
Inhibitors
Inhibitors are molecules that bind to enzymes, receptors, or other proteins to reduce or block their biological activity. These compounds are widely used in research to study biological pathways, understand disease mechanisms, and develop therapeutic drugs. Inhibitors play a crucial role in the treatment of various diseases, including cancer, cardiovascular diseases, and infections. At CymitQuimica, we provide a diverse range of high-quality inhibitors to support your research in biochemistry, cell biology, and pharmaceutical development.
Subcategories of "Inhibitors"
- Angiogenesis(2,542 products)
- Apoptosis(5,816 products)
- Cell Cycle/Checkpoint(4,466 products)
- Chromatin/Epigenetics(2,252 products)
- Cytoskeletal Signaling(1,381 products)
- DNA Damage/DNA Repair(2,830 products)
- Endocrinology/Hormones(3,518 products)
- Enzyme(3,640 products)
- GPCR/G-Protein(8,362 products)
- Immunology and Inflammation(3,540 products)
- Influenza Virus(296 products)
- JAK/STAT signaling(405 products)
- MAPK Signaling(1,201 products)
- Membrane Transporter/Ion Channel(2,809 products)
- Metabolism(9,462 products)
- Microbiology/Virology(7,003 products)
- Neuroscience(9,942 products)
- Other Inhibitors(37,827 products)
- Oxidation-Reduction(40 products)
- PI3K/Akt/mTOR Signaling(1,399 products)
- Proteases/Proteasome(1,598 products)
- Stem Cell and Derivatives(830 products)
- Tyrosine Kinase/Adaptors(2,012 products)
- Ubiquitination(1,651 products)
Show 16 more subcategories
Found 66618 products of "Inhibitors"
Sort by
Purity (%)
0
100
|
0
|
50
|
90
|
95
|
100
Sarcosterol
CAS:<p>Sarcosterol is a marine sterol from the soft coral Sinularia mayi.</p>Formula:C29H48OColor and Shape:SolidMolecular weight:412.69GR 94800
CAS:<p>Potent and selective tachykinin NK2 receptor antagonist</p>Formula:C49H61N9O8Purity:98%Color and Shape:SolidMolecular weight:904.082Phalaenopsine Is
<p>Phalaenopsine Is is a useful organic compound for research related to life sciences and the catalog number is T124877.</p>Formula:C26H30O8Color and Shape:SolidMolecular weight:470.518Compound 0449-0121
<p>Compound 0449-0121 is a useful organic compound for research related to life sciences and the catalog number is T131654.</p>Formula:C35H52O14Color and Shape:SolidMolecular weight:696.787Deditonium bromide
CAS:<p>Deditonium bromide is biochemical.</p>Formula:C38H66Br2N2O2Color and Shape:SolidMolecular weight:742.75Compound 0407-0024
Compound 0407-0024 is a useful organic compound for research related to life sciences and the catalog number is T131713.Formula:C23H34O5Color and Shape:SolidMolecular weight:390.525,7-dimethoxy-2,2-dimethylchromene
<p>5,7-dimethoxy-2,2-dimethylchromene is a useful organic compound for research related to life sciences and the catalog number is T125343.</p>Formula:C13H16O3Color and Shape:SolidMolecular weight:220.268Koninginin A
CAS:<p>Koninginin A is a natural product that can be used as a reference standard. The CAS number of Koninginin A is 125291-65-8.</p>Formula:C16H28O4Color and Shape:SolidMolecular weight:284.396BS2G Crosslinker
CAS:<p>BS2G, a water-soluble, amine-reactive crosslinker, labels cell surface proteins; can't cross cell membranes.</p>Formula:C13H14N2O14S2Color and Shape:SolidMolecular weight:486.38TAK-778
CAS:TAK-778, a derivative of ipriflavone, demonstrates the ability to stimulate bone growth in both in vitro and in vivo models.Formula:C24H28NO7PSPurity:98%Color and Shape:SolidMolecular weight:505.52Wortmannin-Rapamycin Conjugate
CAS:<p>Phosphoinositide 3-kinase (PI3K) and mammalian target of rapamycin (mTOR) act synergistically in promoting cancer.</p>Formula:C88H131N3O23Color and Shape:SolidMolecular weight:1599.014SARS-CoV-2 Mpro-IN-8
<p>SARS-CoV-2 Mpro-IN-8 (compound 6b) is an antiviral agent effective against SARS-CoV-2 [1].</p>Formula:C33H35ClN3O5PPurity:98%Color and Shape:SolidMolecular weight:620.07FAK-IN-1
CAS:<p>FAK-IN-1 is a FAK inhibitor with anticancer activities (WO2020231726 (Example 27)).</p>Formula:C24H26F3N7O4SColor and Shape:SolidMolecular weight:565.57(E/Z)-10-Hydroxy-2-decenoic acid
CAS:<p>(E/Z)-10-Hydroxy-2-decenoic acid is a useful organic compound for research related to life sciences.</p>Formula:C10H18O3Color and Shape:SolidMolecular weight:186.25117-DMAP-GA
CAS:<p>17-DMAP-GA, a Geldanamycin analogue, acts as an HSP90 inhibitor, leading to cell cycle abnormalities.</p>Formula:C33H50N4O8Color and Shape:SolidMolecular weight:630.783Cyclic ADP-ribose ammonium
<p>cADPR ammonium is a second messenger that boosts cytosolic calcium via Ryanodine receptors and TRPM2 channels.</p>Color and Shape:LiquidDnp-PLALWAR (trifluoroacetate salt)
<p>Dnp-PLALWAR is a substrate for MMP-1 and MMP-8, quantified by unquenched tryptophan fluorescence upon peptide hydrolysis.</p>Color and Shape:SolidCefalexin lysine
CAS:<p>Cefalexin lysine is a derivative of Cefalexin which is an antibiotic.</p>Formula:C22H31N5O6SColor and Shape:SolidMolecular weight:493.58TP-TRFS
<p>TP-TRFS is a highly selective and the first two-photon fluorescent probe of thioredoxin reductase (TrxR) [1] .</p>Formula:C16H15NO3S2Color and Shape:SolidMolecular weight:333.43Br-Boc-C2-azido
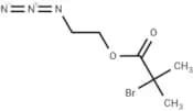
CAS:<p>Br-Boc-C2-azido is a alkyl/ether-based linker for PROTACs which joins two essential ligands, crucial for forming PROTAC molecules.</p>Formula:C6H10BrN3O2Color and Shape:SolidMolecular weight:236.07μ-TRTX-Hd1a
<p>μ-TRTX-Hd1a, a spider venom-derived compound, selectively inhibits the human NaV 1.7 channel by functioning as a gating modifier.</p>Formula:C160H246N46O51S6Purity:98%Color and Shape:SolidMolecular weight:3822.336β-Hydroxyhispanone
CAS:<p>6beta-Hydroxyhispanone is a natural product for research related to life sciences. The catalog number is TN3203 and the CAS number is 170711-93-0.</p>Formula:C20H28O3Purity:98%Color and Shape:SolidMolecular weight:316.43Neoechinulin D
CAS:<p>Neoechinulin D is a useful organic compound for research related to life sciences. The catalog number is T124621 and the CAS number is 57765-86-3.</p>Formula:C24H29N3O2Color and Shape:SolidMolecular weight:391.515m-PEG-acrylate (MW 2000)
<p>m-PEG-acrylate (MW 2000) is a PEG-based linker for PROTACs synthesis.</p>Purity:98%Color and Shape:SolidMolecular weight:N/AhCAIX-IN-13
CAS:<p>hCAIX-IN-13 (Pt2) inhibits CAIX with 6.57 μM IC50, curbs cancer cell growth, and induces apoptosis for cancer research.</p>Formula:C37H33F3N6O7PtS2Color and Shape:SolidMolecular weight:989.9m-Dioxan-5-amine, 2-(3,4-dichlorophenyl)-5-methyl-
CAS:<p>m-Dioxan-5-amine, 2-(3,4-dichlorophenyl)-5-methyl- is a bioactive chemical.</p>Formula:C11H13Cl2NO2Color and Shape:SolidMolecular weight:262.13Belladonnine
<p>Belladonnine is a natural product that can be used as a reference standard.</p>Formula:C34H42N2O4Color and Shape:SolidMolecular weight:542.72NO2-SPDB-sulfo
CAS:<p>NO2-SPDB-sulfo is a cleavable linker vital in ADC synthesis.</p>Formula:C13H13N3O9S3Color and Shape:SolidMolecular weight:451.44ACTH (22-39) acetate
<p>ACTH (22-39) acetate is a fragment of adrenocorticotropic hormone (ACTH) containing two proline residues at positions 3 and 15 from the N-terminus.</p>Formula:C92H129N19O34Purity:98.14%Color and Shape:SolidMolecular weight:2045.12DB-3-291
<p>DB-3-291 is potent and selective CSK degrader, with a K d of 1 nM [1] .</p>Formula:C41H44ClN11O8SColor and Shape:SolidMolecular weight:886.371-Deoxypebrolide
<p>1-Deoxypebrolide is a useful organic compound for research related to life sciences and the catalog number is T128337.</p>Formula:C24H30O6Color and Shape:SolidMolecular weight:414.4989-Acetyl-O-isovaleroyldihydrooroselol.
<p>9-Acetyl-O-isovaleroyldihydrooroselol. is a useful organic compound for research related to life sciences and the catalog number is T130124.</p>Formula:C21H24O7Color and Shape:SolidMolecular weight:388.416IGF-I (30-41) TFA(82177-09-1,FREE)
<p>IGF-I (30-41) (TFA) is amino acids 30 to 41 fragment of Insulin-like Growth Factor I (IGF-I).</p>Formula:C51H83N19O19·C2HF3O2Purity:98%Color and Shape:SolidMolecular weight:1380.36Digitolutein
CAS:<p>Digitolutein is a useful organic compound for research related to life sciences and the catalog number is T124809.</p>Formula:C16H12O4Color and Shape:SolidMolecular weight:268.268SDH-IN-7
<p>SDH-IN-7 (compound G28) is a potent inhibitor of succinate dehydrogenase (SDH), exhibiting an IC50 value of 26 nM against porcine SDH and possesses fungicidal</p>Formula:C18H15Cl3F3N3OColor and Shape:SolidMolecular weight:452.69MC-VC-PABC-DNA31
CAS:MC-VC-PABC-DNA31: ADC drug-linker with DNA31 for potent cancer treatment via RNA polymerase inhibition.Formula:C77H96N10O21Purity:98%Color and Shape:SolidMolecular weight:1497.664Galanin-Like Peptide (rat)
CAS:<p>Galanin-Like Peptide (rat), a neuropeptide comprising 60 amino acids, plays a crucial role in regulating feeding, body weight, and energy metabolism [1].</p>Formula:C288H461N87O83SPurity:98%Color and Shape:SolidMolecular weight:6502.34Gersizangitide acetate
<p>Gersizangitide acetate is an inhibitor of angiogenesis.</p>Formula:C113H171N29O30Purity:98%Color and Shape:SolidMolecular weight:2415.74SCH-221
CAS:<p>SCH-221 is a bioactive chemical.</p>Formula:C24H33NO4SColor and Shape:SolidMolecular weight:431.59Jinflexin D
CAS:<p>Jinflexin D is a natural product for research related to life sciences. The catalog number is TN5728 and the CAS number is 2055155-78-5.</p>Formula:C36H32O3Purity:98%Color and Shape:SolidMolecular weight:512.64Acetamide, 2-(p-butoxyphenoxy)-N-(2-(dimethylamino)ethyl)-N-(m-ethoxyphenyl)-, hydrochloride
CAS:<p>Acetamide, 2-(p-butoxyphenoxy)-N-(2-(dimethylamino)ethyl)-N-(m-ethoxyphenyl)-, hydrochloride is a bioactive chemical.</p>Formula:C24H35ClN2O4Color and Shape:SolidMolecular weight:451.00Triptotin F
<p>Triptotin F is a natural product that can be used as a reference standard.</p>Formula:C31H44O5Color and Shape:SolidMolecular weight:496.688hemagglutinin (332-340) [Influenza A virus]
<p>Influenza hemaglutinin, a surface antigenic glycoprotein on flu viruses, binds to sialic acid on cells for infection.</p>Formula:C42H75N13O13Purity:98%Color and Shape:SolidMolecular weight:970.12Ethyl cyclohexylacetate
CAS:<p>Ethyl cyclohexylacetate is an agent of biochemical.</p>Formula:C10H18O2Purity:98%Color and Shape:SolidMolecular weight:170.25(±)-5,7-Dimethyltocol
CAS:<p>(±)-5,7-Dimethyltocol is a form of tocopherol.</p>Formula:C28H48O2Color and Shape:SolidMolecular weight:416.69Decane, 1-isothiocyanato-
CAS:<p>Decane, 1-isothiocyanato- is a biochemical.</p>Formula:C11H21NSPurity:98%Color and Shape:SolidMolecular weight:199.36Fargesone A
CAS:<p>Fargesone A inhibits NO production in LPS/interferon-gamma-stimulated J774.1 murine macrophages.</p>Formula:C21H24O6Purity:98%Color and Shape:SolidMolecular weight:372.417Isopropyl palmitate
CAS:<p>Isopropyl palmitate is the isopropyl alcohol and palmitic acid ester. It is a moisturizer, emollient, anti-static agent, and thickening agent.</p>Formula:C19H38O2Purity:98%Color and Shape:Colorless Liquid LiquidMolecular weight:298.512',5,6',7-Tetraacetoxyflavanone
CAS:<p>2',5,6',7-Tetraacetoxyflavanone is a natural product for research related to life sciences. The catalog number is TN2724 and the CAS number is 80604-17-7.</p>Formula:C23H20O10Purity:98%Color and Shape:SolidMolecular weight:456.4Nampt degrader-2
<p>Nampt degrader-2: a fluorescent PROTAC that degrades NAMPT at IC50 41.9 nM, reducing NAD+ and having anti-tumor effects.</p>Formula:C59H73N9O7SColor and Shape:SolidMolecular weight:1052.33Mannitol myleran
CAS:<p>Mannitol myleran is a reagent used in the preparation of pharmaceutical compounds for tumor diagnosis and treatment.</p>Formula:C8H18O10S2Color and Shape:SolidMolecular weight:338.34Deacetylsaptomycin D
CAS:<p>Deacetylsaptomycin D is a biochemical.</p>Formula:C33H35NO8Color and Shape:SolidMolecular weight:573.642Wistin
CAS:<p>Wistin, isolated from Caragana sinica roots, is a PPARα and PPARγ agonist [1] [2] .</p>Formula:C23H24O10Color and Shape:SolidMolecular weight:460.43Thiol-PEG4-Boc
CAS:<p>Thiol-PEG4-Boc is a PEG-based linker for PROTACs which joins two essential ligands, crucial for forming PROTAC molecules.</p>Formula:C15H30O6SPurity:98%Color and Shape:SolidMolecular weight:338.46Carbanilic acid, m-hexyloxy-, 2-piperidinocyclohexyl ester, hydrochloride, (E)-
CAS:<p>Carbanilic acid, m-hexyloxy-, 2-piperidinocyclohexyl ester, hydrochloride, (E)- is a bioactive chemical.</p>Formula:C24H39ClN2O3Color and Shape:SolidMolecular weight:439.03GW853606
CAS:<p>GW853606 is a bioactive chemical.</p>Formula:C20H13BrF3N3O2SColor and Shape:SolidMolecular weight:496.33β-Hydroxyporiferast-5-en-7-one
<p>3β-Hydroxyporiferast-5-en-7-one is a useful organic compound for research related to life sciences and the catalog number is T125845.</p>Formula:C29H48O2Color and Shape:SolidMolecular weight:428.701Lanosteryl acetate
CAS:<p>Lanosteryl acetate is a bioactive chemical.</p>Formula:C32H52O2Color and Shape:SolidMolecular weight:468.75DBCO-PEG9-NH-Boc
DBCO-PEG9-NH-Boc is a PEG-based linker for PROTACs which joins two essential ligands, crucial for forming PROTAC molecules.Formula:C44H65N3O13Purity:98%Color and Shape:SolidMolecular weight:844m-Cresol, α,α,α-trifluoro-6-nitro-, p-nitrobenzoate
CAS:<p>m-Cresol, alpha,alpha,alpha-trifluoro-6-nitro-, p-nitrobenzoate is a bioactive chemical.</p>Formula:C14H7F3N2O6Color and Shape:SolidMolecular weight:356.21Macrodaphnidin
CAS:<p>Macrodaphnidin is a biochemical.</p>Formula:C27H37NO7Color and Shape:SolidMolecular weight:487.59Sissotrin
CAS:<p>Sissotrin is a natural product extracted from Pterospartum tridentatum with antimicrobial and antioxidant activities.</p>Formula:C22H22O10Purity:98%Color and Shape:SolidMolecular weight:446.4NDNA4
<p>NDNA4 (compound 17) is a selective Hsp90α inhibitor (IC50: 0.34 μM), characterized by its permanent charge and low membrane permeability.</p>Formula:C31H35F3N2O5SPurity:98%Color and Shape:SolidMolecular weight:604.68SB1-G-187
CAS:<p>SB1-G-187 is a PROTAC (PROteolysis TArgeting Chimera) that functions as a multi-kinase degrader [1].</p>Formula:C52H54F3N9O10Purity:98%Color and Shape:SolidMolecular weight:1022.03Acetyl tetrapeptide-2
CAS:<p>Acetyl tetrapeptide-2 is a skin conditioner, by soothing and nourishing the skin through similar mechanisms as other peptides.</p>Formula:C26H39N5O9Purity:98%Color and Shape:SolidMolecular weight:565.622-Hydroxy-3-(hydroxymethyl)anthraquinone
CAS:2-Hydroxy-3-(hydroxymethyl)anthraquinone doubles QR activity in Hepa 1c1c7 at 0.94µM.Formula:C15H10O4Purity:98%Color and Shape:SolidMolecular weight:254.2L 683519
CAS:<p>L 683519 is one of the Tacrolimus impurities with immunosuppressant and could restrain the activity of FK-506 binding protein.</p>Formula:C43H67NO12Color and Shape:SolidMolecular weight:789.99Delbonine
CAS:Delbonine is a natural product for research related to life sciences. The catalog number is TN6076 and the CAS number is 95066-33-4.Formula:C27H43NO8Purity:98%Color and Shape:SolidMolecular weight:509.64Trachelosperogenin A1
CAS:Trachelosperogenin A1 is a useful organic compound for research related to life sciences. The catalog number is T126418 and the CAS number is 109750-36-9.Formula:C36H56O12Color and Shape:SolidMolecular weight:680.832Tyvelose
CAS:<p>Tyvelose: 3,6-dideoxyhexose in T. spiralis, trichinosis-causing, evokes IgG1 in mice, non-resistant; rapid expulsion in treated rats.</p>Formula:C6H12O4Color and Shape:SolidMolecular weight:148.16Compound 0118-0250
<p>Compound 0118-0250 is a useful organic compound for research related to life sciences and the catalog number is T131685.</p>Formula:C15H11ClO4Color and Shape:SolidMolecular weight:290.7N-(3-hydroxy-7-cis tetradecenoyl)-L-Homoserine lactone
CAS:<p>N-(3-hydroxy-7-cis-tetradecenoyl)-L-homoserine lactone, an AHL for bacterial quorum sensing, does not affect cytokines in LPS-stimulated macrophages.</p>Formula:C18H31NO4Color and Shape:SolidMolecular weight:325.44Fructosyl-lysine dihydrochloride
CAS:<p>Fructoselysine dihydrochloride, a Maillard reaction product and precursor to diabetes marker glucosepane.</p>Formula:C12H26Cl2N2O7Color and Shape:SolidMolecular weight:381.25Amicoumacin C
CAS:<p>Amicoumacin C is a useful organic compound for research related to life sciences. The catalog number is T124228 and the CAS number is 77682-31-6.</p>Formula:C20H26N2O7Color and Shape:SolidMolecular weight:406.435o-Nitrophenylsulfenyl-lysyl-tryptophan
CAS:<p>o-Nitrophenylsulfenyl-lysyl-tryptophan is a bioactive chemical.</p>Formula:C23H27N5O5SColor and Shape:SolidMolecular weight:485.56p-Methylbenzyl acetate
CAS:<p>p-Methylbenzyl acetate is an agent of biochemical.</p>Formula:C10H12O2Purity:98%Color and Shape:Less Liquid Colorless LiquidMolecular weight:164.2042-(Azido-PEG2-amido)-1,3-propandiol
CAS:<p>2-(Azido-PEG2-amido)-13-propandiol is a Polyethylene glycol (PEG)-based PROTAC linker used for the synthesis of PROTACs[1].</p>Formula:C10H20N4O5Purity:98%Color and Shape:SolidMolecular weight:276.29Minaprine
CAS:<p>Minaprine is a reversible inhibitor of MAO-A, used in the treatment of various depressive states.</p>Formula:C17H22N4OPurity:98%Color and Shape:SolidMolecular weight:298.38Difucosyl-para-lacto-N-hexaose
CAS:<p>DFpLNH II: a reagent for life science research, usable as a biological material/organic compound.</p>Formula:C52H88N2O39Color and Shape:SolidMolecular weight:1365.258-iso-13,14-dihydro-15-keto Prostaglandin F2α
CAS:<p>8-iso-13,14-dihydro-15-keto Prostaglandin F2α (8-iso-13,14-dihydro-15-keto PGF2α) is a metabolite of the isoprostane, 8-isoprostane (8-iso PGF2α), in rabbits,</p>Formula:C20H34O5Color and Shape:SolidMolecular weight:354.48Y 19018
CAS:<p>Y 19018 is a biochemical.</p>Formula:C20H22N2OColor and Shape:SolidMolecular weight:306.401-Naphthalenethiol
CAS:<p>1-Naphthalenethiol is an agent of biochemical.</p>Formula:C10H8SColor and Shape:Clear Light Yellow To Yellow LiquidMolecular weight:160.24LY-466195
CAS:<p>LY-466195 is a competitive antagonist of GLUK5 receptor.</p>Formula:C16H24F2N2O4Color and Shape:SolidMolecular weight:346.37CPD-1224
CAS:<p>CPD-1224, an oral ALK inhibitor derivative, binds cereblon, targets EML4-ALK fusions, and degrades ALK plus L1196M/G1202R mutants.</p>Formula:C43H47ClN8O7SColor and Shape:SolidMolecular weight:855.4hMAO-B-IN-5
CAS:<p>hMAO-B-IN-5: potent, selective hMAO-B inhibitor (IC50: 0.12μM), crosses blood-brain barrier, for Parkinson's research.</p>Formula:C24H22O3Purity:99.97%Color and Shape:SolidMolecular weight:358.43Cyclopentyl phenyl ketone
CAS:<p>Cyclopentyl phenyl ketone (Benzoylcyclopentane) is used for the prevention and treatment of traumatic stress.</p>Formula:C12H14OPurity:98.86%Color and Shape:SolidMolecular weight:174.24Lumi-PI
CAS:<p>Lumi-PI is used as a chemiluminescent substrate for detecting phosphatidylinositol-specific phospholipase C.</p>Formula:C24H33O12PColor and Shape:SolidMolecular weight:544.49Jervine HCl
CAS:<p>Jervine, a steroidal alkaloid from Veratrum, inhibits tumors via Hedgehog pathway.</p>Formula:C27H40INO3Color and Shape:SolidMolecular weight:553.52Leucasin
CAS:<p>Leucasin is a triterpene saponin from Leucas nutans.</p>Formula:C42H70O12Color and Shape:SolidMolecular weight:767.01Moxilubant HCl
CAS:<p>Moxilubant HCl: small molecule LTB4R antagonist for immune, skin, musculoskeletal disorders, and research in psoriasis, arthritis.</p>Formula:C26H38ClN3O4Purity:99.94%Color and Shape:SoildMolecular weight:492.05p-Phenetidine, 3-methoxy-
CAS:<p>p-Phenetidine, 3-methoxy- is a bioactive chemical.</p>Formula:C9H13NO2Color and Shape:SolidMolecular weight:167.205methyl 3-(acetyloxy)pregnan-21-oate
<p>methyl 3-(acetyloxy)pregnan-21-oate is a useful organic compound for research related to life sciences and the catalog number is T131417.</p>Formula:C24H38O4Color and Shape:SolidMolecular weight:390.564LY-368842
CAS:<p>LY-368842 is a bioactive chemical.</p>Formula:C27H30N4O4Color and Shape:SolidMolecular weight:474.553'-O-Methylgnetifolin M
<p>3'-O-Methylgnetifolin M is a useful organic compound for research related to life sciences and the catalog number is T125232.</p>Formula:C16H14O4Color and Shape:SolidMolecular weight:270.2842-Butanoylthiophene
CAS:<p>2-Butanoylthiophene is a com[ound of biochemical.</p>Formula:C8H10OSColor and Shape:SolidMolecular weight:154.23Sequirin C
CAS:<p>Sequirin C can inhibit feeding behavior.</p>Formula:C17H18O5Purity:98%Color and Shape:SolidMolecular weight:302.32Org 31258
CAS:<p>Org 31258 is a Neuropeptide.</p>Formula:C60H102N14O21Color and Shape:SolidMolecular weight:1355.53m-PEG-NPC (MW 20000)
m-PEG-NPC (MW 20000) is a PEG-based linker for PROTACs which joins two essential ligands, crucial for forming PROTAC molecules.Purity:98%Color and Shape:SolidMolecular weight:N/AUty HY Peptide (246-254)
CAS:Uty HY Peptide (246-254) is a male-specific antigen from Y chromosome H-YDB gene.Formula:C53H77N15O13S2Purity:98%Color and Shape:SolidMolecular weight:1196.4α-Epoxydihydroartemisinic acid
CAS:<p>alpha-Epoxydihydroartemisinic acid is a natural product for research related to life sciences. The catalog number is TN3384 and the CAS number is 380487-65-0.</p>Formula:C15H24O3Purity:98%Color and Shape:SolidMolecular weight:252.354

