
Ciclo celular / Checkpoint
Los inhibidores del ciclo celular/puntos de control son compuestos que interrumpen la progresión normal del ciclo celular, particularmente en puntos de control regulatorios clave. Estos inhibidores son cruciales para estudiar la división celular, comprender la proliferación de células cancerosas y desarrollar terapias anticancerígenas. Al dirigirse a fases específicas del ciclo celular, estos inhibidores pueden inducir la detención del ciclo celular, lo que lleva a apoptosis o senescencia en células de división rápida. En CymitQuimica, ofrecemos una amplia gama de inhibidores de alta calidad del ciclo celular/puntos de control para apoyar su investigación en biología del cáncer, biología celular y desarrollo de fármacos.
Subcategorías de "Ciclo celular / Checkpoint"
- Aurora quinasa(114 productos)
- CDK(546 productos)
- Detención del ciclo celular(5 productos)
- Chk(48 productos)
- DYRK(47 productos)
- Dynamin(27 productos)
- Ferroptosis(226 productos)
- HSP(179 productos)
- Integrin(253 productos)
- Kinesina(87 productos)
- LIM quinasa(20 productos)
- Asociado a microtúbulos(273 productos)
- PKC(124 productos)
- PLK(25 productos)
- ROCK(62 productos)
- Rho(6 productos)
- Wee1(14 productos)
- c-Myc(76 productos)
Mostrar 10 subcategorías más
Se han encontrado 3873 productos de "Ciclo celular / Checkpoint"
Ordenar por
Pureza (%)
0
100
|
0
|
50
|
90
|
95
|
100
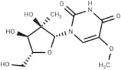
2',3'-Dideoxy-3'-fluoroadenosine
CAS:Nucleoside Derivatives - Fluoro-modified nucleosides; 2’,3’-Dideoxy nucleosides; Drugs and Inhbitors; Antiviral agentFórmula:C10H12FN5O2Forma y color:SolidPeso molecular:253.23Ref: TM-TNU1248
5mgA consultar10mgA consultar25mgA consultar50mgA consultar100mgA consultar500mgA consultar5'-Azido-5'-deoxy-2'-O-methyluridine
CAS:Nucleoside Derivatives - Azido-nucleosides, 5’-Modified nucleosides, 2’-Modified nucleosidesFórmula:C10H13N5O5Forma y color:SolidPeso molecular:283.24Ref: TM-TNU1132
5mgA consultar10mgA consultar25mgA consultar50mgA consultar100mgA consultar500mgA consultar4'-Thiouridine
CAS:4'-Thiouridine is a Thio-nucleoside.Fórmula:C9H12N2O5SForma y color:SolidPeso molecular:260.27Ref: TM-TNU0042
5mgA consultar10mgA consultar25mgA consultar50mgA consultar100mgA consultar500mgA consultar2'-O-(2-Azidoethyl)adenosine
CAS:2'-O-(2-azidoethyl)adenosine is a purine nucleoside analog with potential antitumor activity.Fórmula:C12H16N8O4Pureza:95%Forma y color:SolidPeso molecular:336.312-Amino-6-chloropurine-9-β-D-(2'-deoxy-3',5'-di-(O-p-toluoyl))riboside
CAS:2-Amino-6-chloropurine-9-beta-D-(2'-deoxy-3',5'-di-(O-p-toluoyl))riboside is a 2'-Deoxy nucleoside; Halo-nucleoside.Fórmula:C26H24ClN5O5Forma y color:SolidPeso molecular:521.95Ref: TM-TNU0756
5mgA consultar10mgA consultar25mgA consultar50mgA consultar100mgA consultar500mgA consultar2-Amino-2'-O-(2-methoxy-2-oxoethyl)adenosine
CAS:Nucleosides Derivatives - 2’-Modified nucleosides; 2-Modified purine nucleosidesFórmula:C13H18N6O6Forma y color:SolidPeso molecular:354.32Ref: TM-TNU0192
5mgA consultar10mgA consultar25mgA consultar50mgA consultar100mgA consultar500mgA consultar5'-O-DMT-2'-O-iBu-N-Bz-Guanosine
CAS:5'-O-DMT-2'-O-iBu-N-Bz-Guanosine could be used for silyl protection of ribonucleosides.Fórmula:C41H51N5O8SiForma y color:SolidPeso molecular:769.963,5-Bis-O-(4-methylbenzoyl)-2-C-methyl-D-ribonic acid gama-lactone
CAS:3,5-Bis-O-(4-methylbenzoyl)-2-C-methyl-D-ribonic acid gama-lactone is a Carbohydrate Derivative.Fórmula:C22H22O7Forma y color:SolidPeso molecular:398.41Ref: TM-TNU1272
5mgA consultar10mgA consultar25mgA consultar50mgA consultar100mgA consultar500mgA consultar5'-Azido-5'-deoxyuridine
CAS:Nucleoside Derivatives - Azido nucleosides; 5’-Modified nucleosidesFórmula:C9H11N5O5Forma y color:SolidPeso molecular:269.21Ref: TM-TNU1166
5mgA consultar10mgA consultar25mgA consultar50mgA consultar100mgA consultar500mgA consultar2-Chloro-2'-C-methyladenosine
CAS:2-Chloro-2'-C-methyladenosine is a 2'-C-Methyl nucleoside; Halo-nucleoside.Fórmula:C11H14ClN5O4Forma y color:SolidPeso molecular:315.71Ref: TM-TNU0098
5mgA consultar10mgA consultar25mgA consultar50mgA consultar100mgA consultar500mgA consultar9-(2,3-Di-O-acetyl-6-O-benzoyl-5-deoxy-D-ribo-exofuranoyl)-6-chloropurine
9-(2,3-Di-O-acetyl-6-O-benzoyl-5-deoxy-D-ribo-exofuranoyl)-6-chloropurine is a useful organic compound for research related to life sciences and the catalogForma y color:SoildRef: TM-TNU1673
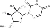
5mgA consultar10mgA consultar25mgA consultar50mgA consultar100mgA consultar500mgA consultar1-(b-D-Xylofuranosyl)-6-azauracil
CAS:1-(b-D-Xylofuranosyl)-6-azauracil is a Nucleoside Derivative - Xylo-nucleoside; 6-Aza-uridine.Fórmula:C8H11N3O6Forma y color:SolidPeso molecular:245.19Ref: TM-TNU0304
5mgA consultar10mgA consultar25mgA consultar50mgA consultar100mgA consultar500mgA consultarN2-Iso-Butyryl Guanosine
CAS:N2-Iso-Butyryl Guanosine is a nucleoside derivative suitable for biochemical experiments and drug synthesis research.Fórmula:C14H19N5O6Pureza:99.26%Forma y color:SolidPeso molecular:353.338-Methyladenosine
CAS:Nucleoside Derivatives - 8-Modified purine nucleosides; Naturally modified ribo-nucleosidesFórmula:C11H15N5O4Forma y color:SolidPeso molecular:281.27Ref: TM-TNU0288
5mgA consultar10mgA consultar25mgA consultar50mgA consultar100mgA consultar500mgA consultar5'(R)-C-Methyl-N6-methyladenosine
Nucleoside Derivatives - 5’-Modified nucleosides; 6-Modified purine nucleosides; N-Methylated nucleosidesForma y color:SoildRef: TM-TNU0409
5mgA consultar10mgA consultar25mgA consultar50mgA consultar100mgA consultar500mgA consultar3',5'-Di-O-benzoyl-2'-deoxy-2'-fluoro-5-trifluoromethyl-arabinouridine
CAS:3',5'-Di-O-benzoyl-2'-deoxy-2'-fluoro-5-trifluoromethyl-arabinouridine is a Nucleoside Derivative - Fluoro-modified nucleoside, Arabino-nucleoside, 5-ModifiedFórmula:C24H18F4N2O7Forma y color:SolidPeso molecular:522.4Ref: TM-TNU0916
5mgA consultar10mgA consultar25mgA consultar50mgA consultar100mgA consultar500mgA consultar5-Hydroxy-2'-O-methyluridine
CAS:Nucleoside Derivatives - 5-Modified pyrimidine nucleosides; 2’-Modified nucleosides
Fórmula:C10H14N2O7Forma y color:SolidPeso molecular:274.23Ref: TM-TNU0435
5mgA consultar10mgA consultar25mgA consultar50mgA consultar100mgA consultar500mgA consultar3'-β-C-Ethynyl inosine
3'-beta-C-Ethynyl inosine is a Nucleoside Derivative - 3'-Modified nucleoside.Forma y color:SoildRef: TM-TNU0535
5mgA consultar10mgA consultar25mgA consultar50mgA consultar100mgA consultar500mgA consultar1,2-Di-O-acetyl-5-O-benzoyl-3-deoxy-3-fluoro-D-xylofuranose
CAS:1,2-Di-O-acetyl-5-O-benzoyl-3-deoxy-3-fluoro-D-xylofuranose is a Carbohydrate Derivative.Fórmula:C16H17FO7Forma y color:SolidPeso molecular:340.3Ref: TM-TNU0899
5mgA consultar10mgA consultar25mgA consultar50mgA consultar100mgA consultar500mgA consultar3'-Deoxy-3'-fluoro-xyloadenosine
CAS:3'-Deoxy-3'-fluoro-xyloadenosine is a Nucleoside Derivative - Xylo-nucleoside, Fluoro-modified nucleoside, 3'-Modified nucleoside.Fórmula:C10H12FN5O3Forma y color:SolidPeso molecular:269.23Ref: TM-TNU0244
5mgA consultar10mgA consultar25mgA consultar50mgA consultar100mgA consultar500mgA consultar3'-Deoxy-3'-fluoro-5-fluorouridine
CAS:3'-Deoxy-3'-fluoro-5-fluorouridine is a Nucleoside Derivative - Fluoro-modified nucleoside, 5-modified pyrimidine nucleoside, 3'-Modified nucleoside.Fórmula:C9H10F2N2O5Forma y color:SolidPeso molecular:264.18Ref: TM-TNU0142
5mgA consultar10mgA consultar25mgA consultar50mgA consultar100mgA consultar500mgA consultarN4-Desmethyl wyosine
CAS:N4-Desmethyl wyosine is a Nucleoside Derivative - Bi-/Tri-cyclic nucleoside; naturally modified ribo-nucleoside.Fórmula:C13H15N5O5Forma y color:SolidPeso molecular:321.29Ref: TM-TNU0176
5mgA consultar10mgA consultar25mgA consultar50mgA consultar100mgA consultar500mgA consultar2',3'-Dideoxy-5-fluorocytidine
CAS:Nucleoside Derivatives - 2’,3’-Dideoxy-nucleoside; Fluoro-modified nucleoside; Drugs and Inhibitors; HIV-1 inhibitorsFórmula:C9H12FN3O3Forma y color:SolidPeso molecular:229.21Ref: TM-TNU0263
5mgA consultar10mgA consultar25mgA consultar50mgA consultar100mgA consultar500mgA consultar1,2-Di-O-isopropylidene-5-O-benzoyl-α-D-ribofuranoside
CAS:1,2-Di-O-isopropylidene-5-O-benzoyl-alpha-D-ribofuranoside is a Carbohydrate Derivative.Fórmula:C15H18O6Forma y color:SolidPeso molecular:294.3Ref: TM-TNU0924
5mgA consultar10mgA consultar25mgA consultar50mgA consultar100mgA consultar500mgA consultar5'-Amino-5'-deoxythymidine
CAS:5'-Amino-5'-deoxythymidine is a thymidine derivative widely used in biochemical experiments and drug synthesis research.Fórmula:C10H15N3O4Pureza:99.89%Forma y color:SolidPeso molecular:241.242-Amino-6-chloropurine-9-β-D-(2'-deoxy)riboside
CAS:2-Amino-6-chloropurine-9-beta-D-(2'-deoxy)riboside is a 2'-Deoxy nucleoside; Halo-nucleoside.Fórmula:C10H12ClN5O3Forma y color:SolidPeso molecular:285.69Ref: TM-TNU0757
5mgA consultar10mgA consultar25mgA consultar50mgA consultar100mgA consultar500mgA consultar5-O-Benzoyl-1,2-O-isopropylidene-α-D-xylofuranose
CAS:5-O-Benzoyl-1,2-O-isopropylidene-alpha-D-xylofuranose is a Carbohydrate; Used for modified nucleoside.Fórmula:C15H18O6Forma y color:SolidPeso molecular:294.3Ref: TM-TNU0607
5mgA consultar10mgA consultar25mgA consultar50mgA consultar100mgA consultar500mgA consultar2-Amino-9-(2-C-methyl-β-D-ribofuranosyl)-9H-purine
CAS:2-Amino-9-(2-C-methyl-β-D-ribofuranosyl)-9H-purine is a 2'-C-Methyl nucleoside; 6-De-aminopurine nucleoside.Fórmula:C11H15N5O4Forma y color:SolidPeso molecular:281.27Ref: TM-TNU0097
5mgA consultar10mgA consultar25mgA consultar50mgA consultar100mgA consultar500mgA consultar5'-O-(4,4'-Dimethoxytrityl)-3'-O-levulinyl-2'-deoxyadenosine
CAS:Nucleoside Derivatives - Protected nucleosides with NH2/OH open; 3’-Modifed nucleosides; Used for conjugationFórmula:C36H37N5O7Forma y color:SolidPeso molecular:651.71Ref: TM-TNU1125
5mgA consultar10mgA consultar25mgA consultar50mgA consultar100mgA consultar500mgA consultarMOE-5MeU-5'-amidite
CAS:Nucleoside Phosphoramidites;Fórmula:C43H55N4O10PForma y color:SolidPeso molecular:818.89Ref: TM-TNU1528
5mgA consultar10mgA consultar25mgA consultar50mgA consultar100mgA consultar500mgA consultar2'-O-Phthalimidopropyl cytidine
CAS:2’-O-Phthalimidopropyl cytidine is a useful organic compound for research related to life sciences.Fórmula:C20H22N4O7Forma y color:SolidPeso molecular:430.41Ref: TM-TNU1660
5mgA consultar10mgA consultar25mgA consultar50mgA consultar100mgA consultar500mgA consultar3'-Deoxy-5-methoxyuridine
CAS:Nucleoside Derivatives - 3’-Deoxy nucleosides, 5-Modified pyrimidine nucleosidesFórmula:C10H14N2O6Forma y color:SolidPeso molecular:258.23Ref: TM-TNU0253
5mgA consultar10mgA consultar25mgA consultar50mgA consultar100mgA consultar500mgA consultar2'-C-Methyl-5-methyluridine
CAS:2'-C-Methyl-5-methyluridine is a 2'-C-Methyl nucleoside; 5-Modified pyrimidine nucleoside.Fórmula:C11H16N2O6Forma y color:SolidPeso molecular:272.25Ref: TM-TNU0144
5mgA consultar10mgA consultar25mgA consultar50mgA consultar100mgA consultar500mgA consultarDMTr-FNA-C(Bz)phosphoramidite
CAS:Nucleoside phosphoramidites;Nucleoside Derivatives - Acyclic nucleosides;Fórmula:C45H52N5O8PForma y color:SolidPeso molecular:821.9Ref: TM-TNU1508
5mgA consultar10mgA consultar25mgA consultar50mgA consultar100mgA consultar500mgA consultar5'-O-DMT-2'-deoxy-2'-fluoro-β-D-arabinouridine
CAS:5'-O-DMT-2'-deoxy-2'-fluoro-β-D-arabinouridine is a Nucleoside Derivative - Fluoro-modified nucleoside, Protected nucleoside with NH2/OH open.Fórmula:C30H29FN2O7Forma y color:SolidPeso molecular:548.563'-Azido-3'-deoxy-5-trifluoromethyluridine
CAS:Nucleoside Derivatives - Azido-nucleosides, 5-Modified pyrimidine nucleosides, 3’-Modified nucleosides; Fluoro-modified nucleosidesFórmula:C10H10F3N5O5Forma y color:SolidPeso molecular:337.21Ref: TM-TNU0195
5mgA consultar10mgA consultar25mgA consultar50mgA consultar100mgA consultar500mgA consultar2',5'-Dideoxy-5'-iodouridine
CAS:2',5'-Dideoxy-5'-iodouridine is a Nucleoside Derivative - 5'-Modified nucleoside, Halo-nucleoside.Fórmula:C9H11IN2O4Forma y color:SolidPeso molecular:338.1Ref: TM-TNU1150
5mgA consultar10mgA consultar25mgA consultar50mgA consultar100mgA consultar500mgA consultar7,8-Dihydro-8-oxo-7-propargyl-3'-deoxy-3'-fluoro-xylo-guanosine
CAS:7,8-Dihydro-8-oxo-7-propargyl-3’-deoxy-3’-fluoro-xylo-guanosine is a useful organic compound for research related to life sciences.Fórmula:C13H14FN5O5Forma y color:SolidPeso molecular:339.28Ref: TM-TNU0452
5mgA consultar10mgA consultar25mgA consultar50mgA consultar100mgA consultar500mgA consultar2'-Azido-2'-deoxy-5'-O-(4,4'-dimethoxytrityl)-5-methyluridine
CAS:Nucleoside Derivatives - Azido-nucleosides, 2’-Modified nucleosides, 5-Modified pyrimidine nucleosides; Protected nucleosides with NH2/OH groupFórmula:C31H31N5O7Forma y color:SolidPeso molecular:585.61Ref: TM-TNU0967
5mgA consultar10mgA consultar25mgA consultar50mgA consultar100mgA consultar500mgA consultar2'-Deoxy-2'-fluoro-6-S-methyl-6-thio-arabino-inosine
CAS:2'-Deoxy-2'-fluoro-6-S-methyl-6-thio-arabino-inosine is a Nucleoside Derivative - 6-Modified purine nucleoside; Thio-nucleoside; Fluoro-modified nucleoside.Fórmula:C11H13FN4O3SForma y color:SolidPeso molecular:300.31Ref: TM-TNU0495
5mgA consultar10mgA consultar25mgA consultar50mgA consultar100mgA consultar500mgA consultarN3-Methyl-5-methyluridine
CAS:N3-Methyl-5-methyluridine is a Nucleoside Derivative - N-Methylated nucleoside.Fórmula:C11H16N2O6Forma y color:SolidPeso molecular:272.25Ref: TM-TNU1190
5mgA consultar10mgA consultar25mgA consultar50mgA consultar100mgA consultar500mgA consultar5'-Azido-5'-deoxy-2'-O-methyl-5-methyluridine
CAS:Nucleoside Derivatives - 5’-Modified nucleosides, Azido-nucleosides, 2’-Modified nucleosidesFórmula:C11H15N5O5Forma y color:SolidPeso molecular:297.27Ref: TM-TNU1155
5mgA consultar10mgA consultar25mgA consultar50mgA consultar100mgA consultar500mgA consultarPurine-9-β-D-(3',5'-di-O-benzoyl-2'-deoxy-2'-fluoro)arabinoriboside
CAS:Fluoro-modified nucleoside; 6-De-aminopurine nucleoside; Arabino-nculeosideFórmula:C24H19FN4O5Forma y color:SolidPeso molecular:462.43Ref: TM-TNU0754
5mgA consultar10mgA consultar25mgA consultar50mgA consultar100mgA consultar500mgA consultar5'-O-(4,4'-Dimethoxytrityl)-2'-O-t-butyldimethylsilyl adenosine
CAS:Nucleoside; Used for RNA synthesis and special nucleoside modificationFórmula:C37H45N5O6SiForma y color:SolidPeso molecular:683.87Ref: TM-TNU0600
5mgA consultar10mgA consultar25mgA consultar50mgA consultar100mgA consultar500mgA consultar5'-O-DMT-2'-TBDMS-Uridine
CAS:5’-O-DMT-2’-TBDMS-Uridine is a deoxyribonucleoside used for the oligonucleotide synthesis.Fórmula:C36H44N2O8SiForma y color:SolidPeso molecular:660.83N1-(N,N-Dimethylaminocarbonyl)-pseudouridine
N1-(N,N-Dimethylaminocarbonyl)-pseudouridine is a Nucleoside Derivative - C-nucleoside.Forma y color:SoildRef: TM-TNU0368
5mgA consultar10mgA consultar25mgA consultar50mgA consultar100mgA consultar500mgA consultar5-β-D-Ribofuranosyl-2(1H)-pyridinone
CAS:Nucleoside Derivatives - C-nucleosides; Pyridine nucleosidesFórmula:C10H13NO5Forma y color:SolidPeso molecular:227.21Ref: TM-TNU0137
5mgA consultar10mgA consultar25mgA consultar50mgA consultar100mgA consultar500mgA consultar5'-O-TBDPS-5-methyl-2,2'-anhydrouridine
CAS:5'-O-TBDPS-5-methyl-2,2'-anhydrouridine is a Nucleoside Derivative - Protected nucleoside with NH2/OH open.Fórmula:C26H30N2O5SiForma y color:SolidPeso molecular:478.61Ref: TM-TNU1510
5mgA consultar10mgA consultar25mgA consultar50mgA consultar100mgA consultar500mgA consultar3'-O-(2-Methoxyethyl)uridine
CAS:3'-O-(2-Methoxyethyl)uridine is a Nucleoside Derivative - 3'-Modified nucleoside.Fórmula:C12H18N2O7Forma y color:SolidPeso molecular:302.28Ref: TM-TNU1335
5mgA consultar10mgA consultar25mgA consultar50mgA consultar100mgA consultar500mgA consultar2-Methoxy-9-(β-D-ribofuranosyl)purine
CAS:Nucleoside Derivatives - 6-De-aminopurine nucleosides, 2-Modified purine nucleosidesFórmula:C11H14N4O5Forma y color:SolidPeso molecular:282.25Ref: TM-TNU1109
5mgA consultar10mgA consultar25mgA consultar50mgA consultar100mgA consultar500mgA consultar
