
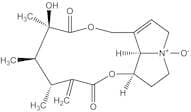
CAS 101687-28-9
:Sort by
Purity (%)
0
100
|
0
|
50
|
90
|
95
|
100
Found 8 products.
Senecivernine-N-oxide 100 µg/mL in Water
CAS:Controlled ProductFormula:C18H25NO6Color and Shape:Single SolutionMolecular weight:351.3942Senecivernine N-oxide
CAS:Natural alkaloidFormula:C18H25NO6Purity:≥ 98.0 % (HPLC)Color and Shape:PowderMolecular weight:351.39Senecivernine N-oxide
CAS:Senecivernine N-oxide is a chemical compound classified as a pyrrolizidine alkaloid N-oxide derivative. It is derived from plants within the Senecio genus, known for the presence of toxic alkaloids. The compound operates primarily by inhibiting protein synthesis, due to its interaction with cellular components, leading to potential hepatotoxicity. Senecivernine N-oxide serves as an important tool in scientific research, particularly in studies focusing on toxicology and the biochemical pathways involved in alkaloid-induced liver damage. Researchers utilize this compound to better understand the mechanisms of toxicity and to develop potential therapeutic interventions or risk assessment models for pyrrolizidine alkaloid exposure.Formula:C18H25NO6Purity:Min. 95%Color and Shape:PowderMolecular weight:351.39 g/mol






