
Aminoacids and derivatives
Amino acids are compounds with a structure based on an amino group (-NH₂) and a carboxyl group (-COOH), both attached to a central carbon atom. This structure makes them essential for the synthesis of proteins and other biomolecules. Their derivatives can have regulatory properties over metabolic processes and biological systems, with applications in nutrition, health, and regenerative medicine.
At CymitQuimica, we offer a wide range of amino acids and their derivatives, ideal for research and the formulation of bioactive products.
Found 12239 products of "Aminoacids and derivatives"
Sort by
Purity (%)
0
100
|
0
|
50
|
90
|
95
|
100
Tert-Butyl (3-amino-2,2-dimethylpropyl)carbamate
CAS:Purity:95.0%Color and Shape:SolidMolecular weight:202.29800415039062N-[4-[(3-Chloro-4-fluorophenyl)amino]-7-[[(3S)-tetrahydro-3-furanyl]oxy]-6-quinazolinyl]-4-(dimethylamino)-2-butenamide
CAS:Purity:98%Color and Shape:SolidMolecular weight:485.94N,N,N',N'-Tetra([1,1'-biphenyl]-4-yl)[1,1':4',1''-terphenyl]-4,4''-diamine
CAS:Purity:97%Molecular weight:869.12402343758-Boc-3,8-diazabicyclo[3.2.1]octane
CAS:Purity:97.0%Color and Shape:SolidMolecular weight:212.292999267578125,8-Diaza-spiro[3.5]nonane dihydrochloride
CAS:Formula:C7H16Cl2N2Purity:95%Color and Shape:SolidMolecular weight:199.12Tert-butyl 2,2,3,3,5,5,6,6-octadeuteriopiperazine-1-carboxylate
CAS:Purity:97Molecular weight:194.3040008544922Tert-butyl 4-(4-amino-2-fluorophenyl)piperidine-1-carboxylate
CAS:Purity:96%Molecular weight:294.3699951HEXAHYDRO-PYRAZINO[2,1-C][1,4]OXAZINE-8-CARBOXYLIC ACID TERT-BUTYL ESTER
CAS:Formula:C12H22N2O3Purity:98%Color and Shape:LiquidMolecular weight:242.3192-(Piperazin-2-yl)ethanol dihydrochloride
CAS:Formula:C6H16Cl2N2OPurity:95%Color and Shape:SolidMolecular weight:203.11(3R,4S)-rel-tert-Butyl 3-amino-4-fluoropiperidine-1-carboxylate
CAS:Purity:98%Color and Shape:LiquidMolecular weight:218.141-[2-Fluoro-4-(methylsulfonyl)phenyl]piperazine
CAS:Formula:C11H15FN2O2SPurity:95%Color and Shape:SolidMolecular weight:258.31(3R)-1-Benzyl-3-piperidinyl methyl (4R)-2,6-dimethyl-4-(3-nitrophenyl)-1,4-dihydro-3,5-pyridinedicarboxylate hydrochloride (1:1)
CAS:Purity:98%Molecular weight:542.0300293(S)-8-(3-Aminopiperidin-1-yl)-7-(but-2-yn-1-yl)-3-methyl-1-((4-methylquinazolin-2-yl)methyl)-3,7-dihydro-1H-purine-2,6-dione (Linagliptin Impurity)
CAS:Purity:97%Color and Shape:SolidMolecular weight:472.553EDTA disodium salt, 95%
CAS:Formula:C10H14N2Na2O8Purity:95.0%Color and Shape:Solid, Crystalline or PowderMolecular weight:336.2084-(4-Methylpiperazin-1-ylmethyl)benzoic acid
CAS:Formula:C13H18N2O2Purity:95%Color and Shape:SolidMolecular weight:234.2993-[(3-aminobenzene)sulfonyl]aniline
CAS:Formula:C12H12N2O2SPurity:98%Color and Shape:Solid, White to pale yellow powderMolecular weight:248.32,4,6-Tris(diphenylamino)-3,5-difluorobenzonitrile
CAS:Purity:96%Color and Shape:SolidMolecular weight:640.73797612,2′,2”-(1,3,5-Triazinane-1,3,5-triyl)triethanol
CAS:Formula:C9H21N3O3Purity:75%Molecular weight:219.294-(4-Ethylpiperazin-1-yl)phenylboronic acid pinacol ester
CAS:Formula:C18H29BN2O2Purity:98%Color and Shape:SolidMolecular weight:316.254,4′-(Buta-1,3-diyne-1,4-diyl)dianiline
CAS:Purity:95%Color and Shape:SolidMolecular weight:232.2859955tert-Butyl 4-(3-aminopropyl)piperidine-1-carboxylate
CAS:Formula:C13H26N2O2Purity:97%Color and Shape:SolidMolecular weight:242.363(S)-(-)-1,1′-Binaphthyl-2,2′-diamine
CAS:Formula:C20H16N2Purity:95%Color and Shape:Solid, Violet powderMolecular weight:284.3622,4-Diamino-6-hydroxy-5-nitrosopyrimidine
CAS:Formula:C4H5N5O2Purity:97%Color and Shape:SolidMolecular weight:155.1171,4-Bis(2-chloroethyl)piperazine
CAS:Formula:C8H16Cl2N2Purity:98%Color and Shape:LiquidMolecular weight:211.133,4-Diaminotoluene
CAS:Formula:C7H10N2Purity:98%Color and Shape:Brown fragmentsMolecular weight:122.171tert-Butyl ((3R,4R)-4-hydroxypyrrolidin-3-yl)carbamate
CAS:Formula:C9H18N2O3Purity:95%Color and Shape:SolidMolecular weight:202.2541-Boc-Piperazine
CAS:Formula:C9H18N2O2Purity:98.0%Color and Shape:Crystalline,PowderMolecular weight:186.2551-Boc-4-(4-Formylphenyl)piperazine
CAS:Formula:C16H22N2O3Purity:97%Color and Shape:SolidMolecular weight:290.363tert-Butyl 4-(5-amino-1H-pyrazol-3-yl)piperidine-1-carboxylate
CAS:Formula:C13H22N4O2Purity:98%Color and Shape:SolidMolecular weight:266.3454,7,13,16,21,24-Hexaoxa-1,10-diazabicyclo[8.8.8]hexacosane
CAS:Formula:C18H36N2O6Purity:98%Color and Shape:Solid, White - Almost white powderMolecular weight:376.4944′,4”’,4””’-(1,3,5-Triazine-2,4,6-triyl)tris(([1,1′-biphenyl]-4-amine))
CAS:Purity:97%Color and Shape:SolidMolecular weight:582.711TERT-BUTYL METHYL(MORPHOLIN-2-YLMETHYL)CARBAMATE
CAS:Formula:C11H22N2O3Purity:95%Color and Shape:OilMolecular weight:230.3083-[[3,5-Bis(trifluoromethyl)phenyl]amino]-4-[[(1R,2R)-2-(dimethylamino)-1,2-diphenylethyl]amino]-3-cyclobutene-1,2-dione
CAS:Purity:97%Molecular weight:547.5009766(2R,2’R)-4,4′-Disulfanediylbis(2-aminobutanoic acid)
CAS:Formula:C8H16N2O4S2Purity:98%Color and Shape:SolidMolecular weight:268.352,5-Dibromopyridine-3,4-diamine
CAS:Formula:C5H5Br2N3Purity:95%Color and Shape:SolidMolecular weight:266.924(S)-2-N-Boc-Aminomethylpyrrolidine
CAS:Formula:C10H20N2O2Purity:95%Color and Shape:Liquid, OilMolecular weight:200.282tert-Butyl 4-(2-hydroxyethyl)piperazine-1-carboxylate
CAS:Formula:C11H22N2O3Purity:95%Color and Shape:Low Melting Solid, viscous liquid to low-melting solMolecular weight:230.3083-N-Boc-Aminopiperidine
CAS:Formula:C10H20N2O2Purity:97%Color and Shape:SolidMolecular weight:200.282tert-Butyl (1R,5S,6r)-6-amino-3-azabicyclo[3.1.0]hexane-3-carboxylate
CAS:Purity:97%Molecular weight:198.2664-(2-Morpholin-4-yl-ethoxy)-phenylamine
CAS:Formula:C12H18N2O2Purity:98%Color and Shape:SolidMolecular weight:222.288tert-Butyl 4-(piperazin-1-ylmethyl)piperidine-1-carboxylate
CAS:Purity:97%Color and Shape:SolidMolecular weight:283.41598511-Boc-(4-N-Boc-amino)piperidine-4-carboxylic acid
CAS:Formula:C16H28N2O6Purity:97%Color and Shape:SolidMolecular weight:344.408Nonivamide
CAS:Nonivamide analytical standard provided with chromatographic purity, to be used as reference material for qualitative determination.Formula:C17H27NO3Purity:(HPLC) ≥95%Color and Shape:PowderMolecular weight:293.41Dihydrocapsaicin
CAS:Dihydrocapsaicin analytical standard provided with chromatographic purity, to be used as reference material for qualitative determination.Formula:C18H29NO3Purity:(HPLC) ≥85%Color and Shape:PowderMolecular weight:307.442-(3-Amino-phenyl)-benzothiazol-6-ylamine
CAS:Purity:98%Color and Shape:SolidMolecular weight:241.30999755859375N-tert-Butoxycarbonyl-2-methylamino-ethylamine hydrochloride
CAS:Purity:98.0%Color and Shape:SolidMolecular weight:210.69999694824228-(Piperazin-1-yl)-1,2,3,4-tetrahydro-1,7-naphthyridine dihydrochloride
CAS:Purity:95.0%Molecular weight:291.22000122070312-(4-Benzylpiperazin-1-yl)benzaldehydedihydrochloride
CAS:Purity:95.0%Molecular weight:353.29000854492192-(1,4-Diazepan-1-yl)-1,3-benzothiazole
CAS:Purity:95.0%Color and Shape:LiquidMolecular weight:233.33000183105471-(Dibenzosuberyl)-piperazine
CAS:Purity:99.0%Color and Shape:Solid, CrystallineMolecular weight:278.398986816406252-[4-(2,3-Dihydrobenzo[b][1,4]dioxin-6-yl)piperazin-1-yl]acetic acid
CAS:Color and Shape:SolidMolecular weight:278.3080139160156Nintedanib
CAS:Purity:97.0%Color and Shape:Solid, No data available.Molecular weight:539.6359863281257-(Piperazin-1-yl)benzo[d]oxazol-2(3H)-one hydrochloride
CAS:Color and Shape:SolidMolecular weight:255.6999969482422Chetomin, Chaetomium species
CAS:<p>M04053 - Chetomin, Chaetomium species</p>Formula:C31H32N6O6S4Purity:>98%Color and Shape:Solid, No data available.Molecular weight:712.875,6-Dimethyl-4-piperazinothieno[2,3-d]pyrimidine
CAS:Purity:98.0%Color and Shape:SolidMolecular weight:248.35000610351562Tert-Butyl (4-aminobut-2-en-1-yl)carbamate hydrochloride
CAS:Purity:95.0%Color and Shape:SolidMolecular weight:222.71000671386724-(2-Amino-ethyl)-aniline
CAS:Formula:C8H12N2Purity:98%Color and Shape:LiquidMolecular weight:136.198N-tert-Butyl-N'-cyclopropyl ethylenediamine
CAS:Purity:97.0%Color and Shape:Solid, Low Melting SolidMolecular weight:156.27299499511721-[2-(Benzhydryloxy)ethyl]-1,4-diazepane
CAS:Purity:97.0%Color and Shape:LiquidMolecular weight:310.44100952148442-(4-Bromo-phenyl)-3-piperazin-1-ylmethyl-imidazo[1,2-a]pyridine
CAS:Purity:98%Color and Shape:SolidMolecular weight:371.2820129394531Tert-Butyl 3-(benzylamino)-8-azabicyclo[3.2.1]octane-8-carboxylate
CAS:Purity:95.0%Molecular weight:316.445007324218751-(4-Benzyloxyphenyl)piperazine hydrochloride
CAS:Color and Shape:SolidMolecular weight:304.820007324218751-Acetyl-N-[1-(2-phenylethyl)piperidin-4-yl]-indolin-5-amine
CAS:Purity:95.0%Molecular weight:363.5050048828125Methyl 2-amino-6-benzyl-4,5,6,7-tetrahydrothieno[2,3-c]pyridine-3-carboxylate
CAS:Purity:95.0%Color and Shape:SolidMolecular weight:302.3900146484375(1S,4S)-2-(4-Chlorobenzyl)-2,5-diaza-bicyclo[2.2.1]heptane
CAS:Color and Shape:Solid, Off-white solidMolecular weight:222.720001220703122-(4-Amino-phenyl)-benzothiazol-6-ylamine
CAS:Purity:97%Color and Shape:SolidMolecular weight:241.309997558593754,6-Dimethoxy-2-[phenyl(piperazin-1-yl)methyl]pyrimidine
CAS:Purity:95.0%Color and Shape:SolidMolecular weight:314.38900756835941-Naphthalen-2-yl-piperazine dihydrochloride
CAS:Color and Shape:SolidMolecular weight:285.20999145507816-(4-Fluorophenyl-5-(piperazin-1-ylmethyl)imidazo[2,1-b]thiazole
Color and Shape:SolidMolecular weight:316.39999389648446-t-Butyl-4-piperazinothieno[3,2-d]pyrimidine
CAS:Color and Shape:SolidMolecular weight:276.39999389648441-Acetyl-2,3-dihydro-N-(1-propylpiperidin-4-yl)-(1H)-indol-5-amine
Molecular weight:301.43399047851565-(Piperazin-1-yl)-1,6-naphthyridine trihydrochloride
CAS:Purity:90.0%Color and Shape:Solid, CrystallineMolecular weight:323.6499938964844(3-Amino-4-pyrrolidin-1-yl-phenyl)-pyrrolidin-1-yl-methanone
CAS:Purity:97%Color and Shape:SolidMolecular weight:259.3529968261719Tert-Butyl 4-(2-(trifluoromethyl)-1,6-naphthyridin-5-ylamino)piperidine-1-carboxylate
CAS:Purity:95.0%Molecular weight:396.414001464843752,2-Bis[4-(4-aminophenoxy)phenyl]-hexafluoropropane
CAS:Purity:98.0%Color and Shape:Solid, PowderMolecular weight:518.4589843756-Phenyl-5-(piperazin-1-ylmethyl)imidazo[2,1-b]thiazole
CAS:Color and Shape:SolidMolecular weight:298.41000366210942-Benzyl-2-dimethylamino-1-(4-morpholinophenyl)-1-butanone
CAS:Purity:95.0%Color and Shape:SolidMolecular weight:366.5050048828125Asparagine Anhydrous
CAS:<p>Acyclic amides (including acyclic carbamates) and their derivatives and salts thereof, nesoi</p>Formula:C4H8N2O3Color and Shape:White PowderMolecular weight:132.05349Droxidopa
CAS:<p>Aromatic amino-alcohol-phenols, aromatic amino-acid-phenols and other aromatic amino compounds with oxygen function</p>Formula:C9H11NO5Color and Shape:White Pale Yellow PowderMolecular weight:213.06372Asparagine Monohydrate
CAS:<p>Acyclic amides (including acyclic carbamates) and their derivatives and salts thereof, nesoi</p>Formula:C4H8N2O3·H2OColor and Shape:White PowderMolecular weight:132.05349Aspartic Acid
CAS:<p>Amino-acids (excluding aromatic) and their esters other than those containing more than one kind of oxygen function, nesoi</p>Formula:C4H7NO4Color and Shape:White Off-White Crystalline PowderMolecular weight:133.1Asparagine Related Compound A (2,2'-(3,6-dioxopiperazine-2,5-diyl)diacetamide)
CAS:<p>Lactams not elsewhere specified or included</p>Formula:C8H12N4O4Color and Shape:White PowderMolecular weight:228.08585Droxidopa Threo Isomer ((2R,3S)-2-Amino-3-(3,4-dihydroxyphenyl)-3-hydroxypropanoic acid hydrochloride)
CAS:<p>Aromatic amino-alcohol-phenols, aromatic amino-acid-phenols and other aromatic amino compounds with oxygen function</p>Formula:C9H11NO5·HClColor and Shape:White Off-White Light Yellow SolidMolecular weight:213.06372Droxidopa Erythro Isomer ((2RS,3RS)-2-Amino-3-(3,4-dihydroxyphenyl)-3-hydroxypropanoic acid)
CAS:<p>Aromatic amino-alcohol-phenols, aromatic amino-acid-phenols and other aromatic amino compounds with oxygen function</p>Formula:C9H11NO5Color and Shape:White Off-White PowderMolecular weight:213.06372Venlafaxine hydrochloride
CAS:<p>Venlafaxine HCl, a cyclohexanol phenethylamine, acts as an SNRI antidepressant.</p>Formula:C17H28ClNO2Purity:97.32% - 99.86%Color and Shape:White Crystalline PowderMolecular weight:313.86Umbelliferone
CAS:<p>Umbelliferone, aka 7-Hydroxycoumarin, in anise and many plants, is a phytoalexin with antioxidant effects.</p>Formula:C9H6O3Purity:98.65% - 99.64%Color and Shape:Off-White Crystalline PowderMolecular weight:162.14Fenclonine
CAS:<p>Fenclonine (CP-10188) is a selective and irreversible inhibitor of tryptophan hydroxylase, a rate-limiting enzyme in the biosynthesis of serotonin.</p>Formula:C9H10ClNO2Purity:98.81% - >99.99%Color and Shape:Crystals From Methanol White SolidMolecular weight:199.63Tocainide
CAS:<p>Tocainide is a blocker of the sodium channel and used for the treatment of tinnitus.</p>Formula:C11H16N2OPurity:99.84%Color and Shape:SolidMolecular weight:192.26Betaine chloride
CAS:<p>Betaine chloride (Betaine hydrochloride) gains the amplification of DNA by decreasing the formation of secondary structure in GC-rich regions.</p>Formula:C5H12ClNO2Purity:99.98%Color and Shape:Colorless To White CrystalsMolecular weight:153.61LY2183240
CAS:<p>LY2183240 inhibits fatty acid amide hydrolase (FAAH) activity (IC50 = 12.4 nM).</p>Formula:C17H17N5OPurity:99.26%Color and Shape:SolidMolecular weight:307.35Zolmitriptan
CAS:<p>Zolmitriptan targets 5-HT 1B/1D receptors, constricts cranial vessels, inhibits pain signals, and stops pro-inflammatory neuropeptides, alleviating migraines.</p>Formula:C16H21N3O2Purity:99.69% - 99.91%Color and Shape:White Or Kind Of White PowderMolecular weight:287.36Aripiprazole
CAS:<p>Aripiprazole (OPC-14597) is a piperazine/quinolone antipsychotic, partial agonist at 5-HT1A/D2, and antagonist at 5-HT2A.</p>Formula:C23H27Cl2N3O2Purity:99.43% - 99.62%Color and Shape:Colourless Flake Crystalline SolidMolecular weight:448.39Loxapine succinate
CAS:<p>Loxapine succinate (Loxapac), a D2DR and D4DR inhibitor, is utilized in schizophrenia.</p>Formula:C22H24ClN3O5Purity:99.69%Color and Shape:White To Of-White SolidMolecular weight:445.9Coumarin
CAS:<p>Coumarin: plant-based poison found in tonka beans, woodruff, bison grass; used to make anticoagulants like warfarin.</p>Formula:C9H6O2Purity:98.89%Color and Shape:White Solid CrystallineMolecular weight:146.14Ziprasidone
CAS:<p>Ziprasidone (Geodon) is a united 5-HT (serotonin) and dopamine receptor antagonist which shows potent effects of antipsychotic activity.</p>Formula:C21H21ClN4OSPurity:99.55%Color and Shape:Tan SolidMolecular weight:412.94p-Coumaric acid
CAS:<p>p-Coumaric acid (para-Coumaric Acid) is the abundant isomer of cinnamic acid, with antitumor and anti-mutagenic activities.</p>Formula:C9H8O3Purity:99.51% - 99.64%Color and Shape:White CrystalMolecular weight:164.165-TAMRA-SE
CAS:<p>5-TAMRA-SE binds amines, gives stable orange-red fluorescence, exc/em ~546/579nm, pH-insensitive.</p>Formula:C29H25N3O7Purity:97.96%Color and Shape:SolidMolecular weight:527.53Cyanine5 NHS ester chloride
CAS:<p>Cyanine5 NHS ester, a red fluorescent dye, labels amines in biomolecules using minimal DMF/DMSO.</p>Formula:C36H42ClN3O4Purity:99.87%Color and Shape:SolidMolecular weight:616.19Trometamol
CAS:Controlled Product<p>Trometamol: treats acidemia, blocks COX1/COX2, inhibits pro-inflammatory prostaglandins.</p>Formula:C4H11NO3Purity:99.05% - 99.88%Color and Shape:White Solid CrystallineMolecular weight:121.14Fudosteine
CAS:<p>Fudosteine is a novel mucoactive agent and a MUC5AC mucin hypersecretion inhibitor.</p>Formula:C6H13NO3SPurity:99.59%Color and Shape:Off-White CrystallineMolecular weight:179.24Choline chloride
CAS:<p>Choline chloride is a lecithin compound, essential in making acetylcholine, as a methyl donor, and for lipid metabolism.</p>Formula:C5H14ClNOPurity:99.74% - 99.91%Color and Shape:Colourless Liquid Aqueous SolutionMolecular weight:139.63Trimipramine maleate
CAS:<p>Trimipramine maleate, a tricyclic antidepressant, blocks serotonin and norepinephrine reuptake, boosting their levels and duration.</p>Formula:C24H30N2O4Purity:99.47%Color and Shape:SolidMolecular weight:410.51LY2365109 hydrochloride
CAS:<p>LY2365109 hydrochloride is a potent and selective GlyT1 inhibitor, with an IC50 of 15.8 nM for glycine uptake in cells over-expressing hGlyT1a.</p>Formula:C22H28ClNO5Purity:98.27%Color and Shape:SolidMolecular weight:421.91Citalopram hydrobromide
CAS:<p>Citalopram hydrobromide (XU-62-320) , a selective serotonin reuptake inhibitor (SSRI), selectively inhibits the CNS neuronal reuptake of serotonin, thereby</p>Formula:C20H22BrFN2OPurity:99.81%Color and Shape:White Crystalline PowderMolecular weight:405.304Cholic Acid
CAS:<p>Cholic Acid (Cholate) is a major primary bile acid produced in the liver and usually conjugated with glycine or taurine.</p>Formula:C24H40O5Purity:99.86% - 99.92%Color and Shape:Greenish - White Solid PowderMolecular weight:408.57GPNA hydrochloride
CAS:<p>GPNA hydrochloride inhibits Gln transporter ASCT2, induces apoptosis in A549 cells, blocks SNAT1/2/4/5 & LAT1/2 transporters, and is a GGT substrate.</p>Formula:C11H14ClN3O5Purity:99.13%Color and Shape:SolidMolecular weight:303.7Tyramine
CAS:<p>Tyramine, a natural compound in cheese, indirectly stimulates the sympathetic system and may prolong adrenergic effects.</p>Formula:C8H11NOPurity:99.04% - 99.92%Color and Shape:Crystals From Benzene Or Alcohol SolidMolecular weight:137.18p-Ethynylphenylalanine hydrochloride
CAS:<p>p-Ethynylphenylalanine hydrochloride (4-Ethynyl-L-phenylalanine HCL) is a novel, potent and specific inhibitor of TPH[1].</p>Formula:C11H12ClNO2Purity:99.03%Color and Shape:SolidMolecular weight:225.67Daidzein
CAS:<p>Daidzein (Isoflavone) is an isoflavone extract from soy, which is an inactive analog of the tyrosine kinase inhibitor genistein.</p>Formula:C15H10O4Purity:98.08%Color and Shape:SolidMolecular weight:254.24Tranexamic acid
CAS:<p>Tranexamic acid (Amstat) is an Antifibrinolytic Agent. The physiologic effect of tranexamic acid is by means of Decreased Fibrinolysis.</p>Formula:C8H15NO2Purity:99.64% - 99.79%Color and Shape:White Crystalline PowderMolecular weight:157.21Aspartame
CAS:<p>Aspartame (SC-18862), an artificial, non-carbohydrate sweetener, is aspartyl-phenylalanine-1-methyl ester.</p>Formula:C14H18N2O5Purity:98.92% - 99.44%Color and Shape:Colorless Needles From Water SucroseMolecular weight:294.30D-Glutamic acid
CAS:<p>D-Glutamic acid ((R)-Glutamic acid), the enantiomer of L-glutamic acid, is widely used in medicine and food.</p>Formula:C5H9NO4Purity:99.24% - 99.33%Color and Shape:Orthorhombic Plates From Dilute Alcohol White Crystals Or Crystalline PowderMolecular weight:147.13Ziprasidone hydrochloride monohydrate
CAS:<p>Ziprasidone hydrochloride monohydrate (CP 88059) is a united 5-HT (serotonin) and dopamine receptor antagonist which shows potent effects of the antipsychotic</p>Formula:C21H21ClN4OS·HCl·H2OPurity:98% - 99.83%Color and Shape:Off-White PowderMolecular weight:467.12Baclofen
CAS:<p>Baclofen (Lioresal), a chlorophenyl-butanoic acid derivative, treats spasms from spinal cord injury and MS by mimicking GABA at GABA-B receptors.</p>Formula:C10H12ClNO2Purity:98% - >99.99%Color and Shape:1992)Molecular weight:213.66DL-Carnitine
CAS:<p>DL-Carnitine: found in liver/muscle, used therapeutically for pancreatic/gastric secretions and hyperlipoproteinemia treatment.</p>Formula:C7H15NO3Purity:99.75%Color and Shape:SolidMolecular weight:161.2Dicoumarol
CAS:<p>Dicoumarol: an anticoagulant from moldy sweet-clover, depletes vitamin K, inhibits clotting enzymes.</p>Formula:C19H12O6Purity:99.75% - 99.9%Color and Shape:White Or Creamy White Crystalline Powder SolidMolecular weight:336.3IA-Alkyne
CAS:<p>IA-Alkyne: TRPC agonist, cysteine-reactivity probe, potential in respiratory infection study.</p>Formula:C8H12INOPurity:99.76%Color and Shape:SolidMolecular weight:265.09Cycloleucine
CAS:<p>Cycloleucine is an antagonist of NMDA receptor associated glycine receptor with a Ki of 600 μM.</p>Formula:C6H11NO2Purity:99.90%Color and Shape:SolidMolecular weight:129.16D-Carnitine hydrochloride
CAS:<p>D-Carnitine hydrochloride ((S)-Carnitine Hydrochloride), a constituent of striated muscle and liver, is used in the treatment of hyperlipoproteinemias.</p>Formula:C7H15NO3·HClPurity:99.77%Color and Shape:SolidMolecular weight:197.662-Aminoethanethiol
CAS:<p>2-Aminoethanethiol (Cysteamine) is a Cystine Depleting Agent. The mechanism of action of cysteamine is as a Cystine Disulfide Reduction.</p>Formula:C2H7NSPurity:98.9% - ≥95%Color and Shape:Crystals By Sublimation In Vacuo SolidMolecular weight:77.15Eflornithine
CAS:<p>Eflornithine blocks ornithine decarboxylase, treating African trypanosomiasis and female facial hair.</p>Formula:C6H12F2N2O2Purity:99.44% - 99.84%Color and Shape:SolidMolecular weight:182.17Soyasaponin Ac
CAS:<p>Soyasaponin Ac can decrease the drug resistance via EMT pathway and weaken the migration ability of ovarian cancer cells.</p>Formula:C67H104O32Purity:98%Color and Shape:SolidMolecular weight:1421.52Cysteamine Impurity 2
CAS:Formula:C4H9NOSColor and Shape:White To Off-White SolidMolecular weight:119.183-Hydroxylicochalcone A
CAS:<p>3-Hydroxylicochalcone A is a naturally occurring chalcone derivative. chalcone derivatives usually inhibit 11β-HSD</p>Formula:C21H22O5Color and Shape:SolidMolecular weight:354.4L-Tryptophan
CAS:<p>L-Tryptophan (Tryptophane), an essential amino acid, is necessary for normal growth in infants and for nitrogen balance in adults.</p>Formula:C11H12N2O2Purity:99.76% - 99.91%Color and Shape:White Solid CrystallineMolecular weight:204.23Formononetin-8-C-β-D-apiofuranosyl-(1->6)-O-β-D-glucopyranoside
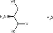
CAS:<p>Formononetin-8-C-beta-D-apiofuranosyl-(1->6)-O-beta-D-glucopyranoside is a natural product for research related to life sciences.</p>Formula:C27H30O13Purity:98%Color and Shape:SolidMolecular weight:562.52Cysteine monohydrate
CAS:<p>Cysteine monohydrate is a semi-essential proteinogenic amino acid.</p>Formula:C3H9NO3SColor and Shape:SolidMolecular weight:139.17Genistein 7-O-β-D-glucopyranoside-4'-O-[α-L-rhamnopyranosyl-(1→2)-β-D-glucopyranoside]
CAS:<p>Genistein 7-O-beta-D-glucopyranoside-4'-O-[alpha-L-rhamnopyranosyl-(1->2)-beta-D-glucopyranoside] is a natural product</p>Formula:C33H40O20Purity:98%Color and Shape:SolidMolecular weight:756.663Orobanchyl acetate
CAS:<p>Orobanchyl acetate is a germination stimulant for root parasitic plants.</p>Formula:C21H24O7Purity:98%Color and Shape:SolidMolecular weight:388.412-Amino-5-ureidopentanoic acid
CAS:<p>Citrulline, a non-protein amino acid in the liver, aids in the urea cycle and treats hyperammonemia with ornithine and arginine.</p>Formula:C6H13N3O3Purity:98% - 99.29%Color and Shape:White Crystalline PowderMolecular weight:175.19S-(2-Thiazolyl)-L-Cysteine
CAS:Formula:C6H8N2O2S2Color and Shape:White To Off-White SolidMolecular weight:204.26N1-Nitroso Tryptophan EP Impurity I (Mixture of Diastereomers)
CAS:Formula:C13H13N3O3Molecular weight:259.27N-Nitroso Sarcosine Sodium Salt (Mixture of Isomers)
CAS:Formula:C3H5N2O3·NaMolecular weight:117.08 22.99rac-Lacosamide-d3
CAS:Formula:C13H15D3N2O3Color and Shape:White To Off-White SolidMolecular weight:253.323-Methoxy Tyramine-d4 Sulfate
CAS:Formula:C9H9D4NO5SColor and Shape:White To Off-White SolidMolecular weight:251.29Alanyl Glutamine Impurity 30
CAS:Formula:C8H12N2O4Color and Shape:White To Off-White SolidMolecular weight:200.19L-Ornithine L-Aspartate
CAS:Formula:C5H12N2O2·C4H7NO4Color and Shape:White To Off-White SolidMolecular weight:132.16 133.10Lacosamide EP Impurity B (Lacosamide USP Related Compound B, rac-O-Acetyl Lacosamide)
CAS:Formula:C14H18N2O4Color and Shape:White To Off-White SolidMolecular weight:278.31S-Methyl-L-Cysteine S-Oxide
CAS:Formula:C4H9NO3SColor and Shape:Pale Yellow SolidMolecular weight:151.18Tryptophan EP Impurity J
CAS:Formula:C22H23N3O4Color and Shape:White To Off-White SolidMolecular weight:393.45Alanyl Glutamine Impurity 19
CAS:Formula:C9H17N3O4Color and Shape:White To Off-White SolidMolecular weight:231.25Alanyl Glutamine Impurity 21
CAS:Formula:C8H13ClN2O4Color and Shape:White To Off-White SolidMolecular weight:236.65L-Ornithine HCl
CAS:Formula:C5H12N2O2·HClColor and Shape:Off-White SolidMolecular weight:132.16 36.46Lacosamide EP Impurity K
CAS:Formula:C12H14N2O2Color and Shape:White To Off-White SolidMolecular weight:218.26(S)-N-Desacetyl Lacosamide HCl
CAS:Formula:C11H16N2O2·HClColor and Shape:White To Off-White SolidMolecular weight:208.26 36.461,2-Dimyristoyl-sn-Glycero-3-Phospho-rac-(1-Glycerol) Sodium Salt
CAS:Formula:C34H66O10P·NaMolecular weight:665.87 22.99Baclofen EP Impurity C (Mixture of Diastereomers)
CAS:Formula:C21H22Cl2N2O5Color and Shape:White To Off-White SolidMolecular weight:453.32Homoarginine Impurity 1 Trifluoroacetate
CAS:Formula:C11H24N4O2·C2HF3O2Molecular weight:244.34 114.02Mono-N-Acetyl-L-Cystine
CAS:Formula:C8H14N2O5S2Color and Shape:White To Off-White SolidMolecular weight:282.33rac-Carbidopa EP Impurity F HCl (rac-Carbidopa Ethyl Ester HCl)
CAS:Formula:C12H18N2O4·HClColor and Shape:Red SolidMolecular weight:254.29 36.46Methylaminolevulinate EP Impurity B-d2 HCl
CAS:Formula:C5H7D2NO3·HClColor and Shape:Off-White SolidMolecular weight:133.14 36.46Alanylglutamic Acid (H-L-Ala-L-Glu-OH)
CAS:Formula:C8H14N2O5Color and Shape:White To Off-White SolidMolecular weight:218.21Alanyl Glutamine Impurity 20
CAS:Formula:C8H15N3O4Color and Shape:White To Off-White SolidMolecular weight:217.23Cysteine Impurity 9 Trifluoroacetate
CAS:Formula:C3H9NS·C2HF3O2Color and Shape:Colorless OilMolecular weight:91.17 114.02DL-Lanthionine DiTrifluoroacetate
CAS:Formula:C6H12N2O4S·2C2HF3O2Color and Shape:White To Off-White SolidMolecular weight:208.23 2*114.02rac-Tryptophan EP Impurity K
CAS:Formula:C20H19N3O2Color and Shape:White To Off-White SolidMolecular weight:333.39Baclofen EP Impurity B
CAS:Formula:C11H12ClNO3Color and Shape:White To Off-White SolidMolecular weight:241.67Cocamidopropyl Betaine
CAS:Formula:C19H38N2O3Color and Shape:White To Off-White SolidMolecular weight:342.52DL-Cystine-d6
CAS:Formula:C6H6N2O4S2D6Color and Shape:White To Off-White SolidMolecular weight:246.33PS-5 Impurity 1 (N-(2-sulfanylethyl)acetamide)
CAS:Formula:C4H9NOSColor and Shape:Colorless LiquidMolecular weight:119.18






