
Organic Phosphates and Phosphonates
Organic phosphates are compounds that contain a phosphate group (-PO₄) attached to a carbon atom within an organic structure, typically in combination with alcohols, acids, or amines. These compounds are used in API formulation to enhance the solubility, stability, and bioavailability of active ingredients. Organic phosphates also play a role in controlled drug release and in improving the absorption of certain medications.
Organic phosphonates contain a phosphonate group (-PO₃H₂) in which the phosphorus atom is bonded to a carbon atom and two oxygen groups. These compounds have important pharmacological properties, particularly in enzyme inhibition and biochemical process modulation. Organic phosphonates are used in the production of APIs that target bone metabolism, bacterial infections, or antiviral treatments due to their specific biological effects.
At CymitQuimica, we offer organic phosphates and phosphonates for research in medicinal chemistry, biochemistry, and the development of advanced formulations.
Found 1190 products of "Organic Phosphates and Phosphonates"
Sort by
Purity (%)
0
100
|
0
|
50
|
90
|
95
|
100
Di-N-Nitroso Cyclophosphamide EP Impurity E (Di-N-Nitroso Cyclophosphamide USP Related Compound D)
Formula:C7H16ClN4O6PMolecular weight:318.65(S,S)-Di-docosahexaenoyl (C22:6)-bis(monoacyl-gylcerol) Phosphate
CAS:Formula:C50H75O10PMolecular weight:867.11Captopril EP Impurity A-d6 (Captopril Disulfide-d6)
CAS:Formula:C18H22D6N2O6S2Molecular weight:438.59[2-(3-Chlorophenyl)-1-Hydroxy-1-Phosphono-Ethyl]phosphonic Acid
CAS:Formula:C8H11ClO7P2Molecular weight:316.57W-7 hydrochloride
CAS:<p>W-7 hydrochloride (W-7 HCl), a calmodulin antagonist, inhibits Ca2+-calmodulin-dependent myosin light chain kinase and phosphodiesterase, W-7 hydrochloride</p>Formula:C16H22Cl2N2O2SPurity:99.63%Color and Shape:White Crystalline SolidMolecular weight:377.32Zoledronic Acid
CAS:<p>Zoledronic Acid (ZOL 446) 是一种含氮二磷酸盐,能抑制破骨细胞的分化和凋亡,具有高效的抗骨质再吸收活性,也有抗癌作用。</p>Formula:C5H10N2O7P2Purity:98% - 99.93%Color and Shape:White Crystalline PowderMolecular weight:272.09Fostamatinib Disodium
CAS:<p>Fostamatinib Disodium (R788 Disodium) is an orally available Syk kinase inhibitor with potential anti-inflammatory and immunomodulating activities.</p>Formula:C23H24FN6O9P·2NaPurity:96.13% - 99.09%Color and Shape:SolidMolecular weight:624.42Zofenopril
CAS:<p>Zofenopril is an angiotensin-converting enzyme (ACE) inhibitor (IC50: 81 μM).</p>Formula:C22H23NO4S2Color and Shape:SolidMolecular weight:429.55Fostamatinib
CAS:<p>Fostamatinib (R788)(IC50 of 41 nM), which is a prodrug of the active metabolite R406, is a Syk inhibitor. It does not work on Lyn.</p>Formula:C23H26FN6O9PPurity:93.08% - 99.38%Color and Shape:SolidMolecular weight:580.46Enalapril Maleate
CAS:<p>Enalapril Maleate (MK-421 Maleate), an ACE inhibitor, is utilized in the treatment of hypertension, chronic heart failure, and diabetic nephropathy.</p>Formula:C20H28N2O5·C4H4O4Purity:99.02% - ≥95%Color and Shape:White To Off-White Crystalline Powder SolidMolecular weight:492.522,4,6-Tributyl-1,3,5,2,4,6-trioxatriphosphinane 2,4,6-trioxide
CAS:Formula:C12H27O6P3Molecular weight:360.26H3B-120
CAS:<p>H3B-120: selective, competitive CPS1 inhibitor with anti-cancer properties. IC50: 1.5 μM, Ki: 1.4 μM.</p>Formula:C19H24N4O2SPurity:99.03% - 99.2%Color and Shape:SolidMolecular weight:372.48Clodronic acid disodium salt
CAS:<p>Clodronic acid disodium salt (Lodronate), a bisphosphonate, is a potent antiosteolytic agent which inhibits bone resorption.</p>Formula:CH4Cl2O6P0·2NaPurity:>99.99% - ≥98%Color and Shape:White SolidMolecular weight:288.86Clinofibrate
CAS:<p>Clinofibrate lowers lipids, blocks HMGCR (IC50: 0.47 mM), and controls cholesterol/triacylglycerides.</p>Formula:C28H36O6Purity:>99.99%Color and Shape:White Crystalline PowderMolecular weight:468.58Tiludronate
CAS:<p>Tiludronate, an oral bisphosphonate, treats metabolic bone disorders and inhibits osteoclasts.</p>Formula:C7H9ClO6P2SColor and Shape:SolidMolecular weight:318.61Diroximel fumarate
CAS:<p>Diroximel fumarate (Diroximel Fumarete), a prodrug of monomethyl fumarate in a controlled-release formulation, rapidly and potently converts to MMF in the body.</p>Formula:C11H13NO6Purity:99.8% - 99.88%Color and Shape:SolidMolecular weight:255.22Clodronate disodium tetrahydrate
CAS:<p>Clodronate disodium tetrahydrate (Clastoban) inhibits bone resorption and soft tissue calcification.</p>Formula:CH10Cl2Na2O10P2Purity:98%Color and Shape:SolidMolecular weight:360.92Delapril hydrochloride
CAS:<p>Delapril HCl (indalapril) is a prodrug forming two ACE inhibitors, blocking angiotensin I-II conversion.</p>Formula:C26H33ClN2O5Purity:97.18% - 97.45%Color and Shape:White Crystalline PowderMolecular weight:489.012,5-Dihydroxybenzaldehyde
CAS:<p>2,5-Dihydroxybenzaldehyde (Gentisaldehyde) has antioxidant activity against Mycobacterium avium subsp.</p>Formula:C7H6O3Purity:99.55% - 99.75%Color and Shape:SolidMolecular weight:138.12Bemnifosbuvir
CAS:<p>Bemnifosbuvir (AT-511) is a novel phosphoramidate prodrug of 2'-fluoro-2'-C-methylguanosine-5'-monophosphate that has potent in vitro activity against HCV.</p>Formula:C24H33FN7O7PPurity:99.35% - 99.54%Color and Shape:SolidMolecular weight:581.53Edetic acid
CAS:<p>Edetic acid (Ethylenediaminetetraacetic acid) is a chelating agent commonly used in protein purification, both to eliminate contaminating divalent cations and</p>Formula:C10H16N2O8Purity:99.71%Color and Shape:Colourless - White Solid PowderMolecular weight:292.24Minodronic acid monohydrate
CAS:<p>Minodronic acid monohydrate 是一种法尼基二磷酸合成酶抑制剂,可作为骨吸收抑制剂。</p>Formula:C9H14N2O8P2Purity:≥95%Color and Shape:SolidMolecular weight:340.16Pamidronate disodium pentahydrate
CAS:<p>Pamidronate disodium pentahydrate strengthens bones and prevents osteoporosis.</p>Formula:C3H21NNa2O12P2Purity:99.84%Color and Shape:White To Off-White Crystalline PowderMolecular weight:371.13m-3M3FBS
CAS:<p>m-3M3FBS is a phospholipase C (PLC) activator.</p>Formula:C16H16F3NO2SPurity:99.66%Color and Shape:SolidMolecular weight:343.36Bemnifosbuvir hemisulfate
CAS:<p>Bemnifosbuvir hemisulfate (AT-527) is a potent inhibitor of HCV virus replication.</p>Formula:C48H68F2N14O18P2SPurity:99.98%Color and Shape:SolidMolecular weight:1261.15Amifostine trihydrate
CAS:<p>Amifostine trihydrate (WR2721) is the first approved radioprotective drug, used to decrease the risk of kidney problems caused by treatment with cisplatin.</p>Formula:C5H15N2O3PS·3H2OPurity:99.71% - 99.80%Color and Shape:SolidMolecular weight:268.27Medronic acid
CAS:<p>Medronic acid (Methylenediphosphonic acid) 是一种亚甲基取代的二膦酸盐。它对骨基质中的羟基磷灰石晶体的表面具有亲和力,并且可粘附在其表面。它能够在类骨质矿化的位点累积,可以在骨成像中与放射性同位素复合使用。</p>Formula:CH6O6P2Purity:99.80%Color and Shape:White PowderMolecular weight:176Zofenopril calcium
CAS:<p>Zofenopril calcium (SQ26991) is an antioxidant that acts as an angiotensin-converting enzyme inhibitor.</p>Formula:C44H44CaN2O8S4Purity:98.37%Color and Shape:White Or Whitish Crystalline PowderMolecular weight:897.17Alkaline Phosphatase
CAS:<p>Alkaline phosphatase is a membrane-bound glycoprotein that catalyzes the hydrolysis of phosphate monoesters under alkaline conditions. High-Quality, Low-Cost!</p>Purity:≥98%Color and Shape:SolidMolecular weight:N/AZoledronic acid monohydrate
CAS:<p>Zoledronic acid monohydrate (CGP 42446) is a synthetic imidazole bisphosphonate analog with anti-bone-resorption activity.</p>Formula:C5H12N2O8P2Purity:99.91%Color and Shape:White To Off-White PowderMolecular weight:290.1Adefovir
CAS:<p>Adefovir: acyclic nucleoside phosphonate, reverse transcriptase inhibitor for hepatitis B and herpes treatment.</p>Formula:C8H12N5O4PPurity:99.56%Color and Shape:White To Off-White PowderMolecular weight:273.19Phosphonoformic acid trisodium salt hexa
CAS:<p>Phosphonoformic acid trisodium salt hexa (Sodium phosphonatoformate hexahydrate) is an antiviral drug for the treatment of CMV retinitis.</p>Formula:CH12Na3O11PPurity:98%Color and Shape:SolidMolecular weight:300.03Malachite green oxalate
CAS:<p>Malachite green oxalate is a triphenylmethane dye which can be used to detect the release of phosphate in enzymatic reactions.</p>Formula:C23H25N2·C2HO4C2H2O4Color and Shape:Dark Green Crystals With A Metallic LusterMolecular weight:463.51D-Captopril
CAS:Controlled Product<p>Applications D-Captopril and Captopril analogues are New Delhi metallo-β-lactamase-1 (NDM-1) inhibitors which are used clinically as antidotes for metal poisoning and bacterial infection.<br>References Ningning; X., et al.: Bioorg. Med. Chem. Lett., 24, 386 (2014); Guo, Y., et al.: Protein Cell, 2, 384 (2011)<br></p>Formula:C9H15NO3SColor and Shape:NeatMolecular weight:217.285N-Nitroso Delapril
CAS:Controlled ProductFormula:C26H31N3O6Color and Shape:Light YellowMolecular weight:481.541N,N-Bis(2-chloroethyl)phosphorodiamidic Acid Cyclohexylamine Salt
CAS:Controlled Product<p>Stability Moisture Sensitive<br>Applications N,N-Bis(2-chloroethyl)phosphorodiamidic Acid Cyclohexylamine Salt is a cytotoxic metabolite of Cyclophosphamide (C988580).<br>References Driven, H.A.A.M. et al.: Chem. BIol. Inter., 93, 185 (1994); Fenselau, C. et al.: Xenobiotica, 22, 1207 (1992);<br></p>Formula:C10H24Cl2N3O2PColor and Shape:NeatMolecular weight:320.2Cilazaprilat
CAS:Controlled Product<p>Applications The active metabolite of Cilazapril. An ACE inhibitor. Antihypertensive.<br>References Natoff, I.L., et al.: J. Cardiovasc. Pharmacol., 7, 569 (1985), Szucs, T., et al.: Drugs, 41, Suppl.1, 18 (1991), Pordy, R.C., et al.: Cardiology, 86, 41 (1995),<br></p>Formula:C20H27N3O5Color and Shape:Off-WhiteMolecular weight:389.455-Descyano Milrinone 5-Carboxyamide
CAS:<p>Impurity Milrinone USP Related Compound A<br>Stability Hygroscopic<br>Applications 5-Descyano Milrinone 5-Carboxyamide (Milrinone USP Related Compound A) is an impurity of Milrinone (M344680), a selective phosphodiesterase inhibitor with vasodilating and positive inotropic activity. Cardiotonic.<br>References Alousi, A.A., et al.: J. Cardiovasc Pharmacol., 5, 792 (1983), Maskin, C.S., et al.: Circulation, 67, 1065 (1983), Sinoway, L.S., et al.: J. Am. Coll. Cardiol., 2, 327 (1983), Baim, D.S., et al.: N. Engl. J. Med., 309, 748 (1983),<br></p>Formula:C12H11N3O2Color and Shape:Light YellowMolecular weight:229.23N-Nitroso Cilazapril (Ethyl-D5)
CAS:Controlled ProductFormula:C22D5H25N4O6Color and Shape:NeatMolecular weight:451.528Captopril-d3
CAS:Controlled Product<p>Applications Orally active angiotensin-converting enzyme (ACE) inhibitor.<br>References Rubin, B., et al.: Eur. J Pharmacol., 51, 377 (1978),<br></p>Formula:C9D3H12NO3SColor and Shape:White SolidMolecular weight:220.30Tris(1,3-dichloro-2-propyl) Phosphate-d15
CAS:Controlled Product<p>Applications Isotope labelled Tris(1,3-dichloro-2-propyl) Phosphate is a flame retardant present in polyurethane foams.<br> Not a dangerous good if item is equal to or less than 1g/ml and there is less than 100g/ml in the package<br>References Stapleton, H. et al.: Env. Sci. Tech., 45, 5323 (2011);<br></p>Formula:C9D15Cl6O4PColor and Shape:Colourless To BrownMolecular weight:446.00N-Nitroso Bis(2-chloroethyl)amine
CAS:<p>Applications N-Nitroso bis(2-chloroethyl)amine is a nitroamine compound that has carcinogenic effects.<br>References Luan, F. et al.: Che. Res. in Tox., 18(2), 198-203, (2005)<br></p>Formula:C4H8Cl2N2OColor and Shape:NeatMolecular weight:171.025Malathion-d6
CAS:Controlled Product<p>Applications Used as an insecticide.<br> Not a dangerous good if item is equal to or less than 1g/ml and there is less than 100g/ml in the package<br></p>Formula:C102H6H13O6PS2Color and Shape:NeatMolecular weight:336.40N-Nitroso Cilazapril
CAS:Controlled ProductFormula:C22H30N4O6Color and Shape:NeatMolecular weight:446.5Captopril Disulfide
CAS:<p>Impurity Captopril EP Impurity A<br>Applications Captopril Disulfide (Captopril EP Impurity A) is a metabolite of Captopril. A new antihypertensive agent.<br>References Sprague, P., et al.: Perspect. Drug Discovery Des., 3, 21 (1995), Cushman, D., et al.: Nat. Med., 5, 1110 (1999), Jacoby, E., et al.: Drug News Perspect., 16, 93 (2003), Lengauer, T., et al.: Drug Discovery Today, 9, 27 (2004),<br></p>Formula:C18H28N2O6S2Color and Shape:WhiteMolecular weight:432.55Nitrilotris(methylene)triphosphonic Acid
CAS:Controlled Product<p>Applications A powerful complexing agent. A potent acid sphingomyelinase inhibitor.<br>References Marathe, S., et al.: J. Biol. Chem., 273, 4081 (1998), Lang, P., et al.: Nat. Med., 13, 164 (2007), Nara, F., et al.: J. Antibiot., 52, 525 (1999), Szajnman, S., et al.: Bioorg. Med. Chem. Lett., 15, 4685 (2005),<br></p>Formula:C3H12NO9P3Color and Shape:NeatMolecular weight:299.053-[[2-[(2-Chloroethyl)amino]ethyl]amino]propyl Monophosphate Dihydrochloride
CAS:Controlled Product<p>Impurity Cyclophosphamide Impurity D Dihydrochloride<br>Stability Hygroscopic<br>Applications A metabolite of Cyclophosphamide (C988580).<br>References Joqueviel, C. et al.: Drug Metab. Dispos., 26, 418 (1998);<br></p>Formula:C7H18ClN2O4P·2ClHColor and Shape:White To Off-WhiteMolecular weight:333.584-Oxo Cyclophosphamide
CAS:<p>Applications A minor metabolite of Cyclophosphamide<br> Not a dangerous good if item is equal to or less than 1g/ml and there is less than 100g/ml in the package<br>References Juma, F., et al.: Br. J. Clin. Pharmacol., 10, 327 (1980), Powers, J., et al.: Cancer Res., 43, 1101 (1983), Hardy, R., et al.: Ther. Drug Monit., 9, 221 (1987),<br></p>Formula:C7H12Cl2NO4PColor and Shape:NeatMolecular weight:276.05Deferasirox Ferrate(III) Tripotassium Complex Methanoate Hydrate
CAS:<p>Applications A metal complex of Deferasirox (D228650) as oxidation catalysts. Coordination compound.<br>References Rouan, M., et al.: Biomed. Sci. Applic., 755, 203 (2001)<br></p>Formula:C44H36FeK3N6O12Color and Shape:NeatMolecular weight:1013.93Diethyl (Ethoxycarbonyl)phosphonate
CAS:Controlled Product<p>Stability Moisture Sensitive<br>Applications Diethyl (Ethoxycarbonyl)phosphonate is an impurity in the synthesis of Foscarnet (F727400), an inhibitor of viral DNA polymerase and reverse transcriptase. Foscarnet is used as an antiviral.<br>References Helgstrand, E., et al.: Science, 201, 819 (1978), Reno, J.M., et al.: Antimicrob. Agents Chemother., 13, 188, (1978), Alenius, S., et al.: Arch. Virol., 60, 197 (1979),<br></p>Formula:C7H15O5PColor and Shape:NeatMolecular weight:210.16Zoledronic-d3 Acid
CAS:Controlled Product<p>Stability Hygroscopic<br>Applications Zoledronic-d3 Acid is the labeled analogue of Zoledronic Acid (Z623500), a biphosphonate bone resorption inhibitor.<br>References Green, J.R., et al.: J. Bone Min. Res., 9, 745 (1994); Risser, F., et al.: J. Pharm. Biomed. Anal., 15, 1877 (1997); Body, J.J., Cancer, 80, 1699 (1997)<br></p>Formula:C5H7D3N2O7P2Color and Shape:NeatMolecular weight:275.112-(2-Hydroxyphenyl)-4H-1,3-benzoxazin-4-one
CAS:Controlled Product<p>Applications Intermediate in the production of Deferasirox.<br></p>Formula:C14H9NO3Color and Shape:NeatMolecular weight:239.23Diazinon-d10
CAS:Controlled Product<p>Stability Hygroscopic<br>Applications A labelled cholinesterase inhibitor; a nonsystemic organophosphate insecticide. Used as a standard for Pesticide detection.<br> Not a dangerous good if item is equal to or less than 1g/ml and there is less than 100g/ml in the package<br>References Gaines, T.B., et al.: Toxicol. Appl. Pharmacol., 14, 515 (1969),<br></p>Formula:C122H10H11N2O3PSColor and Shape:ColourlessMolecular weight:314.41(6-Amino-1-hydroxyhexane-1,1-diyl)diphosphonic acid
CAS:Purity:95.0%Molecular weight:277.1499938964844Malathion
CAS:<p>Applications Malathion is a pestanal and used primarily as an insecticide. Malathion is also useful in cannabis testing kits as a component of pesticide mixes (P698230).<br> Not a dangerous good if item is equal to or less than 1g/ml and there is less than 100g/ml in the package<br>References Josse, R et al.: Chem. Bio., Interact., 209, 76 (2014);<br></p>Formula:C10H19O6PS2Color and Shape:Colourless To Light YellowMolecular weight:330.362-Isopropyl-6-methyl-4-pyrimidone
CAS:Controlled Product<p>Applications 2-Isopropyl-6-methyl-4-pyrimidone, is an intermediate used for the synthesis of various benzophenone derivatives, having antifungal and antibacterial activities. It can also be used for the synthesis of Diazinon (D416880), and Diazoxon (D416890), the organophosphate insecticides.<br>References Sun, L., et al.: Molecules, 16, 9739 (2011); Pasti, T. L., J. Environ. Protect. Ecology, 12, 1168 (2011);<br></p>Formula:C8H12N2OColor and Shape:NeatMolecular weight:152.19Fenthion-d6
CAS:Controlled Product<p>Applications Labelled Fenthion, an organothiophosphate insecticide. Fenthion is also a potent acaricide.<br> Not a dangerous good if item is equal to or less than 1g/ml and there is less than 100g/ml in the package<br>References Pati, B.R. et al.: Plant Soil, 80, 215 (1984); Barros, A.T. et al.: Vet. Parasitol., 96, 243 (2001); Kyriakidis, N.V. et al.: Food Chem., 91, 241 (2005);<br></p>Formula:C102H6H9O3PS2Color and Shape:ColourlessMolecular weight:284.36Terbufos-sulfoxide
CAS:Controlled Product<p>Applications Terbufos-sulfoxide was identified in vegetables and fruit by gas chromotography.<br>References Zhang, Q., et al.: Shandong Huagong, 45, 57 (2016)<br></p>Formula:C9H21O3PS3Color and Shape:NeatMolecular weight:304.433-Acetylthio-2-methylpropionic Acid
CAS:Controlled Product<p>Impurity Captopril EP Impurity G<br>Applications 3-Acetylthio-2-methylpropionic Acid (Captopril EP Impurity G) is a key intermediate for Captopril (C175750) and other hypertension drugs.<br> Not a dangerous good if item is equal to or less than 1g/ml and there is less than 100g/ml in the package<br>References Cushman, D., et al.: Biochem., 16, 5484 (1977), Ondetti, M., et al.: J. Med. Chem., 24, 355 (1981), Tseng, T., et al.: Cancer Lett., 62, 233 (1992),<br></p>Formula:C6H10O3SColor and Shape:NeatMolecular weight:162.214-Hydroperoxy Cyclophosphamide-d4
CAS:Controlled Product<p>Stability Moisture Sensitive, Temperature Sensitive<br>Applications A labelled metabolite of Cyclophosphamide. Antineoplastic; bone marrow purging agent.<br>References Takamizawa, A., et al.: J. Med. Chem., 18, 376 (1975), Jones, R.J., et al.: J. Hematother., 1, 343 (1992), Biggs, D., et al.: Prog. Clin. Biol. Res., 389, 9 (1994),<br></p>Formula:C7H11D4Cl2N2O4PColor and Shape:NeatMolecular weight:297.111,2-Dioleoyl-3-trimethylammonium-propane, Chloride
CAS:Controlled ProductFormula:C42H80NO4·ClColor and Shape:NeatMolecular weight:698.54Toldimfos Sodium
CAS:Controlled Product<p>Applications Toldimfos Sodium, is a cattle drug that can be used to investigate the bovine serum paraoxonase 1 (PON1) activity.<br>References Arslan, M., et al.: J. Enzyme Inhibit. Med. Chem., 27, 722 (2012);<br></p>Formula:C9H13NO2P·NaColor and Shape:White To Off-WhiteMolecular weight:221.173-Mercapto-2-methylpropanoic Acid
CAS:Controlled Product<p>Impurity Captopril EP Impurity C<br>Applications 3-Mercapto-2-methylpropanoic Acid (Captopril EP Impurity C) is a useful synthetic intermediate.<br>References Lewis, S.N. et al.: J. Het. Chem., 8, 571-580 (1971)<br></p>Formula:C4H8O2SColor and Shape:NeatMolecular weight:120.17Cilazapril
CAS:Controlled Product<p>Applications An ACE inhibitor. Hydrolyzed in vivo to the active diacid metabolite (Cilazaprilat). Antihypertensive.<br>References Natoff, I.L., et al.: J. Cardiovasc. Pharmacol., 7, 569 (1985), Szucs, T., et al.: Drugs, 41, Suppl.1, 18 (1991), Pordy, R.C., et al.: Cardiology, 86, 41 (1995),<br></p>Formula:C22H31N3O5Color and Shape:WhiteMolecular weight:417.50Phosphoric Acid Potassium
CAS:<p>Stability Hygroscopic<br>Applications Potassium salt of Phosphoric Acid (P359200), used in various chemical processes as a phosphorylating compound. Also used in the preparation of prosthetics and collagen nanocomposites due to the bone-like properties. pH buffer.<br>References Ezhova, Z. et al.: Russ. J. Inorg. Chem., 58, 1177 (2013); Wu, Y. et al.: Asian J. Chem., 25, 5881 (2013);<br></p>Formula:K·H2O4PColor and Shape:WhiteMolecular weight:136.09Carboxyphosphamide
CAS:Controlled Product<p>Applications A metabolite of Cyclophosphamide (CPA) (C988580).<br> Not a dangerous good if item is equal to or less than 1g/ml and there is less than 100g/ml in the package<br>References Takamizawa, A., et al.: J. Med. Chem., 18, 376 (1975), Jones, R.J., et al.: J. Hematother., 1, 343 (1992), Biggs, D., et al.: Prog. Clin. Biol. Res., 389, 9 (1994),<br></p>Formula:C7H15Cl2N2O4PColor and Shape:NeatMolecular weight:293.08Fenthion
CAS:Controlled Product<p>Stability Moisture Sensitive<br>Applications Fenthion is an organothiophosphate used as an insecticide. Fenthion is also a potent acaricide. Useful in cannabis testing kits as a component of pesticide mixes (P698230).<br> Not a dangerous good if item is equal to or less than 1g/ml and there is less than 100g/ml in the package<br>References Pati, B.R. et al.: Plant Soil, 80, 215 (1984); Barros, A.T. et al.: Vet. Parasitol., 96, 243 (2001); Kyriakidis, N.V. et al.: Food Chem., 91, 241 (2005);<br></p>Formula:C10H15O3PS2Color and Shape:Colourless To Light YellowMolecular weight:278.33Malathion β-Monoacid
CAS:<p>Stability Hygroscopic<br>Applications A major biodegradation product of Malathion (M111000).<br> Not a dangerous good if item is equal to or less than 1g/ml and there is less than 100g/ml in the package<br>References Kim, Y. et al.: Chemosphere, 60, 1349 (2005); Yoshii, K. et al.: J. Health Sci., 54, 535 (2008); Hayasaka, M. et al.: Jap. J. Forensic Toxicol., 12, 15 (1994);<br></p>Formula:C8H15O6PS2Color and Shape:NeatMolecular weight:302.30Difluoromethylenediphosphonic Acid
CAS:Controlled Product<p>Stability Hygroscopic<br>Applications A phosphonic acid derivative for development of biologically active compounds.<br> Not a dangerous good if item is equal to or less than 1g/ml and there is less than 100g/ml in the package<br>References Ma, Q.F., et al.: Biochemistry, 29, 1412 (1990), Soti, C., et al.: Eur. J. Biochem., 270, 2421 (2003), Barabas, O., et al.: J. Biol. Chem., 279, 42907 (2004),<br></p>Formula:CH4F2O6P2Color and Shape:NeatMolecular weight:211.98Amifostine Trihydrate
CAS:Controlled Product<p>Applications Amifostine Trihydrate is a widely used cytoprotective and radio-protective agent.<br>References Adibhatla K.S., et al. Novel method of manufacture of high purity Amifostine trihydrate. Indian Pat. Appl. IN 2005CH01592 A 20080125. Jan 25, 2008<br></p>Formula:C5H15N2O3PS·3H2OColor and Shape:NeatMolecular weight:268.27Alendronic Acid-d6 Sodium Salt Hydrate
CAS:Controlled Product<p>Applications Alendronic Acid-d6 Sodium Salt is a labelled salt analogue of Alendronic Acid (A521250), a bisphosphonate used as a bone reabsoption inhibitor.<br>References Wang, X.M., et al.: Clin. J. Dent. Res., 3, 26 (2000); Woo, T., et al.: Best Pract. Res. Clin. Rheumatol., 15, 469 (2001); Benford, H.L., et al.: Bone, 28, 465 (2001)<br></p>Formula:C4H6D6NNaO7P2xH2OColor and Shape:NeatMolecular weight:277.11Zofenopril Calcium Salt
CAS:<p>Applications Angiotensin-converting enzyme ACE inhibitor. A prodrug that is de-esterified to the active inhibitor, the sulfhydryl group containing metabolite, Zofenoprilat.<br> Not a dangerous good if item is equal to or less than 1g/ml and there is less than 100g/ml in the package<br>References Gorren, A., et al.: Biochem. J., 331, 801 (1998), Subissi, A., et al.: Cardivascular Drug Reviews, 17, 2 (1999), Marchand, C., et al.: Mol. Pharmacol., 64, 600 (2003), Maurin, C., et al.: J. Med. Chem., 47, 5583 (2004),<br></p>Formula:C22H22NO4S2·CaColor and Shape:NeatMolecular weight:897.17Triethyl Phosphonoacetate
CAS:Controlled Product<p>Applications Reagent used for Horner-Emmons modification.<br> Not a dangerous good if item is equal to or less than 1g/ml and there is less than 100g/ml in the package<br>References Hediger, M., et al.: Bioorg. Med. Chem., 12, 4995 (2004), Kim, J., et al.: Nat., 452, 239 (2008),<br></p>Formula:C8H17O5PColor and Shape:ColourlessMolecular weight:224.19Butafosfan
CAS:Controlled Product<p>Stability Hygroscopic<br>Applications Butafosfan, a component of Catosal, is licensed for the treatment of metabolic disorders or as a tonic in swine. It reduces the stress-induced cortisol (C696302, d4 labelled) response after mixing of unfamiliar pigs. It can also increase milk production in Holstein cows in combination with cyanocobalamin.<br>References De Groot, J., et al.: J. Vet. Pharmacol. Ther., 26, 222 (2003); Pereira, R., et al.: Animal, 7, 1143 (2013)<br></p>Formula:C7H18NO2PColor and Shape:White To Off-WhiteMolecular weight:179.20(4S)-4-(Phenylthio)-L-proline Hydrochloride
CAS:<p>Applications (4S)-4-(Phenylthio)-L-proline is an impurity of Zofenopril (Z587000).<br>References Krapcho, J., et al.: J. Med. Chem., 31, 1148 (1988),<br></p>Formula:C11H14ClNO2SColor and Shape:NeatMolecular weight:259.753-Aminopropyl Monophosphate
CAS:Controlled Product<p>Applications A metabolite of the anti-tumor drug Ifosfamide (I265000). An impurity of Cyclophosphamide (C988580).<br>References Gilard, V. et al.: J. Med. Chem., 42, 2542 (1999); Seligman, A.M. et al.: Cancer Chemother. Rep., 59, 233 (1975);<br></p>Formula:C3H10NO4PColor and Shape:White To Off-WhiteMolecular weight:155.09Malathion Diacid Dipotassium Salt
CAS:Controlled Product<p>Stability Hygroscopic<br>Applications A biodegradation product of Malathion (M111000).<br> Not a dangerous good if item is equal to or less than 1g/ml and there is less than 100g/ml in the package<br>References Kim, Y. et al.: Chemosphere, 60, 1349 (2005); Yoshii, K. et al.: J. Health Sci., 54, 535 (2008); Hayasaka, M. et al.: Jap. J. Forensic Toxicol., 12, 15 (1994);<br></p>Formula:C6H9K2O6PS2Color and Shape:NeatMolecular weight:350.43(2-(3,6-Dimethoxy-9H-carbazol-9-yl)ethyl)phosphonic acid
CAS:Purity:98%Molecular weight:335.2959899902344Dichlorvos-d6
CAS:Controlled Product<p>Applications Dichlorvos-d6 is a deuterated analogue of Dichlorvos a Cholinesterase inhibitor. Anthelmintic, insecticide. Used as a standard for Pesticide detection. Also used in Cannabis testing.<br> Not a dangerous good if item is equal to or less than 1g/ml and there is less than 100g/ml in the package<br>References Gaines, T.B., et al.: Toxicol. Appl. Pharmacol., 14, 515 (1969), Reuber, M.D., et al.: Clin. Toxicol., 18, 47 (1981),<br></p>Formula:C42H6HCl2O4PColor and Shape:Clear Colourless To BrownMolecular weight:227.01Cyclophosphamide Monohydrate
CAS:Controlled Product<p>Applications It is a cytotoxic nitrogen mustard derivative widely used in cancer chemotherapy. It cross-links DNA, causes strand breakage, and induces mutations. Its clinical activity is associated with a decrease in aldehyde dehydrogenase 1 (ALDH1) activity. This substance is listed as a known human carcinogen.This compound is suitable for aldehyde dehydrogenase (ALDH) related research.<br> Not a dangerous good if item is equal to or less than 1g/ml and there is less than 100g/ml in the package<br>References Wheeler, A.G., et al.: Toxicol. Appl. Pharmacol., 4, 324 (1962), Fraiser, L.H., et al.: Drugs, 42, 781 (1991), Colvin, O.M., et al.: Curr. Pharmaceut. Design, 5, 555 (1999),<br></p>Formula:C7H15Cl2N2O2P·H2OColor and Shape:NeatMolecular weight:279.10Fenthion Sulfoxide
CAS:Controlled Product<p>Applications Fenthion Sulfoxide is the sulfoxide anlogue and metabolite of the organothiophosphate insecticide Fenthion (F278000).<br> Not a dangerous good if item is equal to or less than 1g/ml and there is less than 100g/ml in the package<br>References Wallnoefer, P. et al.: Pflanzensch.-Nach., 29, 236 (1976); Minelli, E.V. et al.: J. Agric. Food. Chem., 44, 936 (1996);<br></p>Formula:C10H15O4PS2Color and Shape:NeatMolecular weight:294.33Cyclophosphamide
CAS:<p>Cyclophosphamide is an alkylating agent type of anti-tumor drug, and its main target is DNA. High-Quality, Low-Cost!</p>Formula:C7H15Cl2N2O2PPurity:99.42% - >99.99%Color and Shape:Liquefies On Loss Of Its Water Of CrystallizationMolecular weight:261.09Phoxim
CAS:<p>Stability Moisture Sensitive<br>Applications Phoxim is an organophosphate insecticide. It is an analogous dimethyl ester and an organothiophosphate acaricide.<br> Not a dangerous good if item is equal to or less than 1g/ml and there is less than 100g/ml in the package<br>References Lu, Y., et al.: Nature, 487, 362 (2012); Jokanovic, M., et al.: Arch. Toxicol., 70, 119 (1995); Wang, W., et al.: Pest. Biochem. Physiol., 84, 180 (2006)<br></p>Formula:C12H15N2O3PSColor and Shape:Light Yellow To YellowMolecular weight:298.30Parathion-methyl-d6
CAS:Controlled Product<p>Stability Hygroscopic<br>Applications Isotope labelled Parathion-methyl is an derivative of Parathion (P192220), an organophosphate insecticide used on cotton, rice and fruit trees. Cannabis testing.<br> Not a dangerous good if item is equal to or less than 1g/ml and there is less than 100g/ml in the package<br>References Sykes, M., et al.: J. Agri. Food. Chem., 61, 4205 (2013); Sipes, N.S., et al.: Chem. Res. Toxicol., 26, 878 (2013);<br></p>Formula:C82H6H4NO5PSColor and Shape:Colourless To Off-WhiteMolecular weight:269.24Disalicylimide
CAS:<p>Applications Disalicylimide is an impurity of Deferasirox (D228650), an orally active tridentate iron chelator.<br>References Hershko, C., et al.: Blood, 97, 1115 (2001), Galanello, R., et al.: J. Clin. Pharmacol., 43, 565 (2003), Nick, H., et al.: Curr. Med. Chem., 10, 1065 (2003),<br></p>Formula:C14H11NO4Color and Shape:NeatMolecular weight:257.25N-Acetyl Glufosinate Sodium
CAS:Controlled Product<p>Stability Very Hygroscopic<br>Applications The major metabolite of herbicidal Glufosinate (G596950).<br></p>Formula:C7H12NNa2O5PColor and Shape:White To Off-WhiteMolecular weight:267.13Glufosinate Ammonium
CAS:<p>Stability Hygroscopic<br>Applications Used as a herbicide.<br>References Abbas, H., et al.: J. Agric. Food Chem., 50, 5246<br></p>Formula:C5H11NO4P·H4NColor and Shape:White To BeigeMolecular weight:198.16(Z)-Tetrachlorvinphos
CAS:Controlled Product<p>Applications (Z)-Tetrachlorvinphos is used in sensitive immunoassay for detection of organophosphorus pesticides. Also, used in exposure characterization of varied major insecticides including neonicotinoids, organophosphates and pyrethroids in urine of young children. Useful in cannabis testing kits as a component of pesticide mixes (P698240).<br> Not a dangerous good if item is equal to or less than 1g/ml and there is less than 100g/ml in the package<br>References Zhao, F., et al.: Anal. Bioanal. Chem., 408, 6423 (2016); Osaka, A., et al.: Environ. Res., 147, 89 (2016)<br></p>Formula:C10H9Cl4O4PColor and Shape:Off-WhiteMolecular weight:365.963-(Methylnitrosamino)propanal
CAS:Controlled Product<p>Applications 3-(Methylnitrosamine)propionaldehyde (MNPA) was detected for the 1st time in the saliva of betel quid chewers and is a potent carcinogen. It exhibits higher cytotoxicity than Nitrosoguvacine (NGC), Nitrosoguvacoline (NG) and 3-(Methylnitrosamino)propionitrile (MNPN).<br>References Bartsch, H., et al.: Mutat. Res., 250, 103 (1991), Su, T., et al.: Drug Metab. Dispos., 24, 884 (1996), Guengerich, F., et al.: Chem. Res. Toxicol., 14, 611 (2001),<br></p>Formula:C4H8N2O2Color and Shape:NeatMolecular weight:116.123-(2-Chloroethyl)octahydro-2-hydroxy-1,3,6,2-oxadiazaphosphonine 2-Oxide
CAS:Controlled Product<p>Impurity Cyclophosphamide Impurity B<br>Stability Hygroscopic<br>Applications A metabolite of Cyclophosphamide (C988580). Cyclophosphamide Impurity B<br>References Joqueviel, C. et al.: Drug Metab. Dispos., 26, 418 (1998);<br></p>Formula:C7H16ClN2O3PColor and Shape:NeatMolecular weight:242.64Deferasirox Ethyl Ester
CAS:Controlled Product<p>Applications Deferasirox Ethyl Ester is a derivative of Deferasirox (D228650); an orally active tridentate iron chelator.<br>References Hershko, C., et al.: Blood, 97, 1115 (2001); Galanello, R., et al.: J. Clin. Pharmacol., 43, 565 (2003); Nick, H., et al.: Curr. Med. Chem., 10, 1065 (2003)<br></p>Formula:C23H19N3O4Color and Shape:White To Light YellowMolecular weight:401.414-Hydrazinobenzoic Acid
CAS:Controlled Product<p>Applications 4-Hydrazinobenzoic Acid, is an organic building block used for the synthesis of various chemical and pharmaceutical compounds. It can be used for the synthesis of Deferasirox (D228650), an orally active tridentate iron chelator.<br>References Ying, Ch., et al.: Xiandai Yaowu Yu Linchuang, 27, 446 (2012); Galanello, R., et al.: J. Clin. Pharmacol., 43, 565 (2003), Nick, H., et al.: Curr. Med. Chem., 10, 1065 (2003);<br></p>Formula:C7H8N2O2Color and Shape:NeatMolecular weight:152.15Fenthoxon Sulfoxide
CAS:Controlled Product<p>Applications A metabolite of Fenthion (FEN).<br> Not a dangerous good if item is equal to or less than 1g/ml and there is less than 100g/ml in the package<br>References Buratti, F., et al.: Toxicol. Lett., 167, 245 (2006), Buratti, F., et al.: Drug Metab. Dispos., 33, 295 (2005), Buratti, F., et al.: Toxicology, 241, 33 (2007),<br></p>Formula:C10H15O5PSColor and Shape:ColourlessMolecular weight:278.2619N-Nitroso Enalapril
Controlled ProductFormula:C20H27N3O6Color and Shape:NeatMolecular weight:405.44488Bis(2-chloroethyl)amine Hydrochloride
CAS:Controlled Product<p>Impurity Cyclophosphamide Impurity A<br>Applications A cytotoxic metabolite of Cyclophosphamide; a deuterated analog of Nor-nitrogen mustard. Cyclophosphamide Impurity A<br>References Colvin, M. et al.: Cancer Res., 36, 1121 (1976); Ludeman, S. et al.: Drug Metab Dispos., 20, 337 (1992); Ludeman, S.M. et al.: J. Pharmaceut. Sci., 84, 393 (1995); Yu, L. et al.: Drug Metab. Dispos., 24, 1254 (1996);<br></p>Formula:C4H9Cl2N·ClHColor and Shape:White To Light YellowMolecular weight:178.494-Hydroperoxy Cyclophosphamide
CAS:Controlled ProductFormula:C7H15Cl2N2O4PColor and Shape:NeatMolecular weight:293.082-(2,4,5-Trichlorophenoxy)propionic Acid
CAS:Controlled ProductFormula:C9H7Cl3O3Color and Shape:NeatMolecular weight:269.51POPE
CAS:Controlled Product<p>Stability Light Sensitive, Moisture Sensitive<br>Applications POPE is a component of E. Coli bacteria cell membrane.<br>References Tu, Y., et al.: Nature Nanotechnology, 8, 594 (2013).<br></p>Formula:C39H76NO8PColor and Shape:NeatMolecular weight:718.02-Pyrrolidinylphosphonic Acid
CAS:Controlled Product<p>Applications 2-Pyrrolidinylphosphonic Acid, is an impurity of Alendronate (A521250), a bisphosphonate used as a bone reabsoption inhibitor.<br>References Wang, X.M., et al.: Clin. J. Dent. Res., 3, 26 (2000), Woo, T., et al.: Best Pract. Res. Clin. Rheumatol., 15, 469 (2001), Benford, H.L., et al.: Bone, 28, 465 (2001),<br></p>Formula:C4H10NO3PColor and Shape:Off-WhiteMolecular weight:151.10Fenthoxon Sulfone
CAS:Controlled Product<p>Applications A metabolite of Fenthion (FEN).<br> Not a dangerous good if item is equal to or less than 1g/ml and there is less than 100g/ml in the package<br>References Buratti, F., et al.: Toxicol. Lett., 167, 245 (2006), Buratti, F., et al.: Drug Metab. Dispos., 33, 295 (2005), Buratti, F., et al.: Toxicology, 241, 33 (2007),<br></p>Formula:C10H15O6PSColor and Shape:ColourlessMolecular weight:294.26Fenthion Sulfone
CAS:<p>Applications Fenthion Sulfone is a metabolite of the organothiophosphate insecticide Fenthion (F278000).<br> Not a dangerous good if item is equal to or less than 1g/ml and there is less than 100g/ml in the package<br>References Oh, C., et al.: Bull Environ. Contam. Toxicol., 78, 314 (2007); Wang, W., et al.: Anal. Chim. Acta, 602, 211 (2007);<br></p>Formula:C10H15O5PS2Color and Shape:ColourlessMolecular weight:310.33Fenthoxon
CAS:Controlled Product<p>Applications A major metabolite of Fenthion (FEN). It is used as organophosphorus pesticides.<br> Not a dangerous good if item is equal to or less than 1g/ml and there is less than 100g/ml in the package<br>References Buratti, F., et al.: Toxicol. Lett., 167, 245 (2006), Buratti, F., et al.: Drug Metab. Dispos., 33, 295 (2005), Buratti, F., et al.: Toxicology, 241, 33 (2007),<br></p>Formula:C10H15O4PSColor and Shape:ColourlessMolecular weight:262.26Uridine-3'-monophosphate disodium salt
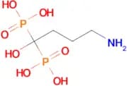
CAS:Purity:99.0%Color and Shape:SolidMolecular weight:368.1449890136719Sodium hydrogen (4-amino-1-hydroxy-1-phosphonobutyl)phosphonate
CAS:Purity:95.0%Color and Shape:Solid, White - Almost white powderMolecular weight:271.0769958496094(2-Chloroethyl)phosphonic acid
CAS:Purity:85%Color and Shape:SolidMolecular weight:144.49000549316406Metaraminol Bitartrate
CAS:Controlled Product<p>Applications Metaraminol Bitartrate is a vasopressor comparable to ephedrine used in the maintenance of arterial pressure during spinal anesthesia. Also used in the treatment of hypotension while under the effect of anaesthesia.<br> Not a dangerous good if item is equal to or less than 1g/ml and there is less than 100g/ml in the package<br>References Ngan, K. et al.: Anesthes., 95, 307 (2001); Critchley, L. et al.: Br. J. Anaesth., 76, 734 (1996);<br></p>Formula:C9H13NO2·C4H6O6Color and Shape:WhiteMolecular weight:317.29Ethyl Dihydrogen Phosphate
CAS:Controlled ProductFormula:C2H7O4PColor and Shape:White To BeigeMolecular weight:126.048Sodium (2R,3R,4S)-2,3,4,6-tetrahydroxy-5-oxohexyl phosphate
CAS:Purity:95.0%Molecular weight:322.004171806Alendronic Acid-d6 (Major)
CAS:Controlled ProductFormula:C4D6H7NO7P2Color and Shape:NeatMolecular weight:255.13Risedronic Acid-d4 (Major)
CAS:Controlled ProductFormula:C7H7D4NO7P2Color and Shape:NeatMolecular weight:287.14Triisopropyl Phosphate
CAS:Controlled Product<p>Applications Triisopropyl Phosphate can be used as a flame retardant and catalyst.<br> Not a dangerous good if item is equal to or less than 1g/ml and there is less than 100g/ml in the package<br>References Zhang, Tie-jiang.: Meitan Jishu,29(2), 204-206 (2010);Chen, Yong-Fu, et al.: Jingxi Huagong, 17(9), 541-543 (2000)<br></p>Formula:C9H21O4PColor and Shape:NeatMolecular weight:224.23(2,7-di-tert-Butyl-9-methyl-9H-fluoren-9-yl)phosphonic acid
CAS:Purity:98%Molecular weight:372.445007324218753-(Methylnitrosamino)propionitrile
CAS:Controlled Product<p>Applications 3-(Methylnitrosamino)propionitrile (MNPN) was detected for the 1st time in the saliva of betel quid chewers and is a potent carcinogen.<br>References Bartsch, H., et al.: Mutat. Res., 250, 103 (1991), Su, T., et al.: Drug Metab. Dispos., 24, 884 (1996), Guengerich, F., et al.: Chem. Res. Toxicol., 14, 611 (2001),<br></p>Formula:C4H7N3OColor and Shape:Light YellowMolecular weight:113.12(2-Bromoethyl)phosphonic acid
CAS:Purity:95.0%Color and Shape:SolidMolecular weight:188.94500732421875(4-Amino-1-hydroxybutane-1,1-diyl)diphosphonic acid
CAS:Purity:95.0%Color and Shape:Solid, White to slightly pale yellow powderMolecular weight:249.0959930419922(Dichloromethylene)diphosphonic acid, disodium salt
CAS:Purity:95.0%Color and Shape:Solid, No data available.Molecular weight:288.8500061035156Sodium ((2R,3S,4R,5R)-5-(2,4-dioxo-3,4-dihydropyrimidin-1(2H)-yl)-3,4-dihydroxytetrahydrofuran-2-yl)methyl hydrogenphosphate
CAS:Purity:98.0%Molecular weight:346.16400146484375Sodium (3-amino-1-hydroxy-1-phosphonopropyl)phosphonate xhydrate
CAS:Purity:95.0%Color and Shape:Solid, No data available.Molecular weight:297.04699707031254-(1,2,2-Tris(4-(phosphonooxy)phenyl)vinyl)phenyl dihydrogen phosphate
CAS:Purity:98%Molecular weight:716.3569946289062(S)-TETRAHYDROFURAN-3-YL ((2S,3R)-4-(4-AMINO-N-ISOBUTYLPHENYLSULFONAMIDO)-1-PHENYL-3-(PHOSPHONOOXY)BUTAN-2-YL)CARBAMATE
CAS:Purity:99%Molecular weight:585.6099853515625Cyclophosphamide-d8 H2O [bis(2-chloroethyl-d4)]
CAS:Controlled Product<p>Applications Cyclophosphamide-d8 H2O [bis(2-chloroethyl-d4)] is a useful isotopically labeled compound of Cyclophosphamide Monohydrate (C988580)<br></p>Formula:C7H9D8Cl2N2O3PColor and Shape:White To Off-WhiteMolecular weight:287.15Diazinon
CAS:Controlled Product<p>Stability Moisture Sensitive<br>Applications A cholinesterase inhibitor; a nonsystemic organophosphate insecticide. This compound is a contaminant of emerging concern (CECs). Used as a standard for Pesticide detection.Diazinon is useful in cannabis testing kits as a component of pesticide mixes (P698230).<br> Not a dangerous good if item is equal to or less than 1g/ml and there is less than 100g/ml in the package<br>References Gaines, T.B., et al.: Toxicol. Appl. Pharmacol., 14, 515 (1969);<br></p>Formula:C12H21N2O3PSColor and Shape:ColourlessMolecular weight:304.35Cyclophosphamide-d4
CAS:Controlled Product<p>Applications It is a cytotoxic nitrogen mustard derivative widely used in cancer chemotherapy. It cross-links DNA, causes strand breakage, and induces mutations. Its clinical activity is associated with a decrease in aldehyde dehydrogenase 1 (ALDH1) activity. This substance is listed as a known human carcinogen.This compound is suitable for aldehyde dehydrogenase (ALDH) related research.<br> Not a dangerous good if item is equal to or less than 1g/ml and there is less than 100g/ml in the package<br>References Wheeler, A.G., et al.: Toxicol. Appl. Pharmacol., 4, 324 (1962), Fraiser, L.H., et al.: Drugs, 42, 781 (1991), Colvin, O.M., et al.: Curr. Pharmaceut. Design, 5, 555 (1999),<br></p>Formula:C72H4H11Cl2N2O2PColor and Shape:Off-WhiteMolecular weight:265.11




