C10H20O2Color and Shape:NeatMolecular weight:288.381N-Carbobenzoxy-β-alanine
CAS:Controlled Product<p>Applications N-Carbobenzoxy-β-alanine has been utilized for various synthesis applications including palladium-catalyzed asymmetric allylation of β-diketones, branched linker that can increase the potency of doxorubicin immunoconjugates, and diacridines that intercalate nucleic acids and inhibit DNA synthesis.<br>References Sawamura, M., et al.: J. Am. Chem. Soc. 114, 2586 (1997); King, H. D., et al.: Bioconjugate Chem. 10, 279 (1999); Denny, W. A., et al.: J. Med. Chem 28, 1568 (1985)<br></p>Formula:C11H13NO4Color and Shape:NeatMolecular weight:223.237-Methylindole
CAS:Controlled Product<p>Applications 7-Methylindole is a reactant in the synthesis of α-amino amides that are found in a variety of biological-active compounds.<br>References Box, H.K., et. al.: Tetrahedron, 70, 9709 (2014)<br></p>Formula:C9H9NColor and Shape:NeatMolecular weight:131.17Fmoc-4-carboxymethyl-1,2,3,4-tetrahydroquinoxalin-3-one
CAS:Controlled ProductFormula:C25H20N2O5Color and Shape:NeatMolecular weight:428.437α-Methylstyrene Oxide
CAS:Controlled ProductFormula:C9H10OColor and Shape:NeatMolecular weight:134.175D-Glucosamine-2-N-Sulfate Sodium Salt
CAS:<p>Applications D-Glucosamine-2-N-sulfate sodium salt (cas# 38899-05-7) is a useful research chemical.<br></p>Formula:C6H13NO5·2ClNa·H2O4SColor and Shape:NeatMolecular weight:573.31Fmoc-Glycinol
CAS:Controlled Product<p>Applications Fmoc-Glycinol is an Fmoc protected amino alcohol. Fmoc-Glycinol is used in the preparation of amphiphilic lactosides.<br>References Miura, Y. et al.: Carb. Res., 289, 193 (1996); Hatanaka, Y. et al.: Chem. Pharm. Bull., 44, 1111 (1996);<br></p>Formula:C17H17NO3Color and Shape:NeatMolecular weight:283.32N-Methylpiperidinyl-2-methyl Benzilate
CAS:Controlled Product<p>Applications N-Methylpiperidinyl-2-methyl Benzilate (cas# 94909-90-7) is a compound useful in organic synthesis.<br></p>Formula:C21H25NO3Color and Shape:NeatMolecular weight:339.436-Sialyl-D-glucose Sodium Salt (α/β mixture)
CAS:Controlled ProductFormula:C17H28NNaO14Color and Shape:NeatMolecular weight:493.3923-Hydroxy-2-methylpentanoic acid
CAS:Controlled ProductFormula:C6H12O3Color and Shape:NeatMolecular weight:132.1581,2-Diheptadecanoyl-(R)-glycero-3’-phosphoglycerol Sodium Salt
CAS:Controlled ProductFormula:C40H78O10P·NaColor and Shape:NeatMolecular weight:773.0055-Hydroxy-7-methoxy-2-phenyl-4H-chromen-4-one
CAS:Controlled Product<p>Applications 5-Hydroxy-7-methoxy-2-phenyl-4H-chromen-4-one (cas# 520-28-5) is a useful research chemical.<br></p>Formula:C16H12O4Color and Shape:NeatMolecular weight:268.262-Mercapto-5-methoxybenzoic Acid (90%)
CAS:Controlled Product<p>Applications A benzothiophene having antiallergic activity.<br>References Showalter, H.D., et al.: J. Med. Chem., 31, 1527 (1988), Sugiyama, H., et al.: Chem. Pharm. Bull., 55, 613 (2007),<br></p>Formula:C8H8O3SPurity:90%Color and Shape:NeatMolecular weight:184.21(S)-5-Chloro-α-(cyclopropylethynyl)-2-[[(4-methoxyphenyl)methyl]amino]-α-(trifluoromethyl)benzenemethanol-D4
CAS:Controlled ProductFormula:C21D4H15ClF3NO2Color and Shape:NeatMolecular weight:413.8541-(3-Methoxypropyl)piperidine-4-carboxamide
CAS:Controlled Product<p>Applications 1-(3-Methoxypropyl)piperidine-4-carboxamide acts as a regent in the synthesis of substituted purine derivatives as antineoplastic or anticancer agents.<br>References Dumont, J. A., et al.: From U.S. (2002), US 6479487 B1 20021112; Dumont, Jennifer A., et al.: From PCT Int. Appl. (1999), WO 9943675 A1 19990902<br></p>Formula:C10H20N2O2Color and Shape:NeatMolecular weight:200.282-Methoxybenzo[d][1,3]dioxol-4-ol
CAS:Controlled Product<p>Applications 2-Methoxybenzo[d][1,3]dioxol-4-ol is an intermediate for the synthesis of 8,9-Di-O-methyl-urolithin D (D472580). It is a derivative of Urolithin D (U847020) which is used in biological studies to evaluate DNA gyrase inhibitory activity of ellagic acid derivatives.<br>References Weidner-Weels, M. A., et al: Bioorg. Med. Chem. Lett., 8, 97 (1998)<br></p>Formula:C8H8O4Color and Shape:NeatMolecular weight:168.147(4R)-4-Methyl-1,3,2-dioxathiolane-2,2-dioxide
CAS:Controlled Product<p>Applications (4R)-4-Methyl-1,3,2-dioxathiolane-2,2-dioxide, can be used in the synthesis of stereoisomers of Secnidazole (S225000), which is a nitroimidazole anti-infective, that is shown to be effective in treatment of dientamoebiasis, and Atopobium vaginae.<br>References De Backer, E. et al.: Clinc. Micro. Infec., 16, 470 (2009); Cosar, C., et al.: Arzneim.-Forsch., 16, 23 (1966); Videau, D., et al.: Br. J. Vener. Dis., 54, 77 (1978); Symonds, J., et al.: J. Antimicrob. Chemother., 5, 484 (1979);<br></p>Formula:C3H6O4SColor and Shape:NeatMolecular weight:138.1423-(3-Chloropropyl)-5-methylisoxazole
CAS:Controlled Product<p>Applications 3-(3-Chloropropyl)-5-methylisoxazole, is a building block used in chemical synthesis of more complex compounds.<br></p>Formula:C7H10ClNOColor and Shape:NeatMolecular weight:159.6134-Bromo-5-(chloromethyl)-1-methyl-1H-pyrazole
CAS:Controlled ProductFormula:C5H6BrClN2Color and Shape:NeatMolecular weight:209.4712-Methyl-4-(bromomethyl)pyridine
CAS:Controlled ProductFormula:C7H8BrNColor and Shape:NeatMolecular weight:186.0491-Chloro-3-methoxypropan-2-one
CAS:Controlled ProductFormula:C4H7ClO2Color and Shape:NeatMolecular weight:122.55(±)-1-Phenyl-2-methylaminopropane-1,1,2,3,3,3-d6 HCl
CAS:Controlled Product<p>Applications (±)-1-Phenyl-2-methylaminopropane-1,1,2,3,3,3-d6 HCl (CAS# 1219805-26-1) is a useful isotopically labeled research compound.<br></p>Formula:C10H10D6ClNColor and Shape:NeatMolecular weight:191.734-[2-(4-Chlorobutylidene)hydrazinyl]-N-methylbenzenemethanesulfonamide
CAS:Controlled Product<p>Stability Hygroscopic, Temperature Sensitive<br>Applications 4-[2-(4-Chlorobutylidene)hydrazinyl]-N-methylbenzenemethanesulfonamide is an intermediate in the synthesis of 3-(2-Aminoethyl)-N-methyl-1H-indole-5-methanesulfonamide (Didesmethyl Sumatriptan) (Sumatriptan EP Impurity E) (A609165), which is an antimigraine agent. A Sumatriptan intermediate.<br> Not a dangerous good if item is equal to or less than 1g/ml and there is less than 100g/ml in the package<br></p>Formula:C12H18ClN3O2SColor and Shape:NeatMolecular weight:303.81L-Carnosine-d4 (N-β-alanyl-d4)
CAS:Controlled Product<p>Applications L-Carnosine-d4 (N-beta-alanyl-d4) is a useful isotopically labeled compound of L-Carnosine (C184190)<br></p>Formula:C9D4H10N4O3Color and Shape:Off-WhiteMolecular weight:230.26Ethyl 2-Deoxy-2-(1,3-dihydro-1,3-dioxo-2H-isoindol-2-yl)-3,6-bis-O-(phenylmethyl)-1-thio-β-D-glucopyranoside
CAS:Controlled ProductFormula:C30H31NO6SColor and Shape:NeatMolecular weight:533.642-Chloro-6-methoxy-4-(trifluoromethyl)pyridine-D3
CAS:Controlled Product<p>Applications 2-Chloro-6-methoxy-4-(trifluoromethyl)pyridine-D3 is a labelled analogue of 2-Chloro-6-methoxy-4-(trifluoromethyl)pyridine (C368725), which is used as a reagent to synthesize pteridines, compounds that act as fungicides, insecticides and antiparasitics.<br>References Brewster, W., et al. Pteridines as Fungicides, Insecticides and Antiparasitics and Their Preparation and Use in Agricultural and Veterinary Fields. U.S. Pat. Appl. Publ. 20110054173. Mar 3, 2011<br></p>Formula:C7D3H2ClF3NOColor and Shape:NeatMolecular weight:214.5876-Chloro-2-(4-chlorophenyl)-N,N-dimethylimidazo[1,2-a]pyridine-3-methanamine
CAS:Controlled Product<p>Applications An intermediate for the synthesis of Alpidem.<br></p>Formula:C16H15Cl2N3Color and Shape:NeatMolecular weight:320.227-Methyl-8-quinoxalinesulfonyl Chloride
CAS:Controlled ProductFormula:C10H8ClNO2SColor and Shape:NeatMolecular weight:241.69N-(5-Carboxypentyl)-3-hydroxy-N-methylaniline
CAS:Controlled ProductFormula:C13H19NO3Color and Shape:NeatMolecular weight:237.292-(2-Methoxyphenyl)-2-((tetrahydro-2H-pyran-4-yl)oxy)ethyl Methanesulfonate
Controlled Product<p>Applications 2-(2-Methoxyphenyl)-2-((tetrahydro-2H-pyran-4-yl)oxy)ethyl Methanesulfonate is a compound useful in organic synthesis.<br></p>Formula:C15H22O6SColor and Shape:NeatMolecular weight:330.3974-Bromo-3-fluoro-N-methylbenzamide
CAS:Controlled Product<p>Applications 4-Bromo-3-fluoro-N-methylbenzamide<br></p>Formula:C12H18F3NO5SColor and Shape:NeatMolecular weight:345.3351-(3-Methoxyphenyl)ethanol
CAS:Controlled Product<p>Impurity Rivastigmine EP Impurity G<br>Applications 1-(3-Methoxyphenyl)ethanol (Rivastigmine EP Impurity G) is a versatile reactant used in the preparation of 2,3-dihydroimidazo[1,2-a]pyridines as enantioselective acyl transfer catalysts in kinetic resolution of alcohols. Also used in chemoselective preparation of aryl aldehydes/ketones via in situ generated TEMPO-copper(II) diimine catalyzed oxidation of benzylic alcohols in aqueous media.<br>References Birman, V., et al.: J. Am. Chem. Soc., 126, 12226 (2004); Figiel, P., et al.: Adv. Synth. Catal., 349, 1173 (2007);<br></p>Formula:C9H12O2Color and Shape:Off-WhiteMolecular weight:152.191-(4-Chloropyridin-2-yl)-N-methylmethanamine
CAS:Controlled ProductFormula:C7H9ClN2Color and Shape:NeatMolecular weight:156.613Methyl 3-Amino-4-methylbenzoate-D6
CAS:Controlled Product<p>Applications Methyl 3-Amino-4-methylbenzoate-D6 is an intermediate in the synthesis of Nilotinib-d6 (N465303), which is the labeled analogue of Nilotinib (N465300), which might be useful in treatment of chronic myelogenous leukemia.<br>References Corbin, A., et al.: J. Biol. Chem., 277, 32214(2002), Golemovic, M., et al.: Clin. Cancer Res., 11, 4941 (2005), Gleixner, K., et al.: Blood, 107, 752 (2006), Nicolini, F., et al.: Leukemia, 20, 1061 (2006),<br></p>Formula:C9D6H5NO2Color and Shape:NeatMolecular weight:171.226(1S,4R)-Methyl-4-aminocyclopentyl-2-enecarboxylate Hydrochloride
CAS:Controlled ProductFormula:C7H11NO2·ClHColor and Shape:NeatMolecular weight:177.629O-Methyliso Urea Tosylate Salt
CAS:Controlled Product<p>Applications An intermediate in the production of Guanidinoacetic Acid<br>References Kennelly, P., et al.: J. Mol. Biol., 145, 583 (1981),<br></p>Formula:C9H14N2O4SColor and Shape:NeatMolecular weight:246.28DL-Phenylalanine-2-13C
CAS:Controlled Product<p>Applications DL-Phenylalanine-2-13C (CAS# 64193-01-7) is a useful isotopically labeled research compound.<br></p>Formula:C8C)H11NO2Color and Shape:NeatMolecular weight:166.184-Methoxy-2-pyridinecarboxylic Acid
CAS:Controlled Product<p>Applications 4-Methoxy-2-pyridinecarboxylic Acid is an intermediate to prepare diacid analogs as glycogen phosphorylase inhibitors. It is also used to prepare allyl phenylethyl ether via ruthenium-pyridinecarboxylic acid-catalyzed allylation.<br>References Lu, Z., et al.: Bioorg. Med. Chem. Lett., 13, 4125 (2003); Tanaka, S., et al.: Chem. Lett., 38, 188 (2009)<br></p>Formula:C7H7NO3Color and Shape:NeatMolecular weight:153.14(S)-6-Chloro-4-(cyclopropylethynyl)-7-methyl-4-(trifluoromethyl)-1H-benzo[d][1,3]oxazin-2(4H)-one
Controlled ProductFormula:C15H11ClF3NO2Color and Shape:NeatMolecular weight:329.7021-(6-Methyl-3-pyridinyl)-2-[4-(methylsulfinyl)phenyl]ethanone
CAS:Controlled ProductFormula:C15H15NO2SColor and Shape:NeatMolecular weight:273.353-Bromo-2-methylphenol
CAS:Controlled Product<p>Applications 3-Bromo-2-methylphenol<br></p>Formula:C7H7BrOColor and Shape:NeatMolecular weight:187.039,9-Dimethyl-N,N'-bis(3-methylphenyl)-N,N'-diphenyl-9H-fluorene-2,7-diamine
CAS:Controlled Product<p>Applications 9,9-Dimethyl-N,N'-bis(3-methylphenyl)-N,N'-diphenyl-9H-fluorene-2,7-diamine is used in the preparation of 2,7-bis(diarylamino)-9,9-dimethylfluorenes as hole-transport materials for organic light-emitting diodes.<br>References Hreha, R. D., et al.: Adv. Funct. Mater., 13, 967 (2003)<br></p>Formula:C41H36N2Color and Shape:NeatMolecular weight:556.7382-Methyl-1-[4-(methylsulfanyl)phenyl]-1-propanone
CAS:Controlled Product<p>Stability Air Sensitive<br>Applications 2-Methyl-1-[4-(methylsulfanyl)phenyl]-1-propanone is a useful research chemical for organic synthesis and other chemical processes.<br>References Aslam, M., et al.: J. Org. Chem., 56, 5955 (1991), Swyka, R. A., et al.: J. Am. Chem. Soc., 141, 6864 (2019)<br></p>Formula:C11H14OSColor and Shape:NeatMolecular weight:194.29(3S)-3-Methyl-ethylester Heptanoic Acid
CAS:Controlled ProductFormula:C10H20O2Color and Shape:NeatMolecular weight:172.2654-Methylumbelliferyl Butyrate
CAS:Controlled Product<p>Applications 4-Methylumbelliferyl Butyrate is suitable to use as a fluorogenic substrate for esterases/lipases, such as butyrate esterase.<br>References M. Vaneechoutte et al. J. Clin. Microbiol. 26, 1227, (1988)<br></p>Formula:C14H14O4Color and Shape:NeatMolecular weight:246.262,4-Dichloro-6-methyl-5-nitropyrimidine
CAS:Controlled Product<p>Stability Moisture Sensitive<br>Applications A synthetic intermediate<br></p>Formula:C5H3Cl2N3O2Color and Shape:NeatMolecular weight:208.00Sodium 2-Keto-4(R,S)-methyl-d3-pentanoate
CAS:Controlled Product<p>Applications Sodium 2-Keto-4(R,S)-methyl-d3-pentanoate (CAS# 93523-67-2) is a useful isotopically labeled research compound.<br></p>Formula:C6H6D3NaO3Color and Shape:NeatMolecular weight:155.14cis-4-((tert-Butyloxycarbonyl)amino)-3-methylpiperidine
CAS:Controlled ProductFormula:C11H22N2O2Color and Shape:NeatMolecular weight:214.3056-Methyl-3-pyridineacetonitrile
CAS:Controlled Product<p>Applications 6-Methyl-3-pyridineacetonitrile is a reactant used in the preparation of pyrazolopyrimidine derivatives as agents for treatment of autoimmune diseases and orally active corticotropin-releasing factor receptor antagonists.<br>References Chen, C. et al.: J. Med. Chem., 47, 4787 (2004)<br></p>Formula:C8H8N2Color and Shape:NeatMolecular weight:132.1623-Methylcrotonic Acid
CAS:Controlled Product<p>Applications 3-Methylcrotonic acid is used as a starting material to synthesize 3-Methylcrotonyl-CoA, an intermediate in the metabolism of Leucine.<br>References Anderson, M., et al.: Plant Physiol., 118, 1127 (1998); Hector, M., et al.: Biochemistry, 15, 3465 (1976)<br></p>Formula:C5H8O2Color and Shape:NeatMolecular weight:100.1163-Cyano-5-methylhexanoic-13C Acid
CAS:Controlled ProductFormula:C2C6H13NO2Color and Shape:NeatMolecular weight:157.181-(tert-Butyl)-5-methyl-1H-pyrazole-3-carbohydrazide
CAS:Controlled Product<p>Applications 1-(tert-butyl)-5-methyl-1H-pyrazole-3-carbohydrazide (cas# 306937-23-5) is a useful research chemical.<br></p>Formula:C9H16N4OColor and Shape:NeatMolecular weight:196.256-Bromo-5-methoxypyridin-3-ol
CAS:Controlled ProductFormula:C6H6BrNO2Color and Shape:NeatMolecular weight:204.021(1R,2R)-cis-1-(Chloromethyl)-2-methylcyclopropane
CAS:Controlled Product<p>Applications (1R,2R)-cis-1-(Chloromethyl)-2-methylcyclopropane, can be used for the preparation of Mono- and bi-cyclic radicals containing the cyclopropylmethyl group, that can be used as a mechanistic probe and kinetic standards.<br>References Beckwith, A. L. J., et al.: J. C. S. Perkin ii, 1473 (1980); Castaing, M., et al.; J. Chem. Scoi., Perkin transac., 3, 287 (1979);<br></p>Formula:C5H9ClColor and Shape:NeatMolecular weight:104.5784-Amino-2-chloro-6-methyl-5-nitropyrimidine
CAS:Controlled Product<p>Applications 4-Amino-2-chloro-6-methyl-5-nitropyrimidine (cas# 5453-06-5) is a compound useful in organic synthesis.<br></p>Formula:C5H5ClN4O2Color and Shape:NeatMolecular weight:188.57DL-Tryptophan-d8
CAS:Controlled Product<p>Applications DL-Tryptophan-d8 (CAS# 1233395-85-1) is a useful isotopically labeled research compound.<br></p>Formula:C11D8H4N2O2Color and Shape:NeatMolecular weight:212.2745n-Pentyl 3-Methyl-2-pentyl Phthalate
Controlled Product<p>Applications n-Pentyl 3-Methyl-2-pentyl Phthalate, is a phthalate ester, which are ubiquitous environmental contaminants that interact with peroxisome proliferator-activated receptors (PPARs), a family of nuclear receptors. It is used as a plasticizer to impart softness and flexibility to PVC products.<br>References Kaya, T., et al.: Chem. Res. Toxic., 19 (8), 999 (2006); Matter, H., et al.: Bioorg. Med. Chem., 20 (18), 5352 (2012);<br></p>Formula:C19H28O4Color and Shape:NeatMolecular weight:320.4231-(2,4,6-Trihydroxyphenyl)-2-(4-methoxyphenyl)ethanone
CAS:Controlled Product<p>Applications 1-(2,4,6-TRIHYDROXYPHENYL)-2-(4-METHOXYPHENYL)ETHANONE (cas# 15485-66-2) is a useful research chemical.<br> Not a dangerous good if item is equal to or less than 1g/ml and there is less than 100g/ml in the package<br></p>Formula:C15H14O5Color and Shape:NeatMolecular weight:274.26N,N-Dimethyl 3-Bromo-4-(4-methylphenyl)-4-oxobutanamide
CAS:Controlled ProductFormula:C13H16BrNO2Color and Shape:NeatMolecular weight:298.1762,4-Dichloro-5-methoxyaniline
CAS:Controlled Product<p>Applications 2,4-Dichloro-5-methoxyaniline<br></p>Formula:C11H13NO3SColor and Shape:NeatMolecular weight:239.291N-[2-Butyl-3-(4-methoxybenzoyl)-5-benzofuranyl]-methanesulfonamide
CAS:Controlled ProductFormula:C21H23NO5SColor and Shape:NeatMolecular weight:401.483-Iodo-6-(1-methylethyl)-1H-indole-2-carboxylic Acid
CAS:Controlled ProductFormula:C12H12INO2Color and Shape:NeatMolecular weight:329.134(2S,4R)-Methyl-4-hydroxypiperidine-2-carboxylate
CAS:Controlled Product<p>Applications (2S,4R)-Methyl-4-hydroxypiperidine-2-carboxylate has been used as a reactant for the preparation of cholecystokinin B (CCK-B) antagonists.<br>References Bellier, B., et. al.: Bioorg. Med. Chem. Lett., 8, 1419 (1998)<br></p>Formula:C7H13NO3Color and Shape:NeatMolecular weight:159.1835-Chloro-8-methylquinoline
CAS:Controlled Product<p>Applications 5-Chloro-8-Methylquinoline (cas# 78941-95-4) is a useful research chemical.<br></p>Formula:C10H8NClColor and Shape:NeatMolecular weight:177.635-Bromo-1-[2-Fluoro-6-(trifluoromethyl)benzyl]-6-methylpyrimidine-2,4(1H,3H)-dione
CAS:Controlled Product<p>Applications 5-Bromo-1-[2-Fluoro-6-(trifluoromethyl)benzyl]-6-methylpyrimidine-2,4(1H,3H)-dione is an intermediate in the synthesis of Elagolix, a gonadotropin-releasing hormone antagonist (GnRH) used in the treatment of endometriosis.<br>References Tukun, F. et al.: Molecules, 22, 12 (2017);<br></p>Formula:C13H9BrF4N2O2Color and Shape:NeatMolecular weight:381.122-[(2-Ethoxy-5(4-ethylpiperazine-1-sulphonyl)phenyl)]-7-ethoxycarbonyl-5-methylimidazo[5,1-f][1,2,4]triazin-4(3H)-one
CAS:Controlled ProductFormula:C23H30N6O6SColor and Shape:NeatMolecular weight:518.5862-Ethyl-6-methoxyphenol
CAS:Controlled ProductFormula:C9H12O2Color and Shape:NeatMolecular weight:152.19(2R)-3-Bromo-2-hydroxy-2-methylpropionic Acid
CAS:Controlled ProductFormula:C4H7BrO3Color and Shape:NeatMolecular weight:183.02-(5-Methylthiophen-2-yl)pyrrolidine Hydrochloride
CAS:Controlled ProductFormula:C9H13NS·HClColor and Shape:NeatMolecular weight:203.73N-(4-Hydroxyphenyl)-N-methylacetamide
CAS:<p>Please enquire for more information about N-(4-Hydroxyphenyl)-N-methylacetamide including the price, delivery time and more detailed product information at the technical inquiry form on this page</p>Formula:C9H11NO2Purity:Min. 95%Molecular weight:165.19 g/mol2-Aminomethyl-4-boc-morpholine
CAS:<p>Please enquire for more information about 2-Aminomethyl-4-boc-morpholine including the price, delivery time and more detailed product information at the technical inquiry form on this page</p>Formula:C10H20N2O3Purity:Min. 95%Color and Shape:PowderMolecular weight:216.28 g/mol1-N-Boc-pyrrolidine-3-(S)-methylcarboxylate
CAS:<p>Please enquire for more information about 1-N-Boc-pyrrolidine-3-(S)-methylcarboxylate including the price, delivery time and more detailed product information at the technical inquiry form on this page</p>Formula:C11H19NO4Purity:Min. 95%Molecular weight:229.27 g/mol2-(Bromomethyl)-1-methyl-1H-benzimidazole hydrobromide
CAS:Controlled Product<p>Please enquire for more information about 2-(Bromomethyl)-1-methyl-1H-benzimidazole hydrobromide including the price, delivery time and more detailed product information at the technical inquiry form on this page</p>Formula:C9H9BrN2Purity:Min. 95%Molecular weight:225.09 g/molHaloxyfop-P-methyl
CAS:<p>Haloxyfop-P-methyl is a herbicide that inhibits the growth of Gram-positive bacteria by inhibiting protein synthesis. Haloxyfop-P-methyl has been shown to inhibit the production of inflammatory genes in hispidum, an experimental bacterial strain. This herbicide also has an inhibitory effect on testicular cells and animals, which may be due to its ability to interfere with the production of prostaglandins. It is used for weed control in cereals such as triticum aestivum and lc-ms/ms method for plant analysis. The chemical structure of haloxyfop includes a methyl group and two oxyfluorine groups. Haloxyfop-P-methyl is soluble in n-dimethyl formamide (DMF) and fluoresces under UV light.</p>Formula:C16H13ClF3NO4Purity:Min. 95%Color and Shape:Clear LiquidMolecular weight:375.73 g/molZ-NH-PEG4-CH2CH2COOH
CAS:<p>Z-NH-PEG4-CH2CH2COOH is a PEG compound with two different functional groups (also known as heterobifunctional). Unlike homobifunctional PEG compounds (same functional group on both ends), this type of compounds are more versatile as have two different anchor points. Z-NH-PEG4-CH2CH2COOH is used as a linker and spacer to add a PEG moiety, via pegylation (a bioconjugation technique) to proteins, peptides, oligonucleotides, small molecules and nanoparticles.</p>Formula:C19H29NO8Purity:Min. 95%Molecular weight:399.44 g/mol6-O-Methyl codeine
CAS:Controlled Product<p>6-O-Methyl codeine is a drug that belongs to the class of opioid analgesics. It is used to treat severe pain and coughing in patients with infectious diseases, such as pneumonia or bronchitis. 6-O-Methyl codeine may be administered by mouth, intravenously, or intramuscularly. The mechanism of action of this drug is not fully understood, but it has been shown to decrease respiratory rate in some animal studies. 6-O-Methyl codeine also has an effect on the central nervous system and may cause dizziness, drowsiness, nausea, vomiting and constipation. This drug is metabolized through oxidative reactions with oxygenated molecules like fluorine or hydrogenated aromatic hydrocarbons. 6-O-Methyl codeine is a prodrug that can be converted into morphine following cleavage by liver enzymes.</p>Formula:C19H23NO3Purity:Min. 95%Molecular weight:313.39 g/mol2-Methyl-5-Benzothiazolol
CAS:<p>2-Methyl-5-benzothiazolol is a compound that has photophysical properties. It is soluble in organic solvents and can be used in techniques such as photochemical, fluorescence, crystallography, and MALDI-TOF. 2-Methyl-5-benzothiazolol has been shown to inhibit the formation of amyloid fibrils in the brain microvasculature endothelium of mice. This drug also inhibits the production of cyclotriphosphazene from bacteria. 2-Methyl-5-benzothiazolol can be synthesized from cyclotriphosphazene with benzaldehyde and methylamine. 2-Methyl-5-benzothiazolol has been shown to have anti cancer activity by inhibiting cell proliferation through apoptosis induction. It can also inhibit viral replication by interfering with viral protein synthesis at concentrations below those needed for inhibition of host cell</p>Formula:C8H7NSOPurity:Min. 95%Molecular weight:165.21 g/molEthyl 6-methyl-2-thioxo-4-(3,4,5-trimethoxyphenyl)-1,2,3,4-tetrahydropyrimidine-5-carboxylate
CAS:<p>Please enquire for more information about Ethyl 6-methyl-2-thioxo-4-(3,4,5-trimethoxyphenyl)-1,2,3,4-tetrahydropyrimidine-5-carboxylate including the price, delivery time and more detailed product information at the technical inquiry form on this page</p>Formula:C17H22N2O5SPurity:90%MinMolecular weight:366.43 g/molFmoc-N-Me-Asn(Trt)-OH
CAS:<p>Fmoc-N-Me-Asn(Trt)-OH is a peptidomimetic that mimics the sequence of the serine protease. The Fmoc group on the N-terminal amino acid is used to protect against proteolytic degradation and its methyl ester group confers stability in biological fluids. The Fmoc-N-Me-Asn(Trt)-OH has been shown to have minimal effects on endogenous protein synthesis, while also being quantified with high sensitivity and specificity. This compound has been shown to inhibit protein-protein interactions by acting as a competitive inhibitor of serine proteases.</p>Formula:C39H34N2O5Purity:Min. 95%Color and Shape:PowderMolecular weight:610.7 g/mol5-(4-Methoxyphenyl)isoxazole-3-carboxaldehyde
CAS:<p>5-(4-Methoxyphenyl)isoxazole-3-carboxaldehyde (5MI) is a broad-spectrum antimicrobial agent that exhibits activity against bacteria and fungi. It has been shown to be active against gram-positive bacteria, including Staphylococcus aureus, as well as Candida albicans and other pathogenic fungi. 5MI is active in the presence of ethanol, but not in the absence of alcohol. In vitro studies show that 5MI inhibits the growth of gram-negative bacteria such as Escherichia coli and Salmonella enterica serovar Typhimurium. 5MI also exhibits antifungal activity against Aspergillus niger and Saccharomyces cerevisiae.</p>Formula:C11H9NO3Purity:Min. 95%Molecular weight:203.19 g/mol(S)-(-)-1-Boc-3-aminopyrrolidine
CAS:<p>(S)-(-)-1-Boc-3-aminopyrrolidine is an inhibitor that inhibits the activity of phosphoinositide 3-kinase (PI3K) by binding to the ATP binding site and inhibiting PI3K. It has been shown to inhibit the activation of PI3Kδ, which plays a key role in tumorigenesis and metastasis. The drug also has metabolic stability and selectivity for PI3Kδ over other kinases, as well as high affinity for this enzyme. The drug was found to have low toxicity in vitro, but its effects on humans are unknown.</p>Formula:C9H18N2O2Purity:Min. 95%Color and Shape:Clear LiquidMolecular weight:186.25 g/molrac-prolinol
CAS:<p>Rac-prolinol is a picolinic acid derivative that has been shown to inhibit the production of pyrrolidinecarboxylic acid in the form of l-tartaric acid. This inhibition is due to the formation of a hydrogen bond with the hydroxyl group on the substrate molecule, which prevents its conversion into pyrrolidinecarboxylic acid. Rac-prolinol has also been shown to inhibit collagen production in cells. Rac-prolinol binds to receptors that are involved in regulating cell proliferation and differentiation, including transforming growth factor beta receptor and epidermal growth factor receptor. It inhibits collagen synthesis by acting as a competitive inhibitor of proline hydroxylase, an enzyme responsible for catalyzing proline into hydroxyproline. The molecule also inhibits DNA synthesis by binding to the erythrocyte membrane skeleton and blocking ATP synthesis.</p>Formula:C5H11NOPurity:Min. 95%Molecular weight:101.15 g/molD,L-Threo-b-hydroxy aspartic acid
CAS:<p>D,L-Threo-b-hydroxy aspartic acid is a stereoselective synthetic amino acid that has been used to study the uptake and hydrolysis of D,L-threo-b-hydroxy aspartic acid by rat brain synaptosomes. It has also been used in the synthesis of an L-alanine analogue with the same stereochemistry at the chiral center. The stereoselective synthesis of this compound is achieved by epimerization reaction using d-alanine as a starting material. Threo bhda has been shown to inhibit glutamate release from neurons and stimulate GABA release in synaptosomes, which may be due to its ability to bind to ion channels. Threo bhda has also been found to inhibit the binding of radioactive thymidine to calf thymus DNA with a high degree of stereoselectivity.</p>Formula:C4H7NO5Purity:Min. 95%Molecular weight:149.1 g/molMethyl 6-Bromo-1-Methyl-1H-Indole-2-Carboxylate
CAS:Controlled Product<p>Please enquire for more information about Methyl 6-Bromo-1-Methyl-1H-Indole-2-Carboxylate including the price, delivery time and more detailed product information at the technical inquiry form on this page</p>Formula:C11H10BrNO2Purity:Min. 95%Molecular weight:268.11 g/molBoc-D-glutamic acid-γ-tert-butyl ester
CAS:<p>Please enquire for more information about Boc-D-glutamic acid-gamma-tert-butyl ester including the price, delivery time and more detailed product information at the technical inquiry form on this page</p>Formula:C14H25NO6Purity:Min. 95%Molecular weight:303.35 g/mol(6a,11b,16a)-21-(Acetyloxy)-9-bromo-6-fluoro-11-hydroxy-16-methyl-pregna-1,4-diene-3,20-dione
CAS:Controlled Product<p>Please enquire for more information about (6a,11b,16a)-21-(Acetyloxy)-9-bromo-6-fluoro-11-hydroxy-16-methyl-pregna-1,4-diene-3,20-dione including the price, delivery time and more detailed product information at the technical inquiry form on this page</p>Formula:C24H30BrFO5Purity:Min. 95%Molecular weight:497.39 g/molN-Acetyl-L-proline
CAS:<p>N-Acetyl-L-proline is a metabolite of proline that has been shown to have a role in the development of metabolic disorders. It is an amide that has a hydroxyl group and a protonated nitrogen atom. N-Acetyl-L-proline is present in a model system that can be used to study the frequency shift phenomenon. This compound also undergoes michaelis–menten kinetics, which are used to describe enzyme activity and the velocity of reactions with high concentrations of substrate. N-Acetyl-L-proline has been found to have protease activity and intramolecular hydrogen bonding. It also forms hydrogen bonds with other molecules, such as fatty acids, which are involved in conformational properties.</p>Formula:C7H11NO3Purity:Min. 95%Molecular weight:157.17 g/mol2-(Chloromethyl)-3-(2-methoxyphenyl)quinazolin-4(3H)-one
CAS:Controlled Product<p>Please enquire for more information about 2-(Chloromethyl)-3-(2-methoxyphenyl)quinazolin-4(3H)-one including the price, delivery time and more detailed product information at the technical inquiry form on this page</p>Formula:C16H13ClN2O2Purity:Min. 95%Molecular weight:300.74 g/mol2,5-Dichloro-4-methoxybenzoic acid
CAS:<p>2,5-Dichloro-4-methoxybenzoic acid is a synthetic herbicide that inhibits the enzyme 5-enolpyruvylshikimate-3-phosphate synthase (EPSPS). This enzyme is necessary for the synthesis of aromatic amino acids. 2,5-Dichloro-4-methoxybenzoic acid is used as a selective herbicide in plants grown in vitro to eliminate weeds. It is also used to control populations of wild plants and grasses. 2,5-Dichloro-4-methoxybenzoic acid has been shown to inhibit the growth of glyphosate resistant weed species by inhibiting EPSPS activity.</p>Purity:Min. 95%Fmoc-3-nitro-L-phenylalanine
CAS:<p>Please enquire for more information about Fmoc-3-nitro-L-phenylalanine including the price, delivery time and more detailed product information at the technical inquiry form on this page</p>Formula:C24H20N2O6Purity:Min. 98 Area-%Color and Shape:White PowderMolecular weight:432.43 g/molMiraculin (1-20)
CAS:<p>N-terminal sequence of the taste-modifying 191 amino acid-containing protein miraculin.Supplied as the TFA salt</p>Formula:C88H146N26O34Purity:Min. 95%Molecular weight:2,112.26 g/mol7-Methyluric acid
CAS:Controlled Product<p>7-Methyluric acid is a purine derivative that is excreted in the urine. This compound can be used to measure the metabolic rate of an individual. 7-Methyluric acid reacts with caffeine to produce methylxanthines and uric acid, which are then measured by chromatographic methods. In order to measure the metabolic rate, a known amount of caffeine is given orally to Sprague-Dawley rats for a period of time, followed by measurement of 7-methyluric acid in their urine samples. The results show that the metabolic rate increases linearly with time.</p>Formula:C6H6N4O3Purity:Min. 95%Color and Shape:PowderMolecular weight:182.14 g/mol2-(3-Methoxyphenyl)piperidine
CAS:<p>Please enquire for more information about 2-(3-Methoxyphenyl)piperidine including the price, delivery time and more detailed product information at the technical inquiry form on this page</p>Formula:C12H17NOPurity:Min. 95%Color and Shape:PowderMolecular weight:191.27 g/molAcetyl-L-isoleucine
CAS:<p>Acetyl-L-isoleucine is a molecule that has been shown to inhibit the dehydrogenase enzyme. It can be synthesized from acetyl chloride and isomers of L-isoleucine in the presence of a metal catalyst, such as trifluoromethanesulfonic acid. Acetyl-L-isoleucine can also be used in protein synthesis and hydrolysis reactions. The ability of this molecule to bind to metal ions may also account for its antioxidant properties.</p>Formula:C8H15NO3Purity:Min. 95%Molecular weight:173.21 g/mol(±)-N-Methyl-p-methoxyamphetamine
CAS:Controlled Product<p>(±)-N-Methyl-p-methoxyamphetamine (MEM) is a synthetic cannabinoid that is used as an ingredient in the manufacture of designer drugs. MEM can be detected by gas chromatography and mass spectrometry, although it is not possible to distinguish MEM from other synthetic cannabinoids by these methods. MEM produces no significant adverse effects on human liver, but may have serious adverse effects on the heart and blood vessels. The drug can be found in urine samples with a chemical ionization detector or electrochemical detector. <br>The analytical method for MEM detection is based on liquid chromatography-tandem mass spectrometry (LC/MS/MS). The LC/MS/MS technique separates and identifies compounds by creating ions through the use of an electric field. This method has been shown to accurately detect MEM, while also eliminating false positives due to its specificity.</p>Formula:C11H17NOPurity:Min. 95%Molecular weight:179.26 g/molFmoc-4-(3-carboxymethyl-2-keto-one-benzimidazolyl)piperidine
CAS:Controlled Product<p>Please enquire for more information about Fmoc-4-(3-carboxymethyl-2-keto-one-benzimidazolyl)piperidine including the price, delivery time and more detailed product information at the technical inquiry form on this page</p>Formula:C29H27N3O5Purity:Min. 95%Molecular weight:497.54 g/mol1-(4-Amino-3,5-dichloro-phenyl)-2-bromo-ethanone
CAS:<p>Please enquire for more information about 1-(4-Amino-3,5-dichloro-phenyl)-2-bromo-ethanone including the price, delivery time and more detailed product information at the technical inquiry form on this page</p>Formula:C8H6BrCl2NOPurity:Min. 95%Molecular weight:282.95 g/mol7-Bromo-1-methyl-1H-imidazo[4,5-c]pyridine
CAS:<p>Please enquire for more information about 7-Bromo-1-methyl-1H-imidazo[4,5-c]pyridine including the price, delivery time and more detailed product information at the technical inquiry form on this page</p>Formula:C7H6BrN3Purity:Min. 95%Molecular weight:212.05 g/molMethyl 3-amino-5-fluoro-1-methyl-1H-indole-2-carboxylate
CAS:Controlled Product<p>Please enquire for more information about Methyl 3-amino-5-fluoro-1-methyl-1H-indole-2-carboxylate including the price, delivery time and more detailed product information at the technical inquiry form on this page</p>Formula:C11H11FN2O2Purity:Min. 95%Molecular weight:222.22 g/molPeptide YY (canine, mouse, porcine, rat)
CAS:<p>Peptide YY (PYY) is a peptide hormone that inhibits gastric emptying and increases intestinal transit time. This peptide can be given as an intubation, perfusion, or intravenous infusion to increase the absorption of nutrients. It also has the potential to reduce body weight in obese people. PYY is a potent activator of protein synthesis and it has been shown to stimulate lipolysis in adipocytes. PYY is found in the ileum and colon, where it may have its effects on appetite suppression and regulation of gastrointestinal motility.</p>Formula:C190H288N54O57Purity:Min. 95%Color and Shape:PowderMolecular weight:4,240.65 g/mol1-Methyl-1,3-dihydro-2H-imidazol-2-one
CAS:<p>1-Methyl-1,3-dihydro-2H-imidazol-2-one is a chemical compound with the formula CHN. It has been used as a precursor to other compounds and can be prepared by reaction of methanol with chlorine or chloramine. 1,3-Dihydroimidazole reacts with UV light to generate photoproducts that contain pyrimidine or pyridinium rings. It is also reactive with chloride ion and can be used as a raw material for organic synthesis. 1,3-Dihydroimidazole can also be synthesized from chlorinated methanesulfonate esters.</p>Formula:C4H6N2OPurity:Min. 95%Molecular weight:98.1 g/mol2-Methyl-1-propanol
CAS:Controlled Product<p>2-Methyl-1-propanol is a small molecule that inhibits the activity of certain enzymes. It is an inhibitor of alcohol dehydrogenase, which converts ethanol to acetaldehyde. 2-Methyl-1-propanol also inhibits the enzyme pyruvate decarboxylase, which catalyzes the conversion of pyruvic acid to acetaldehyde. These two effects result in increased levels of acetaldehyde in the blood and reduced levels of acetate in the blood. The effect on alcohol dehydrogenase has been shown in recombinant cells and in yeast cells with a mutation that leads to decreased alcohol dehydrogenase activity. 2-Methyl-1-propanol has been shown to inhibit the growth of wild type strains but not mutant strains of Escherichia coli, suggesting that its physiological effects are due to inhibition of alcohol dehydrogenase and pyruvate decarboxylase activities.</p>Formula:C4H10OPurity:Min. 95%Color and Shape:Clear LiquidMolecular weight:74.12 g/mol2-Methyl-3-buten-2-ol
CAS:<p>2-Methyl-3-buten-2-ol is a reactive oxygenated compound that can be found in the environment. It is produced by the oxidation of glyoxal, glycolaldehyde, and other simple sugars. 2-Methyl-3-buten-2-ol has been found to have toxic effects on wild type strains of Escherichia coli, including inhibition of growth and induction of cell death. In addition, 2-methyl-3 buten 2 ol has been shown to react with other molecules in the environment to produce epoxides. This compound can also be found in some foods and beverages as a result of its presence as a natural component or from contamination during processing. !-- END--></p>Formula:C5H10OPurity:Max. 98%Molecular weight:86.13 g/mol4-Chloro-2-methoxy-5-methylaniline
CAS:<p>4-Chloro-2-methoxy-5-methylaniline is a dye molecule that is used in the synthesis of other molecules, such as diketene. It is also used as a solvent, coupling agent, and a dye molecule. This compound can be synthetically prepared by reacting naphthylamine with pyrazolone. The reaction requires catalytic amounts of polyvalent metal salts, such as zinc chloride or iron(III) chloride. The halogenation of 4-chloro-2-methoxy-5-methylaniline to produce 2,4,5-trichlorophenol can be achieved by diazotising the molecule with sodium nitrite and potassium dichromate. 4-Chloro-2-methoxy-5 methylaniline's substituents are methyl groups on the phenyl ring (Cl) and chlorine atoms (C1). Derivatives of this</p>Formula:C8H10ClNOPurity:Min. 95%Molecular weight:171.62 g/molFormyl-DL-Trp-OH
CAS:<p>Formyl-DL-Trp-OH is a hydrophobic, noncompetitive inhibitor of n-acetyl-dl-tryptophan synthase. It has been shown to bind to human albumin and erythrocyte membranes. Formyl-DL-Trp-OH is also an inhibitor of the enzyme amide hydrolysis in the metabolism of tryptophan. This drug can be used as a substrate in clinical chemistry for measuring amide hydrolysis. The binding constants of this compound have been determined using ultraviolet absorption and hydrogen bond measurements. This drug can be used in chromatographic methods to separate n-acetyl-dl-tryptophan from other related compounds in urine samples.</p>Formula:C12H12N2O3Purity:Min. 95%Molecular weight:232.24 g/mol(1-Methyl-1H-benzimidazol-2-yl)methanol
CAS:Controlled Product<p>1-Methyl-1H-benzimidazol-2-yl)methanol is a mononuclear, ligand anion with a sulfate group. The compound has a molecular weight of 180.07 and its chemical formula is C6H5NOSO3S. It is soluble in water and alcohols, but insoluble in ethers and chloroform. 1-Methyl-1H-benzimidazol-2-yl)methanol reacts with oxygen to form the corresponding peroxide, which has a boiling point of 228°C at 760 mm Hg pressure. This compound also reacts with nitric acid to form the corresponding nitrate salt, which can be precipitated by adding sodium chloride or ammonium chloride.</p>Formula:C9H10N2OPurity:Min. 95%Molecular weight:162.19 g/mol2-Methoxy promazine
CAS:Controlled Product<p>2-Methoxy promazine is a phenothiazine antipsychotic drug which has been used to treat chronic schizophrenia. It binds to the D2 receptor, and it is one of the most potent antipsychotic drugs for this receptor. 2-Methoxy promazine also binds to dopamine receptors, with a binding constant of 0.1 nM. 2-Methoxy promazine may be useful in the treatment of bowel disease because it has been shown to decrease bowel motility and increase colonic tone. 2-Methoxy promazine is not metabolized by cytochrome P450 enzymes, but it does have photochemical properties that can cause skin damage when exposed to sunlight. It is also an analog of promethazine, which belongs to the class of phenothiazine drugs. Promethazine is synthesized from 2-methylaminophenol and methylamine through a series of transfer reactions and hydrogen bonding.</p>Formula:C18H22N2OSPurity:Min. 95%Color and Shape:PowderMolecular weight:314.45 g/molN-Formyl-L-leucine
CAS:<p>N-Formyl-L-leucine, also known as N-formyl-L-leucine amide, is an amino acid that is used in the biosynthesis of formic acid. It is a diastereomer of L-leucine and has been shown to activate metabotropic glutamate receptors, which are involved in the regulation of pain and inflammation. N-Formyl-L-leucine has also been shown to be an endocannabinoid that binds to cannabinoid receptors. This amino acid may be synthesized from glutamate by the enzymes glutamate formyltransferase or formyltetrahydrofolate synthetase. The functional groups on this molecule include a formyl group and a fatty acid group, which are attached at carbons 1 and 2 respectively. Formylation of leucine occurs through the addition of a methylene group to the alpha carbon atom with concomitant elimination of water. A synthase gene for this molecule</p>Formula:C7H13NO3Purity:Min. 95%Molecular weight:159.18 g/mol4-Phenylphenol
CAS:<p>4-Phenylphenol is a phenolic compound that is used in the synthesis of other compounds. 4-Phenylphenol was found to react with rat liver microsomes and showed a hydroxyl group as its reactive site. 4-Phenylphenol also inhibited the activities of enzymes such as diazonium salt, sodium carbonate, monoclonal antibodies, analytical methods, light emission and p-hydroxybenzoic acid. The reaction mechanism of 4-Phenylphenol involves hydrogen bonding with human serum biphenyl.</p>Formula:C12H10OPurity:Min. 95%Color and Shape:PowderMolecular weight:170.21 g/molIsovaleryl-Phe-Nle-Sta-Ala-Sta-OH
CAS:<p>Isovaleryl-Phe-Nle-Sta-Ala-Sta-OH (IVAS) is a small molecule that has been shown to be an angiotensin system inhibitor. IVAS blocks the binding site of the angiotensin receptor and prevents the activation of this system. This effect is dose dependent and can be used to treat high blood pressure in humans. IVAS is a long-acting drug and has been shown to be effective in primates as well as humans. The drug is rapidly absorbed from the gastrointestinal tract and eliminated by metabolism, mainly through hydrolysis by esterases or glucuronidases, oxidation by cytochrome P450 enzymes, reduction by glutathione reductase, or conjugation with glucuronic acid. IVAS also specifically binds to markers expressed at high levels in Mycobacterium tuberculosis strains (e.g., ESX-1 secretion system protein) and inhibits cell growth in culture.</p>Formula:C39H65N5O9Purity:Min. 95%Molecular weight:747.96 g/mol3-Methylglutaric acid
CAS:<p>3-Methylglutaric acid is an organic compound that belongs to the group of alkanocarboxylic acids. It has been shown to reduce the formation of malonic acid, which can be toxic to the heart and cause congestive heart failure. 3-Methylglutaric acid also inhibits oxidation catalysts and increases the production of energy in cells by providing electrons. The kinetic data for 3-methylglutaric acid have been determined using a gas chromatography technique on a high-temperature conversion reactor at a pH of 7.0 with a concentration of 0.1 M potassium phosphate buffer (pH 7) and a temperature of 70°C. 3-Methylglutaric acid has been shown to inhibit monoclonal antibody cationic polymerization, which may be due to its reactive nature and its ability to donate hydrogen ions or electrons.</p>Formula:C6H10O4Purity:Min. 95%Molecular weight:146.14 g/mol4-Amino-5-methoxy-2-methyl-N-methylbenzenesulfonamide
CAS:<p>4-Amino-5-methoxy-2-methyl-N-methylbenzenesulfonamide is a surfactant that is used in the chemical industry to dissolve diazotized aromatic amines. It is also used in the preparation of coupling agents, such as naphthol, and hydrochloric acid. 4-Amino-5-methoxy-2-methylbenzenesulfonamide can be prepared by the diazotization of aniline followed by coupling with hydrochloric acid and sodium phosphate. The product can then be purified by recrystallization from a salt solution containing sodium acetate.</p>Formula:C9H14N2O3SPurity:Min. 95%Molecular weight:230.29 g/molL-Methionine sulfoxide
CAS:<p>Methionine sulfoxide is a methionine that has been oxidized to methionine sulfoxide. Methionine sulfoxides are produced through protein oxidation, which is the chemical process of reacting with oxygen in the air or other compounds to form an organic peroxide and superoxide radical. Methionine sulfoxides are found in proteins and are formed as a result of oxidative stress on cells and tissues. The rate constant for the conversion of methionine to methionine sulfoxide is 0.01983 min-1 at pH 7, 25°C. There are two methods of detection: chemiluminescence method and chromatographic analysis. In addition, methionine sulfoxides have natural antioxidant properties that can be used to treat diseases such as Alzheimer's disease and Parkinson's disease, as well as cancer treatments. Methionine sulfoxides have been shown to have a significant effect on wild-type strains of bacteria, reducing their growth rates</p>Formula:C5H11NO3SPurity:Min. 98 Area-%Color and Shape:White PowderMolecular weight:165.21 g/mol4,4,4-Trifluorovaline
CAS:<p>4,4,4-Trifluorovaline is a chemical compound with a trifluoromethyl group that can be synthesized in an efficient method. It has been shown to have the ability to stabilize proteins and enzymes in recombinant systems. The enolate of 4,4,4-trifluorovaline reacts with amides to form allylations. The stereoselective synthesis of 4,4,4-trifluorovaline isomers produces two diastereoisomers that are separated by either chiral chromatography or crystallization. These methods allow for the introduction of 4,4,4-trifluorovaline into cellular systems without affecting the stability of the protein or enzyme.</p>Formula:C5H8F3NO2Purity:Min. 95%Molecular weight:171.12 g/mol4-(2-Chlorophenyl)-9-methyl-6H-thieno[3,2-f][1,2,4]triazolo[4,3-a][1,4]diazepine-2-propanoic acid methyl ester
CAS:Controlled Product<p>Please enquire for more information about 4-(2-Chlorophenyl)-9-methyl-6H-thieno[3,2-f][1,2,4]triazolo[4,3-a][1,4]diazepine-2-propanoic acid methyl ester including the price, delivery time and more detailed product information at the technical inquiry form on this page</p>Formula:C19H17ClN4O2SPurity:Min. 95%Molecular weight:400.88 g/mol5-Bromo-3-methoxybenzaldehyde
CAS:<p>5-Bromo-3-methoxybenzaldehyde is a type of growth factor that is synthesized by cancer cells. It has been shown to have anticancer activity when used in conjunction with other drugs. 5-Bromo-3-methoxybenzaldehyde has been shown to inhibit tumor growth in mice, which may be due to its ability to prevent the activation of PD-L1. This compound interacts with a tetranuclear ligand and can be activated by light.</p>Formula:C8H7BrO2Purity:Min. 95%Color and Shape:PowderMolecular weight:215.04 g/mol7-(Difluoromethyl)-5-methyl[1,2,4]triazolo[1,5-a]pyrimidine-2-carboxylic acid
CAS:<p>Please enquire for more information about 7-(Difluoromethyl)-5-methyl[1,2,4]triazolo[1,5-a]pyrimidine-2-carboxylic acid including the price, delivery time and more detailed product information at the technical inquiry form on this page</p>Formula:C8H6F2N4O2Purity:Min. 95%Molecular weight:228.16 g/mol9-Methyl-b-carboline
CAS:<p>9-Methyl-b-carboline is a phytochemical that belongs to the class of protonated carbon disulphide. It has been shown to inhibit monoamine oxidase and is used in some medications. 9-Methyl-b-carboline has been shown to have physiological function, including growth factor activity and epidermal growth properties. It also inhibits hydroxylase, which is an enzyme that catalyzes the stepwise oxidation of tyrosine and phenylalanine. This compound can be found in plants belonging to the families of Fabaceae, Lamiaceae, and Solanaceae. The compound has been found to act as a secondary messenger in mitochondria by transferring electrons from NADH to coenzyme Q10.</p>Formula:C12H10N2Purity:Min. 98%Color and Shape:Off-White PowderMolecular weight:182.22 g/mol1-Methyl-2-imidazolecarboxaldehyde
CAS:<p>1-Methyl-2-imidazolecarboxaldehyde is a compound that has been studied for its redox potential, which is the measure of the tendency of a molecule to gain or lose electrons. 1-Methyl-2-imidazolecarboxaldehyde has shown to be an excellent candidate as an electrochemical probe. The molecule has also been shown to bind chloride ions in water, forming a tetradentate chelate ring. This type of chelate ring is formed between two nitrogen atoms and four oxygen atoms from the water molecule. The compound forms hydrogen bonds with other molecules in its vicinity, including hepg2 cells and chloride ions.</p>Formula:C5H6N2OPurity:Min. 95%Color and Shape:White To Yellow To Orange Solid Or Liquid (May Vary)Molecular weight:110.11 g/molMethyl 4,5-dimethoxy-1-methyl-1H-indole-2-carboxylate
CAS:Controlled Product<p>Please enquire for more information about Methyl 4,5-dimethoxy-1-methyl-1H-indole-2-carboxylate including the price, delivery time and more detailed product information at the technical inquiry form on this page</p>Formula:C13H15NO4Purity:Min. 95%Molecular weight:249.26 g/molN-tert-Butoxycarbonyl-L-isoleucineamide
CAS:<p>Please enquire for more information about N-tert-Butoxycarbonyl-L-isoleucineamide including the price, delivery time and more detailed product information at the technical inquiry form on this page</p>Formula:C11H22N2O3Purity:Min. 95%Color and Shape:SolidMolecular weight:230.3 g/mol1,2,3,4-Tetrahydro-4,6-dihydroxy-2-methyl-isoquinoline
CAS:<p>1,2,3,4-Tetrahydro-4,6-dihydroxy-2-methyl-isoquinoline is a useful building block in the synthesis of various compounds such as pharmaceuticals and pesticides. It is an intermediate for the preparation of other valuable chemicals such as the antihistamine diphenhydramine, which is used to treat allergies. Tetrahydroisoquinoline can also be used as a reagent to synthesize other chemical compounds. This compound has been used in research as well as commercial applications. Tetrahydroisoquinoline is also a versatile scaffold that can be modified to produce different derivatives with different properties.</p>Formula:C10H13NO2Purity:Min. 95%Color and Shape:White PowderMolecular weight:179.22 g/molMethyl 4-(benzyloxy)-1-methyl-1H-indole-2-carboxylate
CAS:Controlled Product<p>Please enquire for more information about Methyl 4-(benzyloxy)-1-methyl-1H-indole-2-carboxylate including the price, delivery time and more detailed product information at the technical inquiry form on this page</p>Formula:C18H17NO3Purity:Min. 95%Molecular weight:295.33 g/molEthyl5-acetoxy-6-bromo-2-(bromomethyl)-1-methyl-1H-indole-3-carboxylate
CAS:Controlled Product<p>Ethyl 5-acetoxy-6-bromo-2-(bromomethyl)-1-methyl-1H-indole-3-carboxylate is a chemical compound that has been shown to have anti viral activity in vitro. The structure of the compound suggests that it may inhibit the production of inflammatory cytokines. This drug inhibits the activity of enzymes such as hydroxylases and lipases, which are important for the inflammatory process. Ethyl 5-acetoxy-6-bromo-2-(bromomethyl)-1-methyl-1H-indole-3 carboxylate may be an effective treatment for bowel disease and other inflammatory conditions.</p>Formula:C15H15Br2NO4Purity:Min. 95%Molecular weight:433.09 g/mol[(4-Methyl-1H-imidazol-5-yl)methyl]amine hydrochloride
CAS:<p>Please enquire for more information about [(4-Methyl-1H-imidazol-5-yl)methyl]amine hydrochloride including the price, delivery time and more detailed product information at the technical inquiry form on this page</p>Formula:C5H9N3Purity:Min. 95%Molecular weight:111.15 g/mol3-Amino-6-fluoro-2-methylquinazolin-4(3H)-one
CAS:Controlled Product<p>Please enquire for more information about 3-Amino-6-fluoro-2-methylquinazolin-4(3H)-one including the price, delivery time and more detailed product information at the technical inquiry form on this page</p>Formula:C9H8FN3OPurity:Min. 95%Molecular weight:193.18 g/mol4-Methoxy phenethylamine
CAS:Controlled Product<p>4-Methoxy phenethylamine (4MPEA) is a natural compound that has been found to have biological properties. It is a precursor of dopamine and norepinephrine, which are neurotransmitters in the brain. 4MPEA is an irreversible enzyme inhibitor with a hydroxyl group. The kinetic data for this compound has been determined by nitrogen atoms. Gamma-aminobutyric acid (GABA) is involved in the regulation of neuronal excitability and plays an important role in preventing seizures. 4MPEA may have potential as a drug for treating epilepsy or other neurological disorders.</p>Formula:C9H13NOPurity:Min. 95%Molecular weight:151.21 g/molL-Serine amide hydrochloride
CAS:<p>L-Serine amide hydrochloride is a synthetic, anti-HIV drug that is used as an antiviral agent. It inhibits the viral life cycle by inhibiting the activity of acyclic nucleoside phosphonates, which are vital to viral DNA synthesis. L-Serine amide hydrochloride binds to the cyclopentane ring of guanosine and prevents its interaction with the enzyme ribonucleotide reductase. This binding prevents the conversion of guanosine into GTP, thereby preventing HIV from using this molecule in their life cycle. L-Serine amide hydrochloride is not active against cellular proteins or prostaglandins.</p>Formula:C3H8N2O2·HClPurity:Min. 95%Molecular weight:140.57 g/mol(R)-2-((tert-Butoxycarbonyl)amino)-3-methoxypropanoic acid
CAS:<p>(R)-2-((tert-Butoxycarbonyl)amino)-3-methoxypropanoic acid (BAAM) is a potent, orally bioavailable, and pharmacokinetically well-characterized inhibitor of blood coagulation that has been shown to be effective in animal models. BAAM inhibits the activity of tissue factor (TF), an enzyme that initiates the blood coagulation cascade. TF is important for hemostasis because it is activated by contact with blood and tissue factors such as collagen or thrombin. BAAM has shown some promise as a potential treatment for thrombosis, which can lead to heart attacks and strokes.</p>Formula:C9H17NO5Purity:Min. 95%Molecular weight:219.24 g/mol1-Methyl-5-(tributylstannyl)-1H-pyrazole
CAS:Controlled Product<p>Please enquire for more information about 1-Methyl-5-(tributylstannyl)-1H-pyrazole including the price, delivery time and more detailed product information at the technical inquiry form on this page</p>Formula:C16H32N2SnPurity:Min. 95%Molecular weight:371.15 g/mol2-Bromo-3-methylbutenoic acid methyl ester
CAS:<p>Please enquire for more information about 2-Bromo-3-methylbutenoic acid methyl ester including the price, delivery time and more detailed product information at the technical inquiry form on this page</p>Formula:C6H9BrO2Purity:Min. 95%Molecular weight:193.04 g/mol4-Hydrazino-N-methyl benzene methanesulfonamide, hydrochloride (1:1)
CAS:<p>Please enquire for more information about 4-Hydrazino-N-methyl benzene methanesulfonamide, hydrochloride (1:1) including the price, delivery time and more detailed product information at the technical inquiry form on this page</p>Formula:C8H14ClN3O2SPurity:Min. 95%Molecular weight:251.73 g/mol1-Naphthalenylsulfonyl-Ile-Trp-aldehyde
CAS:<p>1-Naphthalenylsulfonyl-Ile-Trp-aldehyde is a recombinant protein that has protease activity. It is a serine protease that cleaves proteins at the amino acid sequence Ser-Xaa-Gly or Ser-Xaa. The recombinant protein has been shown to have proteolytic activity and can be used in assays to measure the amount of β-catenin, collagen, and growth factor in cells. 1-Naphthalenylsulfonyl-Ile-Trp-aldehyde also binds to monoclonal antibodies and can be used as a neutralizing agent for these proteins. This recombinant protein also has been shown to inhibit the growth of lung fibroblasts.</p>Formula:C27H29N3O4SPurity:Min. 95%Color and Shape:PowderMolecular weight:491.6 g/molMethyl 4-methoxybutanoate
CAS:Controlled Product<p>Methyl 4-methoxybutanoate is a polymorphic amine that has been shown to react with sodium salts, such as sodium methoxide, to form a new class of compounds known as oxetanes. The reaction rate is enhanced by the presence of gamma-valerolactone and the oxetane itself. It has been shown that Methyl 4-methoxybutanoate reacts with organometallic reagents to form enantiopure compounds. The kinetic profile of this compound is not yet well understood.</p>Formula:C6H12O3Purity:Min. 95%Molecular weight:132.16 g/molCyclo(-Arg-Gly-Asp-D-Phe-Cys) acetate salt
CAS:<p>Cyclo(-Arg-Gly-Asp-D-Phe-Cys) acetate salt is a peptide that has been modified to be an active targeting agent. It is an amphipathic molecule that can be used to deliver therapeutic agents specifically to cancer cells. Cyclo(-Arg-Gly-Asp-D-Phe-Cys) acetate salt is conjugated to a drug and is taken up by cells through the process of endocytosis. Once inside the cell, the drug is released and binds with the cell membrane, which leads to cell death. The uptake of this peptide has been shown to be pH dependent; it is taken up more readily in acidic environments than in neutral or alkaline environments. This peptide has also been shown to have cytotoxic effects on both MFC7 cells and rat liver cells.</p>Formula:C24H34N8O7SPurity:Min. 95%Molecular weight:578.64 g/mol2-Methylfuran
CAS:<p>2-Methylfuran is a compound that has been used as a catalyst in the synthesis of 2-methylpentane. The presence of nitrogen atoms in the molecule gives it some synergic effect with other catalysts, such as palladium and nickel. 2-Methylfuran can be detected at sensitivities of 10 parts per billion. A kinetic energy of ˜400 kJ/mole and a hydroxyl group give this compound the ability to react with laminar tissue culture cells. 2-Methylfuran is also a solid catalyst for methyl ethyl ketones, which are used in the production of solvents, plastics, and pharmaceuticals. Its transport properties are similar to those of isooctane, making it useful for studies on gas chromatography analysis.</p>Formula:C5H6OPurity:Min. 95%Color and Shape:Clear LiquidMolecular weight:82.1 g/molL-Alaninol-2-chlorotrityl resin
<p>Please enquire for more information about L-Alaninol-2-chlorotrityl resin including the price, delivery time and more detailed product information at the technical inquiry form on this page</p>Purity:Min. 95%1-(Fmoc-amino)-4,9-dioxa-12-dodecanamine·HCl
CAS:Controlled Product<p>Please enquire for more information about 1-(Fmoc-amino)-4,9-dioxa-12-dodecanamine·HCl including the price, delivery time and more detailed product information at the technical inquiry form on this page</p>Formula:C25H34N2O4·HClPurity:Min. 95%Molecular weight:463.01 g/mol1-(4-Methoxy-pyridin-2-yl)-ethanone
CAS:<p>Please enquire for more information about 1-(4-Methoxy-pyridin-2-yl)-ethanone including the price, delivery time and more detailed product information at the technical inquiry form on this page</p>Formula:C8H9NO2Purity:Min. 95%Molecular weight:151.16 g/mol(R,S)-1-Methyl-3-nicotinoylpyrrolidine
CAS:<p>(R,S)-1-Methyl-3-nicotinoylpyrrolidine is a nicotinic acid derivative with a pyrrolidine ring at the 1-position. It is used as an intermediate in the synthesis of other compounds and has been used as a stabilizer for cellulose. The stability study showed that the compound was stable to evaporation and oxidation products in ethanol solutions. The adsorption index (AI) was found to be 0.9.</p>Formula:C11H14N2OPurity:Min. 95%Molecular weight:190.24 g/mol2-Bromo-4-methylacetaphenone
CAS:<p>2-Bromo-4-methylacetophenone is a synthetic compound that inhibits bacterial growth through acetylation of the aromatic ring. It is used in the synthesis of imidazolidinones, which are a class of antibacterial drugs. 2-Bromo-4-methylacetophenone has shown inhibitory activity against MCF-7 breast carcinoma cells and mononuclear cells. It also has been synthesized from phenacyl bromide and potassium carbonate in anhydrous conditions. The crystal system for 2-bromo-4-methylacetophenone is tetragonal with space group P42/mnm.</p>Formula:C9H9BrOPurity:Min. 95%Molecular weight:213.07 g/mol6-Methoxy-2-methylquinolin-4(1H)-one
CAS:<p>6-Methoxy-2-methylquinolin-4(1H)-one is a heterocyclic molecule that has the ability to undergo oxidation reactions. It is an intermediate in the synthesis of other molecules, such as 4-hydroxyquinoline and 4-hydroxybenzaldehyde. The acidity of 6-methoxy-2-methylquinolin-4(1H)-one can be increased by adding alkali, which will cause it to react with hydroxyl and form a phenylhydrazine. When heated with hydrazine, 6-methoxy-2-methylquinolin-4(1H)-one undergoes tautomerism and forms 2-(phenylhydrazinyl) quinoline. The chemical structure of 6-methoxy-2 methylquinolin 4(1H)-one can be detected by analyzing its spectrum (i.e., absorption or emission spectra). This chemical shows bands</p>Formula:C11H11NO2Purity:Min. 95%Molecular weight:189.21 g/mol1-N-Boc-4-bromopiperidine
CAS:<p>1-N-Boc-4-bromopiperidine is a Grignard reagent that is used for the preparation of amines. It can be prepared by reacting 1-bromo-4-methylpiperidine with magnesium metal in an ether solution. This compound has been shown to be efficient for the synthesis of biologically active molecules, such as dihydropyridones and isoquinolines. This product may cause skin irritation.</p>Formula:C10H18BrNO2Purity:Min. 95%Color and Shape:White To Light (Or Pale) Yellow Solid Or Liquid (May Vary)Molecular weight:264.16 g/mol(R)-2-Methylpyrrolidine
CAS:<p>(R)-2-Methylpyrrolidine is a synthetic quaternary ammonium compound that is a reaction yield enhancer. It has been shown to have histamine-lowering effects in vitro and in vivo. The pharmacokinetic properties of (R)-2-Methylpyrrolidine are characterized by moderate distribution and elimination half-life times. It is also active at the h3 receptors, which may be related to its wake-promoting effects. (R)-2-Methylpyrrolidine has been shown to increase the levels of amines in the brain, which may be associated with its antidepressant activity. This drug also has environmental effects such as increasing the absorption of heavy metal ions such as lead and cadmium.</p>Formula:C5H11NPurity:Min. 95%Color and Shape:Clear LiquidMolecular weight:85.15 g/molFmoc-homocyclohexyl-L-alanine
CAS:<p>Please enquire for more information about Fmoc-homocyclohexyl-L-alanine including the price, delivery time and more detailed product information at the technical inquiry form on this page</p>Formula:C25H29NO4Purity:Min. 95%Color and Shape:White PowderMolecular weight:407.5 g/mol(6-Hydroxy-2-methyl-4-oxoquinazolin-3(4H)-yl)acetic acid
CAS:Controlled Product<p>Please enquire for more information about (6-Hydroxy-2-methyl-4-oxoquinazolin-3(4H)-yl)acetic acid including the price, delivery time and more detailed product information at the technical inquiry form on this page</p>Formula:C11H10N2O4Purity:Min. 95%Molecular weight:234.21 g/mol1-Methylguanidine HCl
CAS:<p>1-Methylguanidine HCl is a denaturing agent that has been used in the determination of nitrogen atoms in organic compounds. It has also been shown to have biological properties, such as anti-inflammatory activity and modulation of nitric oxide synthase. 1-Methylguanidine HCl is used in medicine as an anti-inflammatory drug, but it is not currently approved for medical use. 1-Methylguanidine HCl may be used therapeutically to reduce serum levels of creatine, which is synthesized in the liver and excreted by the kidney.</p>Purity:Min. 95%Ne-(trimethyl)-L-lysine chloride
CAS:<p>Please enquire for more information about Ne-(trimethyl)-L-lysine chloride including the price, delivery time and more detailed product information at the technical inquiry form on this page</p>Formula:C9H21ClN2O2Purity:Min. 95%Molecular weight:224.73 g/mol


