
Organic Phosphates and Phosphonates
Organic phosphates are compounds that contain a phosphate group (-PO₄) attached to a carbon atom within an organic structure, typically in combination with alcohols, acids, or amines. These compounds are used in API formulation to enhance the solubility, stability, and bioavailability of active ingredients. Organic phosphates also play a role in controlled drug release and in improving the absorption of certain medications.
Organic phosphonates contain a phosphonate group (-PO₃H₂) in which the phosphorus atom is bonded to a carbon atom and two oxygen groups. These compounds have important pharmacological properties, particularly in enzyme inhibition and biochemical process modulation. Organic phosphonates are used in the production of APIs that target bone metabolism, bacterial infections, or antiviral treatments due to their specific biological effects.
At CymitQuimica, we offer organic phosphates and phosphonates for research in medicinal chemistry, biochemistry, and the development of advanced formulations.
Found 1190 products of "Organic Phosphates and Phosphonates"
Sort by
Purity (%)
0
100
|
0
|
50
|
90
|
95
|
100
Minodronic Acid
CAS:Formula:C9H12N2O7P2Color and Shape:White To Off-White SolidMolecular weight:322.15Captopril EP Impurity F
CAS:Formula:C9H15NO3SColor and Shape:White To Off-White SolidMolecular weight:217.28L-2-Phospholactic Acid Trisodium Salt
CAS:Formula:C3H4O6P·3NaColor and Shape:White To Off-White SolidMolecular weight:167.03 3*22.99Pravastatin EP Impurity F Sodium Salt
CAS:Formula:C18H27O6·NaColor and Shape:Pale Yellow SolidMolecular weight:339.41 22.99Cyclophosphamide Impurity 19
CAS:Formula:C7H17Cl2N2O3PColor and Shape:White To Off-White SolidMolecular weight:279.10Deferasirox EP Impurity B
CAS:Formula:C14H9NO3Color and Shape:Pale Yellow SolidMolecular weight:239.23Phosphamide Mustard Cyclohexanamine Salt
CAS:Formula:C4H11Cl2N2O2P·C6H13NColor and Shape:White To Off-White SolidMolecular weight:221.02 99.18Cyclophosphamide Impurity 15
CAS:Formula:C7H17N2O4PColor and Shape:Off-White Semi-SolidMolecular weight:224.20Deferasirox Impurity 3
CAS:Formula:C28H16O8Color and Shape:White To Off-White SolidMolecular weight:480.43L-(-)-Phosphonic Acid Calcium
Formula:C3H5O4P·CaColor and Shape:White To Off-White SolidMolecular weight:136.04 40.08Cyclophosphamide Impurity 8 (Alcocyclophosphamide)
CAS:Formula:C7H17Cl2N2O3PColor and Shape:White To Off-White SolidMolecular weight:279.10N-Dechloroethyl Cyclophosphamide
CAS:Formula:C5H12ClN2O2PColor and Shape:White To Off-White SolidMolecular weight:198.59Ibandronate Sodium Impurity 9 HCl
CAS:Formula:C9H19NO2·HClColor and Shape:White To Off-White SolidMolecular weight:173.26 36.46Milrinone Impurity 8
CAS:Formula:C14H14N2O3Color and Shape:White To Off-White SolidMolecular weight:258.28Deferasirox EP Impurity C
CAS:Formula:C21H15N3O4Color and Shape:Off-White SolidMolecular weight:373.37Captopril EP Impurity G
CAS:Formula:C6H10O3SColor and Shape:White To Off-White Semi-SolidMolecular weight:162.20Alendronic Acid-d6
CAS:Formula:C4H7D6NO7P2Color and Shape:White To Off-White SolidMolecular weight:255.13Minodronic Acid Impurity 31-d3 HCl (Acetyl-d3)
CAS:Formula:C7H6D3N3O·HClMolecular weight:154.19 36.46N-Acetyl Glufosinate
CAS:Formula:C7H14NO5PColor and Shape:White To Off-White SolidMolecular weight:223.16Ibandronate Sodium Impurity 10 HCl
CAS:Formula:C9H19NO2·HClColor and Shape:White To Off-White SolidMolecular weight:173.26 36.46Ethylenediaminetetraacetic Acid (EDTA) Disodium Salt Dihydrate
CAS:Formula:C10H14N2O8·2Na·2H2OColor and Shape:White To Off-White SolidMolecular weight:290.23 2*22.99 2*18.02Cyclophosphamide Impurity 20
CAS:Formula:C9H20ClN2O3PColor and Shape:Colorless OilMolecular weight:270.69Zoledronic Acid
CAS:Formula:C5H10N2O7P2Color and Shape:White To Off-White SolidMolecular weight:272.094-Oxo Cyclophosphamide-d8
CAS:Formula:C7H5D8Cl2N2O3PColor and Shape:White To Off-White SolidMolecular weight:283.12Cyclophosphamide EP Impurity D (Cyclophosphamide USP Related Compound B)
CAS:Formula:C7H16ClN2O3PColor and Shape:White To Off-White SolidMolecular weight:242.64Milrinone Impurity 2 Trifluoroacetate
CAS:Formula:C12H7N3O2·C2HF3O2C12H9N3O3·C2HF3O2Molecular weight:225.21 114.02; 243.22 114.02Strontium Ranelate Impurity A
Formula:C14H14N2O8SColor and Shape:Pale Red SolidMolecular weight:370.34Enalapril-d5 Maleate
CAS:Formula:C20H23D5N2O5·C4H4O4Color and Shape:White To Off-White SolidMolecular weight:381.49 116.07Minodronic Acid Impurity 9
CAS:Formula:C11H12N2O2Color and Shape:Off-White SolidMolecular weight:204.23Tiludronate disodium hemihydrate
CAS:<p>Tiludronate: an oral bisphosphonate for bone disorder research; inhibits osteoclasts and reduces inflammation.</p>Formula:C14H16Cl2Na4O13P4S2Color and Shape:SolidMolecular weight:743.16Phosphamidon (Mixture of Z and E Isomers)
CAS:Formula:C10H19ClNO5PColor and Shape:Colourless OilMolecular weight:299.69Pravastatin EP Impurity A Sodium Salt (Pravastatin USP Related Compound B, 6-epi Pravastatin Sodium Salt)
CAS:Formula:C23H35O7·NaMolecular weight:423.53 22.99Deferasirox Impurity 1
CAS:Formula:C28H19N3O6Color and Shape:White To Off-White SolidMolecular weight:493.48Enalapril Impurity 12 (Enalaprilat RSR Isomer)
Formula:C18H24N2O5Color and Shape:White To Off-White SolidMolecular weight:348.40Cyclophosphamide Impurity 25 (Carboxyphosphamide)
CAS:Formula:C7H15Cl2N2O4PColor and Shape:White To Off-White SolidMolecular weight:293.08Deferasirox EP Impurity D
CAS:Formula:C21H15N3O4Color and Shape:Pale Yellow SolidMolecular weight:373.37Amifostine Impurity 6 Ditrifluoroacetate
Formula:C9H23N2O3PS·2C2HF3O2Molecular weight:270.33 2*114.02Deferasirox Impurity 18 (Mixture of Isomers)
Formula:C42H28N6O8SColor and Shape:Pale Brown SolidMolecular weight:776.78Foscarnet Sodium EP Impurity D (Foscarnet USP Related Compound D)
CAS:Formula:C7H15O5PColor and Shape:Colorless LiquidMolecular weight:210.17Enalaprilat EP Impurity D
Formula:C18H24N2O5Color and Shape:White To Off-White SolidMolecular weight:348.40Cyclophosphamide EP Impurity E DiHCl (Cyclophosphamide USP Related Compound D)
CAS:Formula:C7H18ClN2O4P·2HClColor and Shape:White To Off-White SolidMolecular weight:260.65 2*36.46Risedronic Acid Monosodium Salt
CAS:Formula:C7H10NO7P2·NaColor and Shape:White To Off-White SolidMolecular weight:282.11 22.99Enalapril Impurity 8 (Enalaprilat SSR Isomer)
CAS:Formula:C18H24N2O5Color and Shape:White To Off-White SolidMolecular weight:348.40Captopril EP Impurity J
CAS:Formula:C11H17NO4SColor and Shape:White To Off-White SolidMolecular weight:259.32Ethylenediaminetetraacetic Acid (EDTA) Tetrasodium Salt
CAS:Formula:C10H12N2O8·4NaColor and Shape:White To Off-White SolidMolecular weight:288.22 4*22.99Strontium Ranelate Impurity B
CAS:Formula:C16H18N2O8SColor and Shape:Off-White SolidMolecular weight:398.39Dibenzyloxy Fosfocreatinine (Dibenzyloxy Phosphatecreatinine)
CAS:Formula:C18H20N3O4PColor and Shape:White To Off-White SolidMolecular weight:373.35Enalaprilat EP Impurity B (RSS Isomer)
CAS:Formula:C18H24N2O5Color and Shape:White To Off-White SolidMolecular weight:348.40Amifostine Impurity 7 Ditrifluoroacetate
Formula:C7H19N2O3PS·2C2HF3O2Molecular weight:242.27 2*114.02Glufosinate Impurity 2
Formula:C4H7O4PColor and Shape:White To Off-White SolidMolecular weight:150.07Ibandronate Sodium EP Impurity C
CAS:Formula:C8H21NO7P2Color and Shape:White To Off-White SolidMolecular weight:305.20Captopril EP Impurity O
Formula:C21H34N2O6S2Color and Shape:White To Off-White SolidMolecular weight:474.63Enalaprilat EP Impurity A (R,R-Isomer)
Formula:C13H17NO4Color and Shape:White To Off-White SolidMolecular weight:251.28Zofenopril-d5 (Benzoic-d5)
CAS:Formula:C22H18D5NO4S2Color and Shape:White To Off-White SolidMolecular weight:434.58Risedronic Acid
CAS:Formula:C7H11NO7P2Color and Shape:White To Off-White SolidMolecular weight:283.11Strontium Ranelate
CAS:Formula:C12H6N2O8S·2SrColor and Shape:White To Off-White SolidMolecular weight:338.25 2 87.62Cyclophosphamide Impurity 3 DiHCl
CAS:Formula:C7H19N2O5P·2HClColor and Shape:Pale Brown OilMolecular weight:242.21 2*36.46Captopril EP Impurity M
Formula:C13H21NO5S2Color and Shape:White To Off-White SolidMolecular weight:335.43Clinofibrate Impurity 3
Formula:C30H40O6Color and Shape:Yellow Sticky Thick LiquidMolecular weight:496.65Tris(1,3-dichloro 2-propyl) Phosphate-d15
CAS:Formula:C9D15Cl6O4PColor and Shape:Pale Yellow LiquidMolecular weight:445.98Enalapril Impurity 9 (Enalaprilat RRS Isomer)
Formula:C18H24N2O5Color and Shape:White To Off-White SolidMolecular weight:348.40Zofenopril Impurity 2
Formula:C30H36N2O6S4Color and Shape:White To Off-White SolidMolecular weight:648.87Minodronic Acid Impurity 2-d4
CAS:Formula:C9H8N2O7P2D4Color and Shape:Off-White SolidMolecular weight:326.18Ibandronate Sodium Impurity 2
CAS:Formula:C5H15NO7P2Color and Shape:White To Off-White SolidMolecular weight:263.12Metaraminol Bitartrate
CAS:Formula:C9H13NO2·C4H6O6Color and Shape:Off-White SolidMolecular weight:167.21 150.09Captopril EP Impurity L
Formula:C19H30N2O6S2Color and Shape:White To Off-White SolidMolecular weight:446.58Metaraminol Bitartrate Enantiomer
CAS:Formula:C9H13NO2·C4H6O6Color and Shape:White To Off-White SolidMolecular weight:167.21 150.09Captopril Related Compound 9
CAS:Formula:C12H20N2O5S2Color and Shape:White To Off-White SolidMolecular weight:336.42Phosphamidon-d10 (Mixture of Z and E Isomers)
CAS:Formula:C10H9D10ClNO5PColor and Shape:Pale Yellow LiquidMolecular weight:309.75Fosfocreatinine (Phosphatecreatinine)
CAS:Formula:C4H8N3O4PColor and Shape:White To Off-White SolidMolecular weight:193.10Phosphamidon-d6 (Mixture of Z and E Isomers)
CAS:Formula:C10H13D6ClNO5PColor and Shape:Pale Yellow OilMolecular weight:305.72Phosphamide Mustard-d8 Cyclohexamine Salt
CAS:Formula:C4H3Cl2N2O2PD8·C6H13NColor and Shape:White To Off-White SolidMolecular weight:229.07 99.18Deferasirox Impurity 10
Formula:C14H12N2O4Color and Shape:White To Off-White SolidMolecular weight:272.26Pravastatin EP Impurity E Sodium Salt
CAS:Formula:C23H35O8·NaColor and Shape:White To Off-White SolidMolecular weight:439.53 22.99Cyclophosphamide EP Impurity C HCl (Cyclophosphamide USP Related Compound A)
CAS:Formula:C4H9Cl2N·HClColor and Shape:Off-White SolidMolecular weight:142.02 36.46Enalaprilat EP Impurity B (SRR Isomer)
Formula:C18H24N2O5Color and Shape:White To Off-White SolidMolecular weight:348.40Ibandronate Sodium Impurity 4 HCl
CAS:Formula:C9H18N2·HClColor and Shape:White To Off-White SolidMolecular weight:154.26 36.46Enalaprilat EP Impurity A
Formula:C13H17NO4Color and Shape:White To Off-White SolidMolecular weight:251.28Pravastatin Impurity 1 Sodium Salt
CAS:Formula:C23H35O7·NaColor and Shape:Pale Purple SolidMolecular weight:423.53 22.99Ibandronate Sodium Impurity 14
Formula:C9H23NO7P2Color and Shape:White To Off-White SolidMolecular weight:319.23Metaraminol Impurity 25 HCl
CAS:Formula:C9H13NO3·HClColor and Shape:White To Off-White SolidMolecular weight:183.21 36.46Risedronate EP Impurity B (Risedronate USP Related Compound A)
CAS:Formula:C7H11NO7P2Color and Shape:Off-White SolidMolecular weight:283.11Captopril Impurity 10
CAS:Formula:C11H17NO4SColor and Shape:White To Off-White SolidMolecular weight:259.32Metaraminol Impurity 21
CAS:Formula:C24H23NO4Color and Shape:White To Off-White SolidMolecular weight:389.45Deferasirox Ferrate (III) Tripotassium Complex
CAS:Formula:C42H24FeN6O8·3KColor and Shape:Black Red SolidMolecular weight:796.53 3*39.10D-2-Phospholactic Acid Trisodium Salt
CAS:Formula:C3H4O6P·3NaColor and Shape:White To Off-White SolidMolecular weight:167.03 3*22.99Asoxime-d4 Dichloride
CAS:Formula:C14H12D4N4O3·2ClColor and Shape:Off-White SolidMolecular weight:292.33 2*35.45Captopril EP Impurity N
CAS:Formula:C8H14O4S2Color and Shape:White To Off-White SolidMolecular weight:238.32Milrinone USP Related Compound A
CAS:Formula:C12H11N3O2Color and Shape:Off-White SolidMolecular weight:229.24Zofenopril Calcium Salt
CAS:Formula:C22H22NO4S2·5CaColor and Shape:White To Off-White SolidMolecular weight:428.55 0.5*40.08Clinofibrate Impurity 2
CAS:Formula:C23H28O4Color and Shape:White To Off-White SolidMolecular weight:368.48Enalapril EP Impurity H HCl (Mixture of Diastereomers)
Formula:C20H34N2O5·HClColor and Shape:White To Off-White SolidMolecular weight:382.50 36.46Pravastatin Impurity 3
CAS:Formula:C23H32O5Color and Shape:White To Off-White SolidMolecular weight:388.50Ibandronate N-Oxide Tetrasodium Salt
CAS:Formula:C9H19NO8P2·4NaColor and Shape:Pale Yellow SolidMolecular weight:331.20 4*22.99Cilazapril EP Impurity B (Cilazaprilat)
CAS:Formula:C20H27N3O5Color and Shape:White To Off-White SolidMolecular weight:389.45Milrinone Impurity 7 DiHCl
Formula:C14H15N3O2·2HClColor and Shape:White To Off-White SolidMolecular weight:257.29 2 36.46Monoisopropyl Phosphate
CAS:Formula:C3H9O4PColor and Shape:White To Off-White SolidMolecular weight:140.07Cyclophosphamide Impurity 23
CAS:Formula:C9H22ClN2O4PColor and Shape:Colorless OilMolecular weight:288.71Strontium Ranelate impurity F
Formula:C10H8N2O4S·SrColor and Shape:Off-White SolidMolecular weight:252.25 87.62Pravastatin Sodium Salt
CAS:Formula:C23H35O7·NaColor and Shape:Off-White SolidMolecular weight:423.53 22.99Milrinone Impurity 14 HCl
Formula:C12H11N3O2·HClColor and Shape:Off-White SolidMolecular weight:229.24 36.46Risedronic Acid-d4
CAS:Formula:C7H7D4NO7P2Color and Shape:White To Off-White SolidMolecular weight:287.14Captopril Impurity 8
CAS:Formula:C6H9ClO2SColor and Shape:White To Off-White SolidMolecular weight:180.65Cyclophosphamide Impurity 31
CAS:Formula:C8H17Cl2N2O2PColor and Shape:White To Off-White Semi-SolidMolecular weight:275.11Cyclophosphamide-d8
CAS:Formula:C7H7D8Cl2N2O2PColor and Shape:White To Off-White SolidMolecular weight:269.13Enalaprilat EP Impurity A (S,S-Isomer)
CAS:Formula:C13H17NO4Color and Shape:White To Off-White SolidMolecular weight:251.28Alendronic Acid Impurity 2
CAS:Formula:C4H10NO3PColor and Shape:White To Off-White SolidMolecular weight:151.10Deferasirox EP Impurity A
CAS:Formula:C14H11NO4Color and Shape:White To Off-White SolidMolecular weight:257.25Diazinon Impurity 1
CAS:Formula:C8H12N2OColor and Shape:White To Off-White SolidMolecular weight:152.20Enalapril EP Impurity I (Clotrimazole EP Impurity D, Bifonazole EP Impurity C, Ondansetron EP Impurity E, Sildenafil EP Impurity E, Zoledronic Acid EP Impurity C)
CAS:Formula:C3H4N2Color and Shape:White To Off-White SolidMolecular weight:68.08Enalapril Impurity 13 (Enalaprilat SRS Isomer)
CAS:Formula:C18H24N2O5Color and Shape:White To Off-White SolidMolecular weight:348.40cis-Propenylphosphonic acid
CAS:Formula:C3H7O3PColor and Shape:White To Off-White SolidMolecular weight:122.06Minodronic Acid Impurity 1
CAS:Formula:C9H8N2O2Color and Shape:Off-White SolidMolecular weight:176.18PD 198306
CAS:<p>PD 198306: a MEK inhibitor with antihyperalgesic properties, reduces Streptozocin-boosted active ERK1.</p>Formula:C18H16F3IN2O2Purity:99.66%Color and Shape:SolidMolecular weight:476.23Glufosinate
CAS:<p>Glufosinate, a phosphinic acid analog of glutamic acid, is a herbicide that is converted by plant cells into PT (L-phosphinothricin).</p>Formula:C5H12NO4PPurity:98%Color and Shape:SolidMolecular weight:181.13Captopril EP Impurity G (S-Isomer)
CAS:Formula:C6H10O3SColor and Shape:Colorless LiquidMolecular weight:162.20Metrifonate
CAS:<p>Metrifonate is an organophosphorus prodrug that is metabolised non-enzymatically in the body to DDVP (dichlorvos),(ChE) inhibitor.</p>Formula:C4H8Cl3O4PColor and Shape:SolidMolecular weight:257.44Captopril Ethyl Ester
CAS:Controlled ProductFormula:C11H19NO3SColor and Shape:NeatMolecular weight:245.34Cytidine 5′-monophosphate
CAS:Formula:C9H14N3O8PPurity:95.0%Color and Shape:SolidMolecular weight:323.198p-Nitrophenyl phosphate di(tris) salt
CAS:<p>M02735 - p-Nitrophenyl phosphate di(tris) salt</p>Formula:C14H28N3O12PPurity:>90.0%(T)Color and Shape:SolidMolecular weight:461.361Captopril Methyl Ester
CAS:Controlled ProductFormula:C10H17NO3SColor and Shape:NeatMolecular weight:231.31(Aminomethyl)phosphonic acid
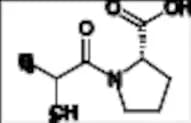
CAS:Purity:99.0%Color and Shape:SolidMolecular weight:111.037002563476561,1'-[Disulfanediylbis-[(2S)-2-methyl-1-oxopropane-3,1-diyl]]-bis[(2S)-pyrrolidine-2-carboxylic] Acid (Captopril Disulfide)
CAS:Controlled ProductFormula:C18H28N2O6S2Color and Shape:NeatMolecular weight:432.55(2-Aminoethyl)phosphonic acid
CAS:Purity:95.0%Color and Shape:SolidMolecular weight:125.06400299072266(4-Formyl-5-hydroxy-6-methylpyridin-3-yl)methyl dihydrogen phosphate hydrate
CAS:Formula:C8H12NO7PPurity:98.0%Color and Shape:Solid, Crystalline PowderMolecular weight:265.158Metaraminol Bitartrate
CAS:Controlled ProductFormula:C9H13NO2·C4H6O6Color and Shape:NeatMolecular weight:317.29(2-Hydroxyethyl)phosphonic acid
CAS:Purity:98%Color and Shape:SolidMolecular weight:126.04799652099612-Aminoethyl dihydrogen phosphate
CAS:Purity:95.0%Color and Shape:SolidMolecular weight:141.06300354003906




