
Toxicology
Found 13580 products of "Toxicology"
Petromyzonol 24-Sulfate Sodium Salt
CAS:Controlled ProductFormula:C24H41O7S·NaColor and Shape:NeatMolecular weight:496.63N-Isopropyl Noratropine
CAS:Controlled ProductImpurity Ipratropium EP Impurity E
Applications N-Isopropyl Noratropine is a Noratropine derivative, an intermediate in the production of Ipratropium.
References Simms, P., et al.: J. Pharm. Biomed. Anal., 17, 841 (1998),Formula:C19H27NO3Color and Shape:NeatMolecular weight:317.427α-Hydroxy-4-cholesten-3-one-d7
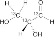
CAS:Controlled ProductApplications Labelled 7α-Hydroxy-4-cholesten-3-one (H825130). 7α-Hydroxy-4-cholesten-3-one is a metabolite of Cholesterol (C432501).
References Connor, W., et al.: J, Clin. Invest., 48, 1363 (1969),Formula:C27H37D7O2Color and Shape:White To Off-WhiteMolecular weight:407.68Normaprotiline Hydrochloride
CAS:Controlled ProductFormula:C19H21NColor and Shape:NeatMolecular weight:263.382,3-Pyridinedicarboxylic Acid-d3 (Major)
CAS:Controlled ProductApplications A labelled inhibitor of glucose synthesis.
References Garcia-Salguero, L. et al.: Arch. Int. Physiol., Biochim. Biophys., 99, 237, (1991); Martirosyan, A., et al.: Biochem. Pharmacol., 68, 1729 (2004);Formula:C7D3H2NO4Color and Shape:NeatMolecular weight:170.143-Sulfoglycolithocholic Acid Disodium Salt
CAS:Controlled ProductStability Hygroscopic
Applications 3-Sulfoglycolithocholic Acid Disodium Salt is a derivative of Lithocholic acid (L469180). Lithocholic acid (LCA) is a putative tumor promoter,that is shown to be able to inhibit mammalian DNA polymerase β.
References Ogawa, A., et al.: Jap. J. Canc. Res., 89, 1154 (1998)Formula:C26H41NO7S·2NaColor and Shape:NeatMolecular weight:557.65Betamethasone 21-Propionate
CAS:Controlled ProductImpurity Clobetasol Propionate EP Impurity K / Betamethasone Dipropionate EP Impurity C
Applications Betamethasone 21-Propionate (Clobetasol Propionate EP Impurity K) is a degradation product of Betamethasone. Glucocorticoid.
References Andersson, P., et al.: J. Pharm. Pharmacol., 36, 763 (1984), Wurthwein, G., et al.: Biopharm. Drug Dispos., 11, 381 (1990), Samtani, M., et al.: J. Pharm. Sci., 93, 726 (2004), Samtani, M., et al.: Drug Metab. Dispos., 33, 1124 (2005),Formula:C25H33FO6Color and Shape:Off-WhiteMolecular weight:448.52Methyltriphenylphosphonium Bromide
CAS:Applications Methyltriphenylphosphonium Bromide is a lipophilic molecule with a cation allowing for it to be used to deliver molecules to specific cell components. Also considered an antineoplastic agent.
References Selassie, C.D. et al.: J. Med. Chem., 33, 1914 (1990); Venkatachalam, M.A et al.: Kidney Int., 49, 449 (1996);Formula:C19H18P·BrColor and Shape:Off-WhiteMolecular weight:357.2217β-Dihydro Equilin 3-Sulfate Sodium Salt
CAS:Stability Hygroscopic
Applications A metabolite of Equilin (E592800).
References Enmark, E., et al.: J. Clin. Endocrinol. Metab., 82, 4258 (1997), Wang, Z., et al.: J. Med. Chem., 43, 2419 (2000), Jiang, X., et al.: Steroids, 71, 334 (2006),Formula:C18H21O5S·NaColor and Shape:NeatMolecular weight:372.41Chloro Chlorthalidone
CAS:Controlled ProductFormula:C14H9Cl2NO2Color and Shape:NeatMolecular weight:294.13Finasteride 2-(2-Methylpropanol)amide
CAS:Controlled ProductFormula:C23H36N2O3Color and Shape:NeatMolecular weight:388.54Riboflavin Phosphate Sodium Salt (~70%)
CAS:Stability Hygroscopic
Applications One of the bioactive forms of Riboflavin. Nutritional factor found in milk, eggs, malted barley, liver, kidney, heart, leafy vegetables. Richest natural source is yeast. Minute amounts present in all plant and animal cells. Vitamin (enzyme cofactor).
References Unna, K., et al.: J. Pharmacol. Exp. Ther., 76, 75 (1942), Rivlin, et al.: N. Engl. J. Med., 283, 463 (1970), Al-Shammary, F.J., et al.: Anal. Profiles Drug Subs., 19, 429 (1990),Formula:C17H20N4O9P·NaPurity:~70%Color and Shape:Yellow-OrangeMolecular weight:478.334,4'-Bis(4-amino-1-naphthylazo)-2,2'-stilbenedisulfonic Acid (Technical Grade)
CAS:Controlled ProductApplications A new indicator for the determination of organic acid anhydrides by the morpholine method.
References Ruch, J.E., et al.: Anal. Chem., 47, 2057 (1975),Formula:C34H26N6O6S2Color and Shape:NeatMolecular weight:678.74Dabigatran Carboxamide Ethyl Ester
CAS:Applications Dabigatran Carboxamide Ethyl Ester is an impurity of Dabigatran Etexilate Mesylate (D100150) which is a nonpeptide, direct thrombin inhibitor.
References Hauel, N., et al.: J. Med. Chem., 45, 1757 (2002); Mungall, D., et al.: Curr. Opin. Invest. Drugs, 3, 095 (2002); Stangier, J., et al.: J. Clin. Pharmacol., 45, 555 (2005)Formula:C27H28N6O4Color and Shape:Off-WhiteMolecular weight:500.55cis-10-Hydroxy Nortriptyline
CAS:Applications A metabolite of Nortriptyline (N837000).
References Callaghan, R., et al.: J. Biol. Chem., 268, 16059 (1993), Dagenais, C., et al.: Biochem. Pharmacol., 67, 269 (2004), Doran, A., et al.: Drug Metab. Dispos., 33, 165 (2005),Formula:C19H21NOColor and Shape:NeatMolecular weight:279.38(4R,6S)-6-[(1E)-2-[4-(4-Fluorophenyl)-6-(1-methylethyl)-2-[methyl(methylsulfonyl)amino]-5-pyrimidinyl]ethenyl]-2,2-dimethyl-1,3-dioxane-4-acetic Acid 1,1-Dimethylethyl Ester
CAS:Controlled ProductImpurity Rosuvastatin EP Impurity F
Applications (4R,6S)-6-[(1E)-2-[4-(4-Fluorophenyl)-6-(1-methylethyl)-2-[methyl(methylsulfonyl)amino]-5-pyrimidinyl]ethenyl]-2,2-dimethyl-1,3-dioxane-4-acetic Acid 1,1-Dimethylethyl Ester (Rosuvastatin EP Impurity F) is a Rosuvastatin (R700500) intermediate as HMG-CoA reductase inhibitor.
References Beck, et al.: J. Med. Chem., 33, 52 (1999),Formula:C29H40FN3O6SColor and Shape:NeatMolecular weight:577.714-Hydroxy Estradiol 1-N7-Guanine
CAS:Controlled ProductApplications 4-Hydroxy Estradiol 1-N7-Guanine is an estrogen metabolite formed with DNA which can lead to the mutations that initiate breast, prostate, and other types of cancer. Estrogen-DNA depurinating adducts as biomarkers of cancer risk and their use in cancer detection and prevention.
References Chakravarti, D., et al.: Mutat. Res., 456, 17 (2000), Liehr, J., et al.: Endocr. Rev., 21, 4054 (2000), Chakravarti, D., et al.: Oncogene, 20, 7945 (2001), Cavalieri, E., et al.: Chem. Res. Toxicol., 14, 1041 (2002),Formula:C23H27N5O4Color and Shape:NeatMolecular weight:437.49Nor Verapamil Hydrochloride
CAS:Impurity Verapamil EP Impurity J HCl
Applications Nor Verapamil Hydrochloride (Verapamil EP Impurity J HCl) is a metabolite of Verapamil.
References Mutlib, A.E., et al.: The Journal of Pharm. & Exp. Therapeutics, 252, 2, 593 (1989)Formula:C26H37ClN2O4Color and Shape:WhiteMolecular weight:477.04all-trans 5,6-Epoxy Retinoic Acid
CAS:Controlled ProductStability Light Sensitive, Temperature Sensitive
Applications A metabolite of all-trans Retinoic acid (R250200).
References Idres, N., et al.: Cancer Res., 61, 700 (2001), Taimi, M., et al.: J. Biol. Chem., 279, 77 (2004), Vermot, J., et al.: Science, 308, 563 (2005),Formula:C20H28O3Color and Shape:Light YellowMolecular weight:316.43Atorvastatin Methyl Ester
CAS:Controlled ProductApplications Atorvastatin impurity. Atorvastatin Methyl Ester
References Graul, A., et al.: Drugs Future, 22, 956 (1997),Formula:C34H37FN2O5Color and Shape:White To Off-WhiteMolecular weight:572.67D,L-N,N-Didesmethyl-O-desmethyl Venlafaxine Hydrochloride
CAS:Applications A metabolite of Venlafaxine.
Formula:C14H22ClNO2Color and Shape:NeatMolecular weight:271.78Nor Cholic Acid
CAS:Controlled ProductApplications A novel bile acid, an analogue of Cholic acid (C432600).
References Yamaga, N., et al.: J. Biochem., 116, 1123 (1994),Formula:C23H38O5Color and Shape:NeatMolecular weight:394.54Thioaildenafil
CAS:Applications A new Sildenafil (S435000) analogue.
References Balayssac, S., et al.: J. Pharm. Biomed. Anal., 50, 602 (2009),Formula:C23H32N6O3S2Color and Shape:NeatMolecular weight:504.679-Deschloro-9-bromo Beclomethasone Dipropionate
CAS:Controlled ProductImpurity Beclomethasone Dipropionate EP Impurity D
Applications 9-Deschloro-9-bromo Beclomethasone Dipropionate (Beclomethasone Dipropionate EP Impurity D) is an impurity of Beclomethasone Dipropionate (B131030).
References Shou, M. et al.: J. Pharmac. Biomed. Anal., 50, 356 (2009); Johnston, S. et al.: J. Chrom. Sci., 48, 733 (2010);Formula:C28H37BrO7Color and Shape:NeatMolecular weight:565.49Daidzein 7-β-D-Glucuronide 4’-Sulfate Disodium Salt
CAS:Stability Very Hygroscopic
Applications Mixed conjugate of dietary phytoestrogen.
References Adlercreutz, H;., et al.: J. Steroid Mol. Biol., 52, 97 (1995), Kinjo, J., et al.: Biol. Pharm. Bull., 27, 185 (2004),Formula:C21H16Na2O13SColor and Shape:NeatMolecular weight:554.39(R)-(+)-Carvedilol
CAS:Controlled ProductStability Hygroscopic
Applications The optically active isomer of Carvedilol (C184625), a nonselective ß-adrenergic blocker with a1-blocking activity. An antihypertensive used in the treatment of congestive heart failure.
Not a dangerous good if item is equal to or less than 1g/ml and there is less than 100g/ml in the package
References Hirohashi, M., et al.: Arzneim.-Forsch., 40, 735 (1990),Formula:C24H26N2O4Color and Shape:Off White SolidMolecular weight:406.47Betamethasone 17-Propionate
CAS:Controlled ProductImpurity Clobetasol Propionate EP Impurity A / Betamethasone Dipropionate EP Impurity B
Applications Betamethasone 17-Propionate (Clobetasol Propionate EP Impurity A) is a degradation product of Betamethasone. Glucocorticoid.
References Andersson, P., et al.: J. Pharm. Pharmacol., 36, 763 (1984), Wurthwein, G., et al.: Biopharm. Drug Dispos., 11, 381 (1990), Samtani, M., et al.: J. Pharm. Sci., 93, 726 (2004), Samtani, M., et al.: Drug Metab. Dispos., 33, 1124 (2005),Formula:C25H33FO6Color and Shape:Off-WhiteMolecular weight:448.52Brompromazine Hydrochloride
CAS:Controlled ProductFormula:C17H19BrN2S·HClColor and Shape:NeatMolecular weight:399.78Testosterone Cypionate
CAS:Controlled ProductApplications Testosterone Cypionate is an anabolic steroid with androgenic properties. Testosterone Cypionate is used for testosterone therapy in males with hypogonadism.Controlled Substance.
References Rabkin, J. G., et al.: J. Clin. Psychopharmacol., 19, 19 (1999); Hajjar, R., et al.: J. Clin. Endocrinol. Metab., 82, 3793 (1997); Rhoden, E., et al.: J. Sex Med., 7, 277 (2010);Formula:C27H40O3Color and Shape:NeatMolecular weight:412.6DL-Erythro Ritalinic Acid
CAS:Controlled ProductApplications A major metabolite of Methylphenidate.
References Redalieu, E., et al.: Drug Metab. Dispos., 10, 708 (1982), Brewer, E., et al.: J. Pharm. Sci., 87, 395 (1998), Shah, V., et al.: Pharm. Res., 17, 1551 (2000), Tanaka, N., et al.: Anal. Chem., 73, 420 (2001),Formula:C13H17NO2Color and Shape:WhiteMolecular weight:219.28rac 2-Isopropyl Pentanoic Acid
CAS:Controlled ProductImpurity Valproic Acid USP Related Compound B
Applications A constitutional isomer of Valproic acid; a potent anticonvulsant. Sodium valproate impurity C. Valproic Acid USP Related Compound B.
References Levy, R., et al.: Pharm. Res., 8, 551 (1991), Barton, M., et al.: Epilepsy Res., 47, 217 (2001), Fox, A., et al.: Pain, 105, 355 (2003), Archer, D., et al.: Anesth. Analg., 104, 180 (2007),Formula:C8H16O2Color and Shape:Colourless To Light YellowMolecular weight:144.214-Androsten-17α-methyl-d3-17β-ol-3-one
CAS:Controlled ProductApplications Labelled Androgen. It has been used as an androgenic agent. Controlled substance (anabolic steroid).
References Bichet, N., et al.: Toxicol. Appl. Pharmacol., 106, 509 (1990), Gustafson, D., et al.: Toxicol. Sci., 53, 245 (2000), Copple, B., et al.: Toxicol. Sci., 77, 172 (2004), Takashima, K., et al.: Life Sci., 78, 2787 (2006),Formula:C202H3H27O2Color and Shape:Off-WhiteMolecular weight:305.47Norepinephrine Sulfonic Acid
CAS:Applications Norepinephrine Sulfonic Acid is a derivative of DL-Norepinephrine Hydrochloride (N674500), antagonist of dibutyryl cyclic-AMP in the regulation of narcosis. Norepinephrine modulates human dendritic cell activation by altering cytokine release.
Not a dangerous good if item is equal to or less than 1g/ml and there is less than 100g/ml in the package
References Piguet, P., et al.: J. Exp. Med., 173, 673 (1991), Hosoi, J., et al.: Nature, 363, 159 (1993), Elenkov, I., et al.: Pharmacol. Rev., 52, 595 (2000), Kaplan, D., et al.: Immunity, 23, 611 (2005),Formula:C8H11NO5SColor and Shape:Red To GreyMolecular weight:233.243-Methyl-4-nitroimino-tetrahydro-1,3,5-oxadiazine
CAS:Stability Light Sensitive
Applications 3-Methyl-4-nitroimino-tetrahydro-1,3,5-oxadiazine is a useful synthetic intermediate in the synthesis of Thiamethoxam (T344180); a neonicotinoid insecticide.
References Maienfisch, P., et al.: Z. Naturforsch. B., 61, 353 (2006); Fan, W., et al.: Shanghai Huagong, 27, 25 (2002); Maienfisch, P., et al.: Chimia, 57, 710 (2003); Oliver, J., et al.: J. Environ. Horticult., 28, 135 (2010); Ghosh, A., et al.: J. Entomol. Res., 34, 35 (2010)Formula:C4H8N4O3Color and Shape:NeatMolecular weight:160.13Iprovalicarb-d8
CAS:Controlled ProductApplications Iprovalicarb-d8 is the deuterated form of Iprovalicarb (I747500), which is a systematic fungicide. Iprovalicarb is used for the control of pathogenic fungi from the oomycetes class in grapes, potatoes, tomatoes and other crops.
References Stubler, D., et al.: Pflanzensch.-Nach. Bay., 52, 33 (1999); Stenzel, K., et al.: Bright. Crop Prot. Conf. Pests Dis., 2, 367 (1998);Formula:C18D8H20N2O3Color and Shape:Off-WhiteMolecular weight:328.4758Sulfometuron Methyl-D3
CAS:Controlled ProductFormula:C15D3H13N4O5SColor and Shape:NeatMolecular weight:367.395(R,R)-Ethambutol-d4 Dihydrochloride
CAS:Controlled ProductStability Hygroscopic
Applications (R,R)-Ethambutol-d4 Dihydrochloride is the isotope labelled analog of (R,R)-Ethambutol Dihydrochloride (E889805); a compound that shows antitumor properties when complexed with platinum. Also an isomer of Ethambutol (E889800) which is an antibacterial (tuberculostatic).
References Coluccia, M. et al.: Anticanc. Res., 11, 281 (1991); Wilkinson, et al.: J. Med. Chem., 5, 835 (1962); Kulig, et al.: Diss. Pharm. Pharmacol., 23, 463 (1971); Lee, C.S., et al.: Anal. Profiles Drug Subs., 7, 231 (1978)Formula:C10H22D4Cl2N2O2Color and Shape:White To Off-WhiteMolecular weight:281.26Erythromycin A Oxime
CAS:Impurity Clarithromycin EP Impurity J
Applications Erythromycin A Oxime (Roxithromycin Impurity C) (Clarithromycin EP Impurity J) is the major metabolite of Roxithromycin and an intermediate of Azithromycin. Antibacterial agent. Roxithromycin impurity C.
References Ferrero, J., et al.: Drug Metab. Dispos., 18, 441 (1990), Gase, C., et al.: J. Antibiot., 44, 313 (1991), Markham, A., et al.: Drugs, 48, 297 (1994), Jarukamjorn, K., et al.: J. Pharm. Pharmacol., 50, 515 (1998),Formula:C37H68N2O13Color and Shape:Off WhiteMolecular weight:748.943-(Isonicotinoylhydrazonomethyl) Rifamycin
CAS:Applications An impurity of Rifampamycin (R508000).
Formula:C44H52N4O13Color and Shape:NeatMolecular weight:844.91,3,7-Trimethyluric Acid-d3
CAS:Controlled ProductStability Store in freezer
Applications A caffeine metabolite.
References Regal, K.A., et al.: J. of Chromatography B, 708, 75 (1998)Formula:C82H3H7N4O3Color and Shape:NeatMolecular weight:213.21N-(n-Butanesulfonyl)-O-[4-(4-pyridinyl)-butyl]-(S)-tyrosine
CAS:Applications Tirofiban intermediate.
Formula:C22H30N2O5SColor and Shape:NeatMolecular weight:434.55(S)-(+)-N-3-Benzylnirvanol
CAS:Controlled ProductApplications It is a potent and selective human CYP2C19 inhibitor.
Not a dangerous good if item is equal to or less than 1g/ml and there is less than 100g/ml in the package
References Suzuki, H., et al.: Drug Metab. Dispos., 30, 235 (2002), Robert, L., et al.: Drug Metab. Dispos., 31, 343 (2003),Formula:C18H18N2O2Color and Shape:White To Off-WhiteMolecular weight:294.351-Methyl Xanthine-d3
CAS:Controlled ProductApplications A labelled metabolite of Theophylline.
References ottrup, A., et al.: Pharmacol. Toxicol., 67, 340 (1990), El-Kadi, A., et al.: Drug Metab. Dispos., 28, 1112 (2000), Kim, S., et al.: J. Med. Chem., 45, 2131 ( 2002), Hansel, T., et al.: Drugs Today, 40, 55 (2004),Formula:C62H3H3N4O2Color and Shape:NeatMolecular weight:169.16Phoxim-d5 (phenyl-d5) (mixture of isomers)
CAS:Controlled ProductStability Hygroscopic, Moisture Sensitive
Applications Phoxim-d5 (Phenyl-d5) (Mixture of Isomers) is a useful isotopically labeled compound of Phoxim (P380000(P)), which is an organophosphate insecticide. Phoxim is also an analogous dimethyl ester and an organothiophosphate acaricide.
References Lu, Y., et al.: Nature, 487, 362 (2012); Jokanovic, M., et al.: Arch. Toxicol., 70, 119 (1995); Wang, W., et al.: Pest. Biochem. Physiol., 84, 180 (2006)Formula:C12H10D5N2O3PSColor and Shape:NeatMolecular weight:303.33Anastrozole Acid Amide
Applications Anastrozole Acid Amide is a derivative of Anastrozole (A637425), an aromatase inhibitor. Used as an antineoplastic.
References Plourde, P.V., et al.: Breast Cancer Res. Treat., 30, 103 (1994), Buzdar, A.U., et al.: Cancer, 79, 730 (1997)Formula:C17H22N4O3Color and Shape:NeatMolecular weight:330.38rac Talinolol-d5
CAS:Controlled ProductApplications Labelled Talinolol. Selective β1-adrenergic blocker structurally related to Practolol. Antihypertensive; antiarrhythmic.
References Assmann, I., et al.: Curr. Med. Res. Opin., 13, 325 (1995), Trausch, B., et al.: Biopharm. Drug Dispos., 16, 403 (1995),Formula:C202H5H28N3O3Color and Shape:Off White CrystallineMolecular weight:368.52Monocarboxyisodecyl Phthalate-d4
CAS:Controlled ProductFormula:C18H20D4O6Color and Shape:Off-WhiteMolecular weight:340.4Foramsulfuron-d6
CAS:Controlled ProductFormula:C17D6H14N6O7SColor and Shape:White To Off-WhiteMolecular weight:458.48Amodiaquine-d10
CAS:Controlled ProductApplications An antimalarial.
References Natarajan, L., et al.: Arzneim.-Forsch., 22, 1230 (1972), Kracmer, J., et al.: Pharmazie, 29, 773 (1974), Ahmad, I., et al.: Anal. Profiles Drug Subs., 21, 43 (1992),Formula:C202H10H12ClN3OColor and Shape:Yellow SolidMolecular weight:365.923-(3-Amino-4-methylphenyl)-5-isopropylimidazolidine-2,4-dione
Controlled ProductFormula:C13H17N3O2Color and Shape:NeatMolecular weight:247.3Mono N-Desmethyl Disperse Polyester Dark Blue
CAS:Applications Mono N-Desmethyl Disperse Polyester Dark Blue is a disperse dye for synthetic polyester fibers. It has good heat and light resistance and is used for thermal transfer recording.
References Peters A. T., et al.: J. Soc. Dyers Colour, 108(7-8), 344-8 (1992)Formula:C15H12N2O4Color and Shape:NeatMolecular weight:284.27DL-erythro Ritalinic Acid-d10 (Major)
CAS:Controlled ProductFormula:C13H7D10NO2Color and Shape:NeatMolecular weight:229.34Perindoprilat-d4 (Mixture of Diastereomers)
CAS:Controlled ProductApplications Perindoprilat-d4 is the isotope labelled analog of Perindoprilat (P287531); an angiotensin-converting enzyme (ACE) inhibitor and antihypertensive.
References Pascard, C., et al.: J. Med. Chem., 34, 663 (1991)Formula:C17H24D4N2O5Color and Shape:NeatMolecular weight:344.44Lufenuron-D3
CAS:Controlled ProductFormula:C17H5D3Cl2F8N2O3Color and Shape:NeatMolecular weight:514.17Flurbiprofen (1S,2R,5S)-(+)-Menthyl Ester
Controlled ProductApplications Flurbiprofen (1S,2R,5S)-(+)-Menthyl Ester is an isomer version of Flurbiprofen rac-Menthyl Ester (M221723), a Flurbiprofen (F598700) derivative. Flurbiprofen is an anti-inflammatory used as an analgesic
References Chalmers, et al.: Ann. Rheum. Dis., 31, 319 (1972), Nishizawa, et al.: Thromb. Res., 3, 577 (1973)Formula:C25H31FO2Color and Shape:NeatMolecular weight:382.5111,2,4,5-Tetrahydrotestolactone
CAS:Controlled ProductApplications 1,2,4,5-Tetrahydrotestolactone is a steroid with estrogenic properties. A steroid lactone.
References Pollard, I., et al.: Steroids, 11, 897 (1968), Volovel'skii, L. N., et al.: Zh. Obshch. Khim., 43, 1414 (1973)Formula:C19H28O3Color and Shape:NeatMolecular weight:304.42214,15-Dehydro Fluocinolone Acetonide
Impurity Fluocinolone Acetonide EP Impurity I
Applications 14,15-Dehydro Fluocinolone Acetonide is an impurity of Fluocinolone Acetonide (F455800); a glucocorticoid and anti-inflammatory agent.
References Sammul, et al.: J. Assoc. Off. Agric. Chem., 47, 952 (1964); Emerson, M.V., et al.: BioDrugs, 21, 245 (2007)Formula:C24H28F2O6Color and Shape:NeatMolecular weight:450.47O-Desmethyl Quinidine
CAS:Controlled ProductApplications A metabolite of Quinidine.
References Small, D.L., et al.: J. Chem. Med., 22, 1014 (1979), Guentert, T.W., et al.: Eur. J. Drug Metab. Pharmacokinet., 7, 31 (1982), Rakhir, A., et al.: J. Pharmacokinet. Biopharm., 12, 1 (1984), Christie, D.J., et al.: J. Lab. Clin. Med., 112, 92 (1988),Formula:C19H22N2O2Color and Shape:NeatMolecular weight:310.393”-Hydroxy Simvastatin
CAS:Controlled ProductFormula:C25H38O6Color and Shape:NeatMolecular weight:434.573-Methyl Adenine-d3
CAS:Controlled ProductApplications 3-Methyl Adenine-d3 is labelled 3-Methyl Adenine (M275904). 3-Methyl Adenine is a selective autophagy and phosphoinositide 3-kinase (PI3K) inhibitor (1,2,3). 3-MA inhibits autophagy by blocking autophagosome formation via the inhibition of type III Phosphatidylinositol 3-kinases (PI-3K).
References (1) Munafo, D., et al.: J. Cell Sci., 114, 3619 (2001) (2) Aggarwal, B., et al.: Biochem. Pharmacol., 71, 1397 (2006) (3) Hayat, M., et al.: Oncologist, 12, 20 (2007)Formula:C62H3H4N5Color and Shape:NeatMolecular weight:152.17Ketoconazole-d8
CAS:Controlled ProductApplications Deuterated Ketoconazole, an inhibitor of cytochrome P-450 dependent steps in the biosynthesis of steroid hormones in vivo. Antimetastatic and antineoplastic activity. Orally active 5-lipoxygenase and thromboxane synthase inhibitor.
Not a dangerous good if item is equal to or less than 1g/ml and there is less than 100g/ml in the package
References Lambert, A., et al.: Biochem. Pharmacol., 35, 3999 (1986), Van Wauwe, J.P. and Janssen, P.A.J., J. Med. Chem., 32, 2231 (1989), Nardone, P.A., et al.: . Surg. Res., 44, 425 (1988), Tucker, W.F.G., et al.: Br. Med. J., 293, 882 (1986)Formula:C26H20D8Cl2N4O4Color and Shape:White To BeigeMolecular weight:539.484-[3-[4-Cyano-3-(trifluoromethyl)phenyl]-5,5-dimethyl-4-oxo-2-thioxo-1-imidazolidinyl]-2-fluorobenzamide
CAS:Formula:C20H14F4N4O2SColor and Shape:NeatMolecular weight:450.41Desethyl Chloroquine-d4
CAS:Controlled ProductApplications The major product of the stereoselective human metabolism of Chloroquine, used for the therapy and prevention of malaria. It is a COVID19-related research product.
References Essien, E., et al.: J. Pharm. Pharmacol., 38, 543 (1986), Akintonwa, A., et al.: Ther. Drug Monit., 10, 147 (1988), Boelaert, J., et al.: AIDS, 15, 2205 (2001), Basco, L., et al.: Antimicrob. Agents Chemother., 47, 1391 (2003),Formula:C16H18D4ClN3Color and Shape:Light YellowMolecular weight:295.84Candesartan-d5
CAS:Controlled ProductFormula:C242H5H15N6O3Color and Shape:GreyMolecular weight:445.48Lisdexamphetamine Dimesylate
CAS:Controlled ProductApplications Lisdexamphetamine Dimesylate is used as a treatment for adults with attention-deficit/hyperactivity disorder (ADHD). Lisdexamphetamine Dimesylate has been shown to improve executive dysfunction and depressive symptoms in people with mild major depressive disorder (MDD).
References Martin, P.T., et al.: Clin. Drug Invest., 34, 147 (2014); Madhoo, M., et. al.: Neuropsychopharmacol., 39, 1388 (2014);Formula:C15H25N3O·2CH4O3SColor and Shape:NeatMolecular weight:455.59Losartan-d4
CAS:Controlled ProductApplications A labelled version of Losartan, a nonpeptide angiotensin II AT1-receptor antagonist. Antihypertensive.
References Chiu, T.A., et al.: J. Pharmacol. Exp. Ther., 252, 711 (1990), McIntyre, M., et al.: Pharmacol. Ther., 74, 181 (1997), Pitt, B., et al.: Lancet, 355, 1582 (2000)Formula:C222H4H19ClN6OColor and Shape:White To Off-WhiteMolecular weight:426.94Testosterone 17-Phenylpropionate
CAS:Controlled ProductApplications Testosterone 17-Phenylpropionate, is one of the 17β-fatty acid esters of testosterone, that is increasingly misused by athletes in an attempt to improve sports performance, and thus can be used in doping control. It can also be used as a therapy in glucocorticoid-treated patients to increase the circulating testosterone concentration.
References Shackleton, C. H. L., et al.: Steroids, 62 (7), 523 (1997); Reid, I. R., et al.: Archives Internal Med., 156 (11), 1173 (1996);Formula:C28H36O3Color and Shape:NeatMolecular weight:420.58N-Acetyl-S-methyl-L-cysteine-d3
CAS:Controlled ProductFormula:C6H8D3NO3SColor and Shape:NeatMolecular weight:180.24Uric Acid-1,3-15N2
CAS:Applications Uric Acid-1,3-15N2 is the labeled analogue of Uric Acid (U829200), a heterocyclcic compound that is created when purine nucleotides are broken down of by the human body. High blood concetration of Uric Acid is known as hyperuricemia and is often associated with a wide range of disorders and medical conditions such as gout, diabetes and metabolic syndrome. Uric acid may be a marker of oxidative stress and may have a potential therapeutic role as an antioxidant.
References Heinig, M. et al.: Cle. Clin. J. Med., 73, 1059 (2006); Glantzounis, G.K. et al.: Curr. Pharmac. Des., 11, 4145 (2005); Dehghan, A. et al.: Diab. Care, 31, 361 (2008); Nakagawa, T. et al.: Am. J. Physiol. Renal Physiol., 290, F625 (2006)Formula:C5H415N2N2O3Color and Shape:NeatMolecular weight:170.1Iobitridol (>90%)
CAS:Applications Diagnostic aid (radiopaque medium).
References Bourrinet, P., et al.: Invest. Radiol., 29, 1057 (1994), Donadieu, A.-M., et al.: Acta Radiol., 37, 400 (1996),Formula:C20H28I3N3O9Purity:>90%Color and Shape:NeatMolecular weight:835.16Cilostazol-d11
CAS:Controlled ProductApplications A potent phosphodiesterase III A (PDE3A) inhibitor (IC50=0.2uM) and inhibitor of adenosine uptake. Has antimitogeni, antithrombotic, vasodilatory and cardiotonic properties in vivo. Also affects lipid levels in vivo.
References Suri, A., et al.: J. Clin. Pharmacol., 38, 144 (1998), Park, S.-W., et al.: Am. J. Cardiol., 84, 511 (1999), Tsuchikane, E., et al.: Circulation, 100, 21 (1999),Formula:C20H16D11N5O2Color and Shape:NeatMolecular weight:380.524-(N-Methyl-N-nitrosamino)-4-(3-pyridyl)butanal
CAS:Controlled ProductApplications A tobacco smoke-derived nitrosamine which is activated by multiple human cytochrome P 450s including the polymorphic human cytochrome P 4502D6.
Not a dangerous good if item is equal to or less than 1g/ml and there is less than 100g/ml in the package
References Castonguay, A., et al.: Cancer Lett., 46, 93 (1989), Crespi, C.L., et al.: Carcinogenesis, 12, 1197 (1991),Formula:C10H13N3O2Color and Shape:Light Brown LiquidMolecular weight:207.23(R,R)-Ethambutol Dihydrochloride
CAS:Controlled ProductApplications (R,R)-Ethambutol Dihydrochloride shows antitumor properties when complexed with platinum. Also an isomer of Ethambutol (E889800), an antibacterial (tuberculostatic).
References Coluccia, M. et al.: Anticanc. Res., 11, 281 (1991); Wilkinson, et al.: J. Med. Chem., 5, 835 (1962), Kulig, et al.: Diss. Pharm. Pharmacol., 23, 463 (1971), Lee, C.S., et al.: Anal. Profiles Drug Subs., 7, 231 (1978)Formula:C10H26Cl2N2O2Color and Shape:NeatMolecular weight:277.23Oseltamivir citric acid Adduct
Controlled ProductApplications Oseltamivir citric acid is an impurity of Oseltamivir (O701005), an antiviral drug that is an orally active inhibitor of influenza virus neuraminidase; converted in vivo to the active acid metabolite. It is a COVID19-related research product.
References Oliyai, R., et al.: Pharm. Res., 15, 1300 (1998); Kim, C.U., et al.: Med. Chem. Res., 8, 392 (1998); Hayden, F.G., et al.: N. Engl. J. Med., 341, 1336 (1999); Treanor, J.J., et al.: J. Am. Med. Assoc., 283, 1016 (2000);Formula:C22H34N2O10Color and Shape:NeatMolecular weight:486.51(S)-Ramelteon Metabolite M-II
CAS:Controlled ProductApplications S-Ramelteon Metabolite M-II is a metabolite of Ramelteon in serum (M-II).
References Karim, A., et al.: J. Clin. Pharmacol., 44, 1210 (2004); Prescott, E., et al.: Drug Metab. Rev., 36, 203 (2004); Kato, K., et al.: Neuropharmacology, 48, 301 (2005); Karim, A., et al.: J. Clin. Pharmacol., 46, 140 (2006)Formula:C16H21NO3Color and Shape:NeatMolecular weight:275.34Itraconazole N,N-Dioxide
Controlled ProductStability Hygroscopic
Applications Itraconazole N,N-Dioxide is a derivative of Itraconazole (I937500). Itraconazole is an orally active antimycotic structurally related to Ketoconazole. Antifungal. It is a COVID19-related research product.
References Espinel-Ingroff, A., et al.: Antimicrob. Agents Chemother., 26, 5 (1984), Heykants, J., et al.: Mycoses, 32, Suppl 1, 67 (1989), Sugar, A.M.,et al.: Curr. Clin. Top. Infect. Dis., 13, 74 (1993),Formula:C35H38Cl2N8O6Color and Shape:NeatMolecular weight:737.63CJC-1293 TFA Salt Hydrate (>90%)
CAS:Formula:C162H263N46O47S•xTFA•xH2OPurity:>90%Color and Shape:Off-WhiteMolecular weight:3639.171140218N-Benzyl Ciprofloxacin Benzyl Ester
CAS:Controlled ProductApplications Ciprofloxacin (C482500).
Formula:C31H30FN3O3Color and Shape:NeatMolecular weight:511.59Carbofuran-d3
CAS:Controlled ProductApplications Cholinesterase inhibitor. Use as systemic insecticide, acaricide, nematocide. Used in Pesticide detection.
Not a dangerous good if item is equal to or less than 1g/ml and there is less than 100g/ml in the package
References Dorough, W.H., et al.: J. Agric. Food Chem., 16, 319 (1968),Formula:C122H3H12NO3Color and Shape:WhiteMolecular weight:224.27Rosiglitazone-d3
CAS:Controlled ProductFormula:C182H3H16N3O3SColor and Shape:NeatMolecular weight:360.45(+)-6-Aminopenicillanic Acid
CAS:Impurity Ampicillin EP Impurity A ; Amoxicillin USP Related Compound A
Applications (+)-6-Aminopenicillanic Acid (Amoxicillin EP Impurity A) is the core structure in penicillins, obtained from the fermentation brew of the Penicillium mold. (+)-6-Aminopenicillanic Acid is used as the main starting block for the preparation of numerous semisynthetic penicillins.
References Zel'tser, I.Z. et al.: Gig. Truda Prof. Zabol., 5, 59 (1983); Hamilton-Miller, J.M.T.: Int. J. Antimicrob. Agents, 31, 189 (2008); Novikova, N.D. et al.: Mikol. Fitopatol., 7, 101 (1973);Formula:C8H12N2O3SColor and Shape:Off-WhiteMolecular weight:216.262-(2,4-Difluorophenyl)-1-(1H-1,2,4-triazol-1-yl)-3-bromopropan-2-ol
CAS:Controlled ProductImpurity Fluconazole EP Impurity H
Applications 2-(2,4-Difluorophenyl)-1-(1H-1,2,4-triazol-1-yl)-3-bromopropan-2-ol (Fluconazole EP Impurity H) is an impurity of the antifungal agent Fluconazole (F421000).
References Bourichi, H., et al.: STP Pharma Pratiques, 18, 285 (2008); Richard, K. et al.: Antimicrob. Ag. Chemother., 27, 832 (1985)Formula:C11H10BrF2N3OColor and Shape:Off-WhiteMolecular weight:318.123-(3-Amino-4-methylphenyl)-5-isopropylimidazolidine-2,4-dione
Formula:C13H17N3O2Color and Shape:NeatMolecular weight:247.33-(Bromomethyl)-7-chlorobenzo[b]thiophene
CAS:Controlled ProductApplications Intermediate in the preparation of imidazole antifungal agents.
References Albet, C. et al.; J. Pharmaceut. Biomed. 10, 205 (1992); Raga, M. et al.; Eur. J. Med. Chem. 21, 329 (1986)Formula:C9H6BrClSColor and Shape:NeatMolecular weight:261.5659Tenofovir Disoproxil Fumarate
CAS:Applications Acyclic phosphonate nucleotide analogue; reverse transcriptase inhibitor. Used as an anti-HIV agent. Antiviral.
References Shaw, J.-P., et al.: Pharm. Res., 14, 1824 (1997), Wyles, D., et al.: Clin Infect. Dis., 40, 174 (2005), Peng, J., et al.: J. Clin. Pharmacol., 46, 265 (2006), Seminari, E., et al.: J. Antimicrob. Chemother., 60, 831 (2007),Formula:C19H30N5O10P·C4H4O4Color and Shape:White To Off-WhiteMolecular weight:635.51ent-Abacavir
CAS:Controlled ProductImpurity Abacavir EP Impurity A
Applications ent-Abacavir (Abacavir EP Impurity A) is an enatiomer of Abacavir (A105000). Abacavir is a carbocyclic 2'-deoxyguanosine nucleoside reverse transcriptase inhibitor and an anti-HIV drug used to treat HIV infection (1). Intracellular enzymes convert Abacavir to its active form, carbovir-triphosphate (CBV-TP), which then selectively inhibits HIV reverse transcriptase by incorporating into viral DNA (2). Abacavir is metabolized in the liver by uridine diphosphate glucuronyltransferase and alcohol dehydrogenase resulting in inactive glucuronide and carboxylate metabolites, respectively.
References (1) Jackson, A., et al.: Antivir Ther. 17, 19 (2012) (2) Yuen, G. J., et al.: Clin Pharmacokinet. 47, 351 (2008)Formula:C14H18N6OColor and Shape:NeatMolecular weight:286.33Levofloxacin Ethyl Ester
CAS:Controlled ProductImpurity Levofloxacin USP Related Compound C
Applications Levofloxacin Ethyl Ester (Levofloxacin USP Related Compound C) is an impurity of Levofloxacin (L360000).
References Lalitha Devi, M. et al.: J. Pharrm. Biomed. ANal., 50, 710 (2009); Mehta, J. et al.: Int. J. PharmTech Res., 2, 1932 (2010);Formula:C20H24FN3O4Color and Shape:White To Off-WhiteMolecular weight:389.42Ledipasvir
CAS:Applications Ledipasvir is most commonly used in combination with sofosbuvir for treatment in chronic hepatitis C genotype 1 patients. It inhibits an important viral phosphoprotein, NS5A, which is involved in viral replication, assembly, and secretion.
References Lawitz, E., et al.: J. Hepatol., 57, 24 (2012); Afdhal, N., et al.: New England J. Med., 370, 1889 (2014)Formula:C49H54F2N8O6Color and Shape:White To Light BeigeMolecular weight:889.00rac Efavirenz
CAS:Applications rac Efavirenz is a mixture of both enantiomers for Efavirenz (E425000), a nonnucleoside HIV-1 reverse transcriptase inhibitor. Antiviral.
References Young, S.D., et al.: Antimicrob. Ag. Chemother., 39, 2602 (1995); Hadaruga, D. et al.: J. Med Chem., 48, 2432 (2005);Formula:C14H9ClF3NO2Color and Shape:NeatMolecular weight:315.68[[(1R)-2-(6-Amino-9H-purin-9-yl)-1-methylethoxy]methyl]monophenylester
CAS:Controlled ProductApplications [[(1R)-2-(6-Amino-9H-purin-9-yl)-1-methylethoxy]methyl]monophenylester is an antiviral agent and a Tenofovir (T018500) intermediate. Tenofovir is an acyclic phosphonate nucleotide analogue and reverse transcriptase inhibitor, used as an anti-HIV agent.
References Shaw, J.-P., et al.: Pharm. Res., 14, 1824 (1997); Wyles, D., et al.: Clin Infect. Dis., 40, 174 (2005); Peng, J., et al.: J. Clin. Pharmacol., 46, 265 (2006); Seminari, E., et al.: J. Antimicrob. Chemother., 60, 831 (2007);Formula:C15H18N5O4PColor and Shape:NeatMolecular weight:363.31(S)-2-Benzyl-N,N-dimethylaziridine-1-sulfonamide
CAS:Controlled ProductApplications (S)-2-Benzyl-N,N-dimethylaziridine-1-sulfonamide is a reagent for the synthesis of N-alkylsulfamic acid derivatives. It also has utility for preparing pharmaceutical peptide analog agents.
References Sherman, E. S., et al. Science of Synthesis 40b, 1285 (2008); Polniaszek, R., et al.: PCT Int. Appl. WO 2010115000 A2 20101007 (2010)Formula:C11H16N2O2SColor and Shape:NeatMolecular weight:240.32Dehydro Rifaximin
CAS:Controlled ProductFormula:C43H49N3O11Color and Shape:NeatMolecular weight:783.86Vancomycin
CAS:Stability Hygroscopic
Applications VANCOMYCIN (cas# 1404-90-6) is a useful research chemical.Formula:C66H75Cl2N9O24Purity:>85%Color and Shape:NeatMolecular weight:1449.252-(2-(2-Ethoxyethoxy)ethoxy)ethanamine
CAS:Controlled ProductFormula:C8H19NO3Color and Shape:NeatMolecular weight:177.241N-Acetylpiperazine-N’-(4-phenol) Ketoconazole
CAS:Controlled ProductFormula:C38H42Cl2N6O6Color and Shape:White To Off-WhiteMolecular weight:749.683N-(4-Aminobenzenesulfonyl) Sulfamethoxazole
CAS:Controlled ProductImpurity Salmeterol EP Impurity B
Applications A novel antibacterial analog of the antibacterial drug Sulfamethoxazole (S699086).Formula:C16H16N4O5S2Color and Shape:NeatMolecular weight:408.45

