
Detergentes
Los detergentes, clasificados bajo tensioactivos y detergentes, son compuestos esenciales diseñados para reducir la tensión superficial en varios productos, facilitando los procesos de limpieza y emulsificación. Esta sección incluye una amplia gama de tensioactivos, conocidos por su alta eficacia en alterar las propiedades superficiales. Entre ellos, los detergentes zwitteriónicos destacan por su naturaleza más suave y no desnaturalizante, lo que los hace ideales para aplicaciones que requieren una acción suave pero efectiva. Estos detergentes son cruciales tanto en entornos industriales como de laboratorio, donde ayudan a limpiar, emulsionar y estabilizar productos sin comprometer su integridad. Su versatilidad y eficacia los hacen indispensables en numerosas aplicaciones, desde productos de limpieza domésticos hasta reactivos de laboratorio especializados.
Subcategorías de "Detergentes"
Se han encontrado 747 productos de "Detergentes"
Ordenar por
Pureza (%)
0
100
|
0
|
50
|
90
|
95
|
100
3-(4-tert-Butyl-1-pyridinio)propanesulfonate hydrate
CAS:Fórmula:C12H19NO3SPureza:98%Forma y color:SolidPeso molecular:257.34923-(Pyridin-1-ium-1-yl)propane-1-sulfonate
CAS:Fórmula:C8H11NO3SPureza:97%Forma y color:SolidPeso molecular:201.24281-Hexadecanaminium, N,N,N-trimethyl-, hexafluorophosphate(1-) (1:1)
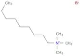
CAS:Fórmula:C19H42F6NPPureza:98%Forma y color:SolidPeso molecular:429.50771-Hexadecanaminium, N,N-dimethyl-N-(3-sulfopropyl)-, inner salt
CAS:Fórmula:C21H45NO3SPureza:97%Forma y color:SolidPeso molecular:391.6519Ref: IN-DA0039S9
5g26,00€25g27,00€50g44,00€75g57,00€100g51,00€200g75,00€25kgA consultar300g109,00€400g114,00€500g125,00€50kgA consultar1-Pentadecanesulfonic acid sodium salt
CAS:Fórmula:C15H31NaO3SForma y color:SolidPeso molecular:314.4596N-Lauroylsarcosine sodium salt hydrate
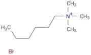
CAS:Fórmula:C15H28NNaO3Pureza:95%Forma y color:SolidPeso molecular:293.3775Cetyltrimethylammonium Bromide
CAS:Fórmula:C19H42BrNPureza:98%Forma y color:SolidPeso molecular:364.4475Ref: IN-DA0034L6
25g20,00€5kg199,00€100g25,00€10kg263,00€250g32,00€500g40,00€250kgA consultar500kgA consultar1-Hexadecanesulfonic acid, sodium salt (1:1)
CAS:Fórmula:C16H33NaO3SPureza:95%Forma y color:SolidPeso molecular:328.4862Poly(oxy-1,2-ethanediyl), a-methyl-w-hydroxy-
CAS:Fórmula:C3H8O2Pureza:95%Forma y color:SolidPeso molecular:76.09441-Hexadecylpyridin-1-ium chloride
CAS:Fórmula:C21H38ClNPureza:98%Forma y color:SolidPeso molecular:339.9861Sodium 1-Undecanesulfonate
CAS:Fórmula:C11H23NaO3SPureza:98%Forma y color:SolidPeso molecular:258.3533N-HEXADECYLTRIMETHYLAMMONIUM TETRAFLUOROBORATE
CAS:Fórmula:C19H42BF4NPureza:97%Forma y color:SolidPeso molecular:371.3481N-HEXADECYLTRIMETHYLAMMONIUM PERCHLORATE
CAS:Fórmula:C19H42ClNO4Pureza:98%Forma y color:SolidPeso molecular:383.99411-Octanamine, hydrobromide (1:1)
CAS:Fórmula:C8H20BrNPureza:98%Forma y color:SolidPeso molecular:210.1551Sorbitan, mono-(9Z)-9-octadecenoate, poly(oxy-1,2-ethanediyl) derivs.
CAS:Fórmula:C32H60O10Pureza:95%Forma y color:LiquidPeso molecular:604.8128Ref: IN-DA00IFZJ
10g20,00€25g20,00€100g24,00€500g28,00€50kg547,00€1000g50,00€100kgA consultar250kgA consultar2,3-Dihydroxypropyl tetradecanoate
CAS:Fórmula:C17H34O4Pureza:%Forma y color:SolidPeso molecular:302.44953-[decyl(dimethyl)azaniumyl]propane-1-sulfonate
CAS:Fórmula:C15H33NO3SPureza:98%Forma y color:SolidPeso molecular:307.4924Dodecanoic acid, sodium salt
CAS:Fórmula:C12H23NaO2Pureza:98%Forma y color:SolidPeso molecular:222.29963-(Dimethyl-octylazaniumyl)propane-1-sulfonate
CAS:Fórmula:C13H29NO3SPureza:98%Forma y color:SolidPeso molecular:279.43931-Hexanaminium, N,N,N-trimethyl-, bromide (1:1)
CAS:Fórmula:C9H22BrNPureza:97%Forma y color:SolidPeso molecular:224.18173-(3-Cholamidopropyl)dimethylammonio-1-propanesulfonate
CAS:Fórmula:C32H58N2O7SPureza:97%Forma y color:SolidPeso molecular:614.8771Ref: IN-DA00ICNA
1g25,00€5g55,00€10g84,00€1kgA consultar25g112,00€100g304,00€250gA consultar500gA consultar250mg30,00€Pyridinium, 1-hexadecyl-, bromide (1:1)
CAS:Fórmula:C21H38BrNPureza:98%Forma y color:SolidPeso molecular:384.4371Glycine, N-methyl-N-(1-oxodecyl)-, sodium salt (1:1)
CAS:Fórmula:C13H24NNaO3Pureza:98%Forma y color:SolidPeso molecular:265.3243Glycine, N-methyl-N-(1-oxododecyl)-
CAS:Fórmula:C15H29NO3Pureza:97%Forma y color:SolidPeso molecular:271.3957Benzyldodecyldimethylammonium Chloride Dihydrate
CAS:Fórmula:C21H42ClNO2Pureza:95%Forma y color:SolidPeso molecular:376.0167(2-Amino-1,3-dihydroxy-2-(hydroxymethyl)propyl)(dodecyl)sulfamic acid
CAS:Fórmula:C14H33NO7SPureza:96.0%Forma y color:SolidPeso molecular:359.4793Nonyltrimethylammonium bromide
CAS:Fórmula:C12H28BrNPureza:98%Forma y color:SolidPeso molecular:266.26141-Octanamine, hydrochloride (1:1)
CAS:Fórmula:C8H20ClNPureza:98%Forma y color:SolidPeso molecular:165.7041Hexadecyltrimethylammonium Chloride
CAS:Fórmula:C19H42ClNPureza:95%Forma y color:SolidPeso molecular:319.99651-Octadecanesulfonic acid, sodium salt (1:1)
CAS:Fórmula:C18H38NaO3SPureza:90%Forma y color:SolidPeso molecular:357.5473Pyridinium, 1-hexadecyl-4-methyl-, chloride (1:1)
CAS:Fórmula:C22H40ClNPureza:98%Peso molecular:354.0127N-Benzyl-N,N-dimethyltetradecan-1-aminium chloride
CAS:Fórmula:C23H42ClNPureza:98%Forma y color:SolidPeso molecular:368.03931-Dodecanesulfonic Acid Sodium Salt
CAS:Fórmula:C12H25NaO3SPureza:95%Forma y color:SolidPeso molecular:272.3799Ref: IN-DA00BIDH
25g20,00€5kg87,00€100g26,00€250g24,00€500g30,00€1000g29,00€5000g86,00€10000g133,00€25000g198,00€2-(N-Methyloleamido)Acetic Acid
CAS:Fórmula:C21H39NO3Pureza:95%Forma y color:LiquidPeso molecular:353.53933-[dimethyl(octadecyl)azaniumyl]propane-1-sulfonate
CAS:Fórmula:C23H49NO3SPureza:97%Forma y color:SolidPeso molecular:419.70511-Octadecanaminium, N,N,N-trimethyl-, chloride
CAS:Fórmula:C21H46ClNPureza:98%Forma y color:SolidPeso molecular:348.0496Nonafluorobutane-1-sulfonic acid
CAS:Fórmula:C4HF9O3SPureza:98%Forma y color:LiquidPeso molecular:300.0996Ref: IN-DA003TA0
1g25,00€5g29,00€10g37,00€1kg530,00€25g50,00€5kgA consultar75g120,00€100g124,00€500g274,00€N,N,N-Trimethyldodecan-1-aminium bromide
CAS:Fórmula:C15H34BrNPureza:98%Forma y color:SolidPeso molecular:308.3412Hexanoic acid, 2,2,3,3,4,4,5,5,6,6,6-undecafluoro-
CAS:Fórmula:C6HF11O2Pureza:98%Forma y color:SolidPeso molecular:314.0534Tetradecyltrimethylammonium chloride
CAS:Fórmula:C17H38ClNPureza:97%Forma y color:SolidPeso molecular:291.9433Benzenemethanaminium, N,N-dimethyl-N-octadecyl-, chloride (1:1)
CAS:Fórmula:C27H50ClNPureza:98%Forma y color:SolidPeso molecular:424.1456Sulfuric acid, monododecyl ester, lithium salt (1:1)
CAS:Fórmula:C12H25LiO4SPureza:98%Forma y color:SolidPeso molecular:272.3305Sorbitan, mono-(9Z)-9-octadecenoate
CAS:Fórmula:C24H44O6Pureza:99%Forma y color:LiquidPeso molecular:428.60261-Decanaminium, N,N,N-trimethyl-, bromide (1:1)
CAS:Fórmula:C13H30BrNPureza:95%Forma y color:SolidPeso molecular:280.28803-(Dimethyl(tetradecyl)ammonio)propane-1-sulfonate
CAS:Fórmula:C19H41NO3SPureza:97%Forma y color:SolidPeso molecular:363.59871-Propanaminium, N,N,N-trimethyl-2,3-bis[[(9Z)-1-oxo-9-octadecenyl]oxy]-, chloride (1:1)
CAS:Fórmula:C42H80ClNO4Pureza:98%Forma y color:SolidPeso molecular:698.5419N-Benzyl-N,N-dimethyldodecan-1-aminium bromide
CAS:Fórmula:C21H38BrNPureza:95%Forma y color:SolidPeso molecular:384.4371Dioctyl sulfosuccinate sodium
CAS:Fórmula:C20H37NaO7SPureza:95%Forma y color:SolidPeso molecular:444.55831-Octanaminium, N,N,N-trimethyl-, chloride (1:1)
CAS:Fórmula:C11H26ClNPureza:95%Forma y color:SolidPeso molecular:207.7838Cetylpyridinium chloride monohydrate
CAS:Fórmula:C21H40ClNOPureza:95%Forma y color:SolidPeso molecular:358.00141-Butanaminium, N,N,N-trimethyl-, bromide (1:1)
CAS:Fórmula:C7H18BrNPureza:97%Forma y color:SolidPeso molecular:196.12851-Octanaminium, N,N,N-trimethyl-, bromide (1:1)
CAS:Fórmula:C11H26BrNPureza:98%Forma y color:SolidPeso molecular:252.23483,6,9,12,15,18,21,24,27-Nonaoxanonatriacontan-1-ol
CAS:Fórmula:C30H62O10Pureza:99%Forma y color:LiquidPeso molecular:582.80731-Dodecanamine, hydrobromide (1:1)
CAS:Fórmula:C12H28BrNPureza:98%Forma y color:SolidPeso molecular:266.2614Triethylene glycol monooctyl ether
CAS:Fórmula:C14H30O4Pureza:≥ 97.0%Forma y color:Clear, colourless liquidPeso molecular:262.39Tetraheptylammonium bromide
CAS:Fórmula:CH3(CH2)6NBrPureza:≥ 99.0%Forma y color:White crystalline powder or flakesPeso molecular:490.70N-Lauroylsarcosine sodium salt, 30% solution
CAS:Fórmula:C15H29NNaO3Forma y color:Clear, colourless liquidPeso molecular:293.39Benzethonium hydroxide solution 1M in methanol
CAS:Fórmula:C27H43NO3Forma y color:Clear, colourless to faint-yellow liquidPeso molecular:429.64Dioctyl sulfosuccinate sodium salt
CAS:Fórmula:C20H37NaO7SPureza:≥ 95.0%Forma y color:White solidPeso molecular:444.55Methoxypolyethylene glycol 500
CAS:Fórmula:CH3(OCH2CH2)nOHForma y color:Colourless to light yellow liquidSucrose monodecanoate
CAS:Fórmula:C22H40O12Pureza:≥ 97.0%Forma y color:White to off-white powderPeso molecular:496.554-Dodecylbenzenesulfonic acid
CAS:Fórmula:C18H30O3SPureza:95.0 - 105.0 %Forma y color:Brown to dark brown liquidPeso molecular:326.49Cetylpyridinium chloride monohydrate, USP grade
CAS:Fórmula:C21H38ClN·H2OPureza:(dried basis) 99.0 - 102.0 %Forma y color:White to off-white powderPeso molecular:358.02N-Decyl-N,N-dimethyl-3-ammonio-1-propanesulfonate
CAS:Fórmula:C15H33NO3SPureza:(HPLC) ≥ 98.0%Forma y color:White powderPeso molecular:307.49Sodium taurocholate hydrate
CAS:Fórmula:C26H44NNaO7S·xH2OPureza:≥ 95.0% (dried basis)Forma y color:White to almost white powderPeso molecular:537.68 (anhydrous)CHAPS hydrate, 99%
CAS:Fórmula:C32H58N2O7S·xH2OPureza:≥ 98.5%Forma y color:White powderPeso molecular:614.88 (anhydrous)N-Octyl-N,N-dimethyl-3-ammonio-1-propanesulfonate (SB-8)
CAS:Fórmula:C13H29NO3SPureza:(HPLC) ≥ 98.0%Forma y color:White powderPeso molecular:279.44Polyethylene glycol dodecyl ether (Brij™ 35)
CAS:<p>Polyethylene glycol dodecyl ether (Brij™ 35)</p>Fórmula:CH3(CH2)10CH2(OCH2CH2)nOH(nForma y color:liq. (white solid @ room temperature)Peso molecular:~1199.54Sodium octyl sulfate, ~50% water
CAS:Fórmula:CH3(CH2)7OSO3NaForma y color:Light yellow liquidPeso molecular:232.28Hexaethylene glycol monododecyl ether solution, 25% in water
CAS:Fórmula:C24H50O7Peso molecular:450.65Allylsulfonic acid sodium salt
CAS:Fórmula:C3H5NaO3SPureza:≥ 95.0%Forma y color:White to off-white powder, crystals or fine granulesPeso molecular:144.12N,N-Dimethyldodecylamine N-oxide, 30% solution in water
CAS:Fórmula:C14H31NOForma y color:Clear, colourless to pale yellow liquidPeso molecular:229.40Sodium 2-ethylhexyl sulfate solution, 40% in water
CAS:Fórmula:C8H17NaO4SForma y color:Clear, colourless to pale yellow or yellow-green solutionPeso molecular:232.27Lithium dodecyl sulfate
CAS:Fórmula:C12H25LiO4SPureza:≥ 98.5%Forma y color:White to off-white powderPeso molecular:272.335-Cyclohexylpentyl β-D-maltoside
CAS:Fórmula:C23H42O11Pureza:≥ 99.0% (β + α)Forma y color:White powderPeso molecular:494.57Undecyl b-D-maltopyranoside
CAS:Fórmula:C23H44O11Pureza:≥ 99.0%Forma y color:White powderPeso molecular:496.59Hexaethylene glycol monododecyl ether
CAS:Fórmula:CH3(CH2)11(OCH2CH2)6OHPureza:≥ 98.0%Forma y color:White solidPeso molecular:450.65N-Dodecyl-N,N-dimethyl-3-ammonio-1-propanesulfonate
CAS:Fórmula:C17H37NO3SPureza:≥ 98.0%Forma y color:White powderPeso molecular:335.55Sodium octyl sulfate
CAS:Fórmula:CH3(CH2)7OSO3NaPureza:98.5 - 101.5 % (dried basis)Forma y color:White to almost white powderPeso molecular:232.28Sodium taurolithocholate
CAS:Fórmula:C26H44NO5SNaPureza:≥ 95.0% (dried basis)Forma y color:White to off-white powderPeso molecular:505.693-[N,N-Dimethyl(3-palmitoylaminopropyl)ammonio]-propanesulfonate
CAS:Fórmula:C24H50N2O4SPeso molecular:462.733-(N,N-Dimethylmyristylammonio)propanesulfonate
CAS:Fórmula:C19H41NO3SPureza:(HPLC) ≥ 98.0%%Forma y color:White powderPeso molecular:363.601-Octanesulfonic acid sodium salt, HPLC grade
CAS:Fórmula:CH3(CH2)7SO3NaPureza:≥ 99.0%Forma y color:White powderPeso molecular:216.28Benzalkonium chloride, 50% solution in water
CAS:Forma y color:Clear, colourless to pale yellow liquidPeso molecular:-Brij O10
CAS:Fórmula:C18H35(OCH2CH2)nOHnForma y color:Colourless to yellow liquid or semi-solidPeso molecular:1149.53N-Octadecyl-N,N-dimethyl-3-ammonio-1- propanesulfonate (SB-18)
CAS:Fórmula:C23H49NO3SPureza:(HPLC) ≥ 98.0%Forma y color:White to light yellow powderPeso molecular:419.71Tetrakis(decyl)ammonium bromide
CAS:Fórmula:C40H84BrNPureza:≥ 99.0%Forma y color:White to off-white powder or crystalsPeso molecular:659.011-Pentanesulfonic acid sodium salt, HPLC grade
CAS:Fórmula:CH3(CH2)4SO3NaPureza:≥ 99.0%Forma y color:White powderPeso molecular:174.19Triethylene glycol monododecyl ether
CAS:Fórmula:CH3(CH2)11(OCH2CH2)3OHPureza:≥ 95.0%Forma y color:Clear, colourless liquidPeso molecular:318.49Polyoxyethylene (10) cetyl ether
CAS:Fórmula:C16H33(OCH2CH2)nOHnForma y color:White to off-white waxy solidPeso molecular:-Surfactin
CAS:Fórmula:C53H93N7O13Pureza:≥ 98.0%Forma y color:White to faint-yellow powderPeso molecular:1036.34Decyl-β-D-1-thiomaltopyranoside
CAS:Fórmula:C22H42O10SPureza:≥ 99.0% (β+α)Forma y color:White to off-white powderPeso molecular:498.63Sodium octyl sulfate, 99%, GlenUltra™
CAS:Fórmula:CH3(CH2)7OSO3NaPureza:≥ 99.0% (dried basis)Forma y color:White to almost white powderPeso molecular:232.28ASB-14
CAS:Fórmula:C22H46N2O4SPureza:≥ 98.0%Forma y color:White to almost white powderPeso molecular:434.68Methylbenzethonium chloride
CAS:Fórmula:C28H44NO2ClPureza:≥ 99%Forma y color:White crystalline powderPeso molecular:462.11Chenodeoxycholic acid sodium salt
CAS:Fórmula:C24H39NaO4Pureza:≥ 97.0% (anhydrous basis)Forma y color:White or almost white powderPeso molecular:414.55Sodium dodecyl sulfate, for analysis
CAS:Fórmula:C12H25O4SNaPureza:(Titration) ≥ 99.0%Forma y color:White powderPeso molecular:288.38Sodium glycodeoxycholate
CAS:Fórmula:C26H42NNaO5Pureza:≥ 97.0%Forma y color:White to off-white powderPeso molecular:471.61Dodecyltrimethylammonium bromide
CAS:Fórmula:C15H34BrNPureza:≥ 99.0%Forma y color:White crystalline powderPeso molecular:308.356-Cyclohexylhexyl-4-O-(a-D-glucopyranosyl)-b-D-glucopyranoside
CAS:Fórmula:C24H44O11Peso molecular:508.60N-Hexadecyl-N,N-dimethyl-3-ammonio-1-propanesulfonate
CAS:Fórmula:C21H45NO3SPureza:≥ 98.0%Forma y color:White crystalline powderPeso molecular:391.65Methoxypolyethylene glycol 350
CAS:Fórmula:CH3(OCH2CH2)nOHForma y color:Colourless to light yellow liquidPeso molecular:320 - 370Chenodeoxycholic acid
CAS:Fórmula:C24H40O4Pureza:≥ 98.0%Forma y color:White to off-white powderPeso molecular:392.57Tween 60
CAS:Fórmula:C64H126O26Forma y color:Pale yellow to yellow viscous liquidPeso molecular:1311.70Dodecyl b-D-maltopyranoside, 99%
CAS:Fórmula:C24H46O11Pureza:≥ 99.0%Forma y color:White crystalline powder or crystalsPeso molecular:510.62Chenodeoxycholic acid, 97%, from chicken
CAS:Fórmula:C24H40O4Pureza:≥ 97.0%Forma y color:White or off-white powderPeso molecular:392.571-Butanesulfonic acid sodium salt, HPLC grade
CAS:Fórmula:CH3(CH2)3SO3NaPureza:≥ 99.0%Forma y color:White powderPeso molecular:160.171-Heptanesulfonic acid sodium salt, HPLC grade
CAS:Fórmula:CH3(CH2)6SO3NaPureza:≥ 99.0%Forma y color:White powderPeso molecular:202.24Sodium caprylate, USP grade
CAS:Fórmula:C8H15NaO2Pureza:≤ 0.3%Forma y color:White to almost white powderPeso molecular:166.20Sodium glycocholate hydrate
CAS:Fórmula:C26H42NO6Na·xH2OPureza:(HPLC) ≥ 97.0%Forma y color:White to off-white powderPeso molecular:487.60 (anhydrous)Tetramethylammonium hydroxide pentahydrate
CAS:Fórmula:C4H13NO·5H2OPureza:97.5 - 102.5 % (anhydrous basis)Forma y color:Colourless crystals or white crystalline powderPeso molecular:181.23Hexyl β-D-Thioglucopyranoside
CAS:Fórmula:C12H24O5SPureza:≥ 98.0%Forma y color:White to off-white solidPeso molecular:280.38Pentaethylene glycol monododecyl ether
CAS:Fórmula:CH3(CH2)11(OCH2CH2)5OHPureza:≥ 98.0%Forma y color:Colourless or white solid, semi-solid or liquidPeso molecular:406.60Dodecyltrimethylammonium chloride
CAS:Fórmula:C15H34ClNPureza:(Titration) ≥ 98.0% (dried basis)Forma y color:White to off-white powder or crystalsPeso molecular:263.90Polyethylene glycol 1500
CAS:Fórmula:CH2CH2OnForma y color:White powder, crystals or flakesPeso molecular:1,400 - 1,600Benzethonium chloride
CAS:Fórmula:C27H42ClNO2Pureza:97.0 - 103.0 %Forma y color:White or almost white powderPeso molecular:448.101-Hexanesulfonic acid sodium salt, HPLC grade
CAS:Fórmula:CH3(CH2)5SO3NaPureza:≥ 99.0%Forma y color:White powderPeso molecular:188.22Glycochenodeoxycholic acid sodium salt
CAS:Fórmula:C26H42NNaO5Pureza:(dried basis) ≥ 97.0%Forma y color:White to off-white powderPeso molecular:471.61Tetrabutylammonium perchlorate
CAS:Fórmula:C16H36ClNO4Pureza:≥ 98.0%Forma y color:White to off-white crystalline powder or crystalsPeso molecular:341.92Pluronic F-68
CAS:Fórmula:(C3H6O·C2H4O)xForma y color:White to almost white prills or flakesPeso molecular:(102.13)x3-(1-Pyridinio)-1-propanesulfonate
CAS:Fórmula:C8H11NO3SPureza:(Titration) ≥ 98.0%Forma y color:White to off-white powder or crystalsPeso molecular:201.24Hexaethylene glycol monodecyl ether
CAS:Fórmula:C22H46O7Pureza:≥ 98.0%Forma y color:Clear, colourless liquidPeso molecular:422.60Ethylene glycol monohexadecyl ether
CAS:Fórmula:CH3(CH3)15OCH2CH2OHPureza:≥ 98.0%Forma y color:White to off-white solidPeso molecular:286.49Sodium taurochenodeoxycholate
CAS:Fórmula:C26H44NNaO6SPureza:≥ 97.0%Forma y color:White to off-white or light-beige powderPeso molecular:521.69DL-α-Monoolein, 98%
CAS:Fórmula:C21H40O4Pureza:≥ 98.0%Forma y color:White crystalline solid, low melting pointPeso molecular:356.54SPS
CAS:Fórmula:C6H12Na2O6S4Forma y color:White to pale yellow crystalline powderPeso molecular:354.37Tetradecyl b-D-maltopyranoside
CAS:Fórmula:C26H50O11Pureza:≥ 99.0%Forma y color:White crystalline powderPeso molecular:538.67Thonzonium bromide
CAS:Fórmula:C32H55N4OBrPureza:≥ 98.0%Forma y color:White powderPeso molecular:591.71Bisoctyl dimethyl ammonium chloride, 50% in water
CAS:Fórmula:C18H40ClNForma y color:Clear, colourless to light yellow liquidPeso molecular:305.97Cyclohexylmethyl-4-O-(a-D-glucopyranosyl)-b-D-glucopyranoside
CAS:Fórmula:C19H34O11Peso molecular:438.471-Pentanesulfonic acid sodium salt monohydrate
CAS:Fórmula:CH3(CH2)4SO3Na·H2OPureza:≥ 98.0%Forma y color:White crystalline powderPeso molecular:192.19N-Lauroylsarcosine sodium salt
CAS:Fórmula:C15H28NNaO3Pureza:≥ 97.0%Forma y color:White powderPeso molecular:293.38



