
Carboidrati e Glicoconiugati
I carboidrati sono composti organici costituiti da carbonio, idrogeno e ossigeno, con una struttura di base formata da monosaccaridi. Questi possono unirsi per formare disaccaridi, oligosaccaridi o polisaccaridi, a seconda del numero di unità monomeriche. I carboidrati svolgono un ruolo fondamentale nell’immagazzinamento dell’energia, nella struttura cellulare e nella comunicazione cellulare. I loro derivati sono utilizzati nei prodotti farmaceutici, come dolcificanti ed eccipienti.
Presso CymitQuimica, offriamo un’ampia varietà di carboidrati e loro derivati per la ricerca e le applicazioni industriali.
Trovati 5012 prodotti di "Carboidrati e Glicoconiugati"
Ordinare per
Purezza (%)
0
100
|
0
|
50
|
90
|
95
|
100
Tetrabenzyl Voglibose
CAS:<p>Applications Tetrabenzyl-voglibose is a derivative of Voglibose which is an α-Glucosidase inhibitor used as an antidiabetic.<br>References Matsuo, T., et al.: Am. J. Clin. Nutr., 55, 314S (1992), Goke, B., et al.: Digestion, 56, 493 (1995), Shinozaki, K., et al.: Metabolism, 45, 731 (1996)<br></p>Formula:C38H45NO7Colore e forma:WhitePeso molecolare:627.77Biotin Diacid
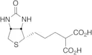
CAS:Prodotto controllato<p>Impurity Biotin EP Impurity B<br>Applications Biotin Diacid (Biotin EP Impurity B) is an impurity of Biotin (B389040).<br>References Trotter, J., et al.: Biochemistry, 5, 713 (1966), Suurkuusk, J., et al.: Eur. J.Biochem., 28, 438 (1972),<br></p>Formula:C11H16N2O5SColore e forma:NeatPeso molecolare:288.322-Amino-5-bromo-N-cyclohexyl-N-methylbenzylamine Dihydrochloride
CAS:Prodotto controllato<p>Impurity Bromhexine EP Impurity D<br>Applications 2-Amino-5-bromo-N-cyclohexyl-N-methylbenzylamine (Bromhexine EP Impurity D) is an impurity of Bromhexine hydrochloride (B678600). Bromhexine hydrochloride impurity D.<br>References Uboh, C.E., et al.: J. Pharmaceut. Biomed. Anal., 9, 33 (19991),<br></p>Formula:C14H21BrN2·2ClHColore e forma:Light YellowPeso molecolare:370.16Isomaltose
CAS:<p>Stability Very Hygroscopic<br>Applications One of the main product of transformation of maltose into prebiotic isomaltooligosaccharides by novel α-glucosidase from Xantophyllomyces dendrorhous.<br>References Tzortzis, G., et al.: Appl. Microbiol. Biotechnol., 63, 286 (2003), Chaen, H., et al.: J. Biosci. Bioeng., 92, 177 (2001), Ferrer, M., et al.: Biochem. J., 391, 269 (2005),<br></p>Formula:C12H22O11Colore e forma:WhitePeso molecolare:342.302,3-Pyridinedicarboxylic Acid
CAS:Prodotto controllato<p>Applications An inhibitor of glucose synthesis.<br>References Martirosyan, A., et al.: Biochem. Pharmacol., 68, 1729 (2004),<br></p>Formula:C7H5NO4Colore e forma:Off White SolidPeso molecolare:167.12(3aR,8aS,8bS)-Thieno[1',2':1,2]thieno[3,4-d]imidazol-5-ium, decahydro-2-oxo-1,3-bis(phenylmethyl) Bromide
CAS:<p>Applications Thiophanium is an impurity of Biotin (B389040) which is a growth factor present in minute amounts in every living cell.<br>References du Vigneaud, et al.: J. Biol. Chem., 146, 475 (1942), Traub, et al.: Nature, 178, 649 (1956), Siegel, H., et al.: Experienta, 37, 789 (1981), Vesely, D.L., Science, 216, 1329 (1982), Hugues, M., et al.: Biochemistry, 31, 12 (1992),<br></p>Formula:C22H25N2OS·BrColore e forma:NeatPeso molecolare:445.42trans-4-Aminocyclohexanol
CAS:<p>Applications trans-4-Aminocyclohexanol, used in the preparation of potential hypertensive agents and other biologically active compounds.<br> Not a dangerous good if item is equal to or less than 1g/ml and there is less than 100g/ml in the package<br>References Chan, K.L. et al.: As. J. Pharmacol. Sci., 1, 91 (1979);<br></p>Formula:C6H13NOColore e forma:NeatPeso molecolare:115.1741-Linoleoyl-rac-glycerol-d5
CAS:Prodotto controllato<p>Applications Labelled 1-Linoleyl glyceride, a free-living amoeba control agent; also a biomarker of metabolic responses to hepatotoxicants and carcinogens.<br>References Isidorov, V., et al.: Anal. Sci., 21, 1483 (2005); Isidorov, V., et al.: Food Chem., 115, 1056 (2009);<br></p>Formula:C21H33D5O4Colore e forma:NeatPeso molecolare:359.55trans-Doxercalciferol
CAS:Prodotto controllato<p>Applications A Vitamin D derivative.<br> Not a dangerous good if item is equal to or less than 1g/ml and there is less than 100g/ml in the package<br>References Koeffler, M.R., et al.: Blood, 74, 82 (1989),<br></p>Formula:C28H44O2Colore e forma:NeatPeso molecolare:412.652-Oleoyl Glycerol-d5
CAS:Prodotto controllato<p>Applications Labelled 2-Oleoylglycerol (O528020). A metabolite of 2-acylglycerol used as biomarker.<br>References Owen, M., et al.: Biochem. J., 323, 17 (1997), Waterman, I., et al.: J. Lipid Res., 43, 1555 (2002), Chon, S., et al.: J. Biol. Chem., 282, 33346 (2007),<br></p>Formula:C21H35D5O4Colore e forma:NeatPeso molecolare:361.57D-Mannose
CAS:Prodotto controllato<p>Applications D-Mannose is a carbohydrate that is important in the glycosylation of molecules in a variety of cellular processes. It is involved in N and O glycosylation of bovine why protein products, used in infant formulas. It is also responsible for the O-glycosylation of the T helper cell-derived cytokine interlukin-17A, an important cell-signaling molecule.<br>References van Leeuwen, S. et al.: J. Agri. Food Chem., 60, 12553 (2012); Geoghegan, K. et al.: Prot. Express. Purif., 87, 27 (2013);<br></p>Formula:C6H12O6Colore e forma:NeatPeso molecolare:180.16Sunset Yellow FCF
CAS:<p>Stability Light Sensitive<br>Applications Provisionally listed for use in food, drugs and cosmetics. Sunset Yellow is useful in fermented foods which must be heat treated. It may be found in orange sodas, orange jelly, marzipan, Swiss rolls, apricot jam, citrus marmalade, lemon curd, sweets, hot chocolate mix and packet soups, trifle mix, breadcrumbs, snack chips, shelf fresh noodles, cheese sauce mixes. Sunset Yellow is a sulfonated version of Sudan I, a possible carcinogen. Sunset Yellow itself may be responsible for causing an allergic reaction in people with an aspirin intolerance, resulting in various symptoms, including gastric upset, diarrhea, vomiting, nettle rash (urticaria), swelling of the skin (angioedema) and migraines. Dyes and metabolites, Environmental Testing<br>References Radomski, J.L., et al.: J. Pharmacol. Exp. Ther., 136, 259 (1962), Gaunt, I.F., et al.: Food Cosmet. Toxicol., 5, 747 (1967),<br></p>Formula:C16H10N2O7S2·2NaColore e forma:NeatPeso molecolare:452.37D-Gluconic Acid (50% in Water)
CAS:<p>Applications D-Gluconic Acid is used as a reagent in the synthesis of Pangamic Acid (P179500, Ca Salt); a mineral supplement that is sometimes referred to as Vitamin B15 although it is not a true vitamin.<br>References Mansurova, I.D. et al.: Eks. Patol. Pech., 1, 58 (1973); Apanasenko, A.A.: Cor Vasa, 15, 20 (1973); Alkhanova, N.A.: Nauch. Tru. Kaz. Gosud. Med. Inst., 41, 83 (1974)<br></p>Formula:C6H12O7Colore e forma:Single SolutionPeso molecolare:196.15531-D-Ribofuranosyl-3-guanylurea (α/β-Mixture)
CAS:Prodotto controllato<p>Stability Very Hygrocsopic<br>Applications A labile hydrolysis product of the antitumor nuceloside 5-Azacytidine (A796000).<br>References Beisler, J. A. et al.: J. Med. Chem., 21, 204 (1978); Chan, K.K. et al.: J. Pharmac. Sci., 68, 807 (1979);<br></p>Formula:C7H14N4O5Colore e forma:NeatPeso molecolare:234.21Fructosazine
CAS:Prodotto controllato<p>Applications Fructosazine is used in the treatment of osteoarthritis and rheumatoid arthritis.<br>References Yamaguchi, T., et al.: Biol. Pharm. Bull., 21, 205 (1998), Fenton, J., et al.: Osteoarthritis Cartilage, 8, 444 (2000), Shimamura, T., et al.: J. Agric. Food. Chem., 48, 1204 (2000)<br></p>Formula:C12H20N2O8Colore e forma:Beige To BrownPeso molecolare:320.30Lactulose, >95%
CAS:Prodotto controllato<p>Applications Lactulose is a synthetic, non-digestible sugar used in the treatment of chronic constipation; laxative.<br>References Voskuijl, W. et al.: Gut, 53, 1590 (2004);<br></p>Formula:C12H22O11Purezza:>95%Colore e forma:NeatPeso molecolare:342.30N-5-Carboxypentyl-1-deoxynojirimycin
CAS:Prodotto controllato<p>Applications Ligand used for the preparation of an affinity resin highly specific for glucosidase I purification. Glucosidase I is involved in the post-translational processing of N-linked glycoproteins.<br>References HettKamp, H., et al.: Eur. J. Biochem., 142, 85 (1984); Shailubhai, K., et al.: Biochem. J., 247, 555 (1987); Bause, E., et al.: FEBS, 278, 167 (1991)<br></p>Formula:C12H23NO6Colore e forma:Off White CrystallinePeso molecolare:277.31myo-Inositol Trispyrophosphate Hexasodium Salt
CAS:Prodotto controllato<p>Stability Hygroscopic<br>Applications A novel membrane-permeant allosteric effector of hemoglobin (Hb), enhances the regulated oxygen release capacity of red blood cells, thus counteracting the effects of hypoxia in diseases such as cancer and cardiovascular ailments.<br>References Duarte,C.D. et al.: Chembiochem., 11, 2543 (2010); Biolo, A. et al.: Proc. Nat. Acad. Sci. U.S.A., 106, 1926 (2009);<br></p>Formula:C6H6O21P6NaColore e forma:NeatPeso molecolare:737.88Neotame
CAS:<p>Applications An alkylated dipeptide reported to be 6000 to 10000 times sweeter than sucrose; structurally related to Aspartame. A non-nutritive sweetener.<br>References Ranney, R., et al.: J. Toxicol. Environ. Health, 2, 441 (1976), Padden, B.E., et al.: Anal. Chem., 71, 3325 (1999), Arai, H., et al.: Metabolism, 56, 115 (2007),<br></p>Formula:C20H30N2O5Colore e forma:NeatPeso molecolare:378.462-Methylcitric Acid
CAS:<p>Applications 2-Methylcitric Acid is a metabolite of Citric Acid (C521000). It is formed from the condensation of propionoyl-CoA and oxaloacetic acid catalyzed by a citrate synthase enzyme.<br>References Allen, R. H., et al.: Metabolism, 42, 978 (1993)<br></p>Formula:C7H10O7Colore e forma:NeatPeso molecolare:206.151'-Nitrosobiotin
CAS:<p>Applications Nitrosobiotin Impurity is a useful research chemical.<br></p>Formula:C10H15N3O4SColore e forma:NeatPeso molecolare:273.31Sucrose Heptasulfate, Potassium Salt, Technical Grade
CAS:<p>Applications Used as a reference standard for the drug Sucralfate.<br></p>Formula:C12H15O32S7·7KColore e forma:Off-WhitePeso molecolare:1169.37Oxonic Acid Potassium Salt
CAS:Prodotto controllato<p>Applications Antitumor effect potentiator and antitumor agent.<br>References Chelbova, et al.: Biochem. Pharmacol., 19, 1785 (1970), Collins, J., et al.: Clin. Pharmacol. Ther., 28, 235 (1980), Hoff, P., et al.: Anticancer Drugs, 9, 479 (1998), Backus, H., et al.: Oncol. Res., 12, 231(2000), Peters, G., et al.: J. Clin. Oncol., 19, 4267 (2001).<br></p>Formula:C4H2N3O4·KColore e forma:NeatPeso molecolare:195.17Lactitol Monohydrate
CAS:Prodotto controllato<p>Applications Lactitol Monohydrate is the hydrated form of Lactitol(L113550). Lactitol is listed as an excipient in some prescription drugs, such as Adderall. Lactitol is a sugar alcohol used as a replacement bulk sweetener for low calorie foods. It is also used medically as a laxative.<br>References Bolhuis, G., et al.: Drug Dev. Ind. Pharm., 35, 671 (2009); Toda, Y.: New Food Ind., 33, 21 (1991); Egger, B., et al.: Eur. J. Clin. Pharmacol., 37, 205 (1989);<br></p>Formula:C12H24O11·H2OColore e forma:NeatPeso molecolare:362.33rac FTY720 Phosphate
CAS:Prodotto controllato<p>Applications rac FTY720 is a sphingosine 1-phosphate receptor modular, ameliorates experimental autoimmune encephalomyelitis by inhibition of T cell infiltration.<br>References Igarashi, J., et al.: J. Biol. Chem., 275, 32363 (2000), Bandhuvula, P., et al.: J. Biol. Chem., 280, 33697 (2005),<br></p>Formula:C19H34NO5PColore e forma:NeatPeso molecolare:387.45rac 1-Oleoyl Glycerol-d5
CAS:Prodotto controllato<p>Applications Monoglycerides fatty acid esters are useful for improvement of texture and flavor of beverages. 93% 1-Oleoyl, 7% 2-oleoyl.<br>References Lee, T.-H., et al.: J. Nat. Prod., 72, 1960 (2009),<br></p>Formula:C21D5H35O4Colore e forma:NeatPeso molecolare:361.571,3,4,6-Tetra-O-acetyl-2-O-trifluoromethanesulfonyl-β-D-mannopyranose
CAS:Prodotto controllato<p>Applications A radiolabelled pharmaceutical preparation for diagnostic aims used in positron emission tomography.<br>References Chirakal, R., et al.: Applied Radiation Isotopes, 46, 149 (1995), Kuge, Y., et al.: Nuclear Med. Biol., 29, 275 ( 2002),<br></p>Formula:C15H19F3O12SColore e forma:NeatPeso molecolare:480.36Xylitol
CAS:Prodotto controllato<p>Applications Xylitol, is a lower-calorie alternative to table sugar. Studies have shown xylitol chewing gum can help prevent acute otitis media. Xylitol is categorized by the U.S. Food and Drug Administration as a food additive.<br>References Code of Federal Regulations Title 21, US., FDA (2012); Azarparzhooh, A., et al.,: Cochrane data. Sys. Revi. (online) (11), (2011);<br></p>Formula:C5H12O5Colore e forma:NeatPeso molecolare:152.15Xylotetrose
CAS:<p>Applications Xylotetrose is a xylose oligomer that is of interest to many fields of study and is an intermediate reaction product of the hydrolysis of hemicelluloses.<br>References Bunnell, K., et al.: J. Liq. Chromatogr. R. T., 38, 801 (2015)<br></p>Formula:C20H34O17Colore e forma:NeatPeso molecolare:546.47D-(-)-Tartaric Acid
CAS:<p>Applications D-(-)-Tartaric Acid the synthetic enantiomer of L-(+)-Tartaric Acid (T007630), used in the preparation of synthetic analgesics.<br>References Van Bever, W. et al.: J. Med. Chem., 17, 1047 (1974);<br></p>Formula:C4H6O6Colore e forma:NeatPeso molecolare:150.093-[2-(Ethylhexyl)oxyl]-1,2-propandiol
CAS:<p>Applications 3-[2-(Ethylhexyl)oxyl]-1,2-propandiol is the novel raw material for deodorants application and is widely used as a cosmetic emollient. 3-[2-(Ethylhexyl)oxyl]-1,2-propandiol reliably inhibits the odor-causing bacteria, yeast and fungi on the skin.<br>References Nagao, S.: Frag. J., 34, 39 (2006); Lawan, K. et al.: J. Health Sci., 23, 1 (2009); Leschke, M.: SOFW J., 136, 10 (2010);<br></p>Formula:C11H24O3Colore e forma:ColourlessPeso molecolare:204.31Rubusoside
CAS:Prodotto controllatoFormula:C32H50O13Colore e forma:White To Off-WhitePeso molecolare:642.73S-(3-Hydroxypropyl)-L-cysteine
CAS:<p>Applications An antiinflammatory expectorant used in the treatment of MUC5 mucin obstructive pulmonary disease.<br>References Takeyama, K., et al.: J. Immunol.,164, 1546 (2000), Komatsu, H., et al.: Pulm. Pharmacol. Ther., 18, 121 (2005), Rhee, C., et al.: Eur. Respir. J., 32, 1195 (2008),<br></p>Formula:C6H13NO3SColore e forma:NeatPeso molecolare:179.24Xylobiose
CAS:Prodotto controllato<p>Applications Xylobiose is a disaccharide that can reduce the blood sugar and blood fat and inhibit the fat accumulation of diet-induced obese rats.<br>References Chen, H., et al.: Shipin Kexue, 35, 255 (2014)<br></p>Formula:C10H18O9Colore e forma:NeatPeso molecolare:282.24Maltopentose
CAS:Prodotto controllato<p>Stability Hygroscopic<br>Applications Maltopentaose is a maltooligosaccharide that is used for research and diagnostic purposes. They can also be used in nutrients and healthcare.<br>References Ezure, Y. et al.: Biosci. Biotech. Biochem., 61, 1931 (1997); Hatonen, K. et al.: Am. J. Clin. Nutr., 96, 44 (2012);<br></p>Formula:C30H52O26Colore e forma:NeatPeso molecolare:828.72Propyl β-D-Glucuronide
CAS:Prodotto controllato<p>Applications Propyl β-D-Glucuronide is a glucuronide of a short-chained aliphatic alcohol formed via glucuronidation in human liver microsomes in vitro.<br>References Jurowich, S. et al.: Alcohol, 32, 187 (2004);<br></p>Formula:C9H16O7Colore e forma:Light Beige SolidPeso molecolare:236.22Lactose-3’-sulfate
CAS:Prodotto controllato<p>Stability Very Hygroscopic<br>Applications Lactose-3’-sulfate (cas# 159358-51-7) is a compound useful in organic synthesis.<br></p>Formula:C12H22O14SColore e forma:Light Brown To BrownPeso molecolare:422.36Linarine
CAS:Prodotto controllato<p>Impurity Diosmin EP Impurity E<br>Stability Hygroscopic<br>Applications Linarine (Diosmin EP Impurity E) is a naturally occurring flavone glycoside that was identified to possess potential sedative and anticonvulsant properties.<br>References Nugroho, A., et al.: Arch. Pharma. Res., 36, 51 (2013); Jung, H.A., et al.: Arch. Pharma. Res., 35, 1021 (2012); Shen, H.J., et al.: J. Med. Plants. Res., 5, 6555 (2011);<br></p>Formula:C28H32O14Colore e forma:White To Light BeigePeso molecolare:592.5452-Acetamido-4-O-(2-acetamido-2-deoxy-β-D-glucopyranosyl)-1,6-di-O-N-acetyl-α-D-muramic Acid
CAS:Prodotto controllato<p>Applications 2-Acetamido-4-O-(2-acetamido-2-deoxy-β-D-glucopyranosyl)-1,6-di-O-N-acetyl-α-D-muramic Acid (cas# 475502-13-7) is a compound useful in organic synthesis.<br></p>Formula:C29H42N2O18Colore e forma:NeatPeso molecolare:706.65Galacto-PUGNAc (>90%)
CAS:Prodotto controllato<p>Stability Moisture and Temperature Sensitive<br>Applications Galacto-PUGNAc is a highly selective inhibitor for β-hexosaminidases HEXA and HEXB is cell-permeable. Galacto-PUGNAc is able to modulate the activity of HEXA and HEXB in tissue culture, increasing ganglioside GM2 levels in neuroblastoma cells<br>References Stubbs, K.A. et al.: Angew. Chem. Int. Ed., 48, 1300 (2009);<br></p>Formula:C15H19N3O7Purezza:>90%Colore e forma:NeatPeso molecolare:353.334-Nitrophenyl 3-O-(α-D-Mannopyranosyl)-α-D-mannopyranoside
CAS:Prodotto controllato<p>Stability Very Hygroscopic<br>Applications 4-Nitrophenyl 3-O-(α-D-Mannopyranosyl)-α-D-mannopyranoside (cas# 93979-06-7) is a compound useful in organic synthesis.<br></p>Formula:C18H25NO13Colore e forma:NeatPeso molecolare:463.39Tetragalacturonic Acid
CAS:Prodotto controllato<p>Applications Tetragalacturonic Acid, is the product of polygalacturonic acid degradation. The mixture of Oligogalacturonic Acids has shown to have shoot growth in cockscomb (Celosia argentea L.) seedlings.<br>References Suzuki, T., et al.: J. Plant Growth Reg., 21, 209 (2003);<br></p>Formula:C24H34O25Colore e forma:NeatPeso molecolare:722.51p-Nitrophenyl 2-Azido-2-deoxy-α-D-galactopyranoside
CAS:Prodotto controllato<p>Applications p-Nitrophenyl 2-Azido-2-deoxy-α-D-galactopyranoside (cas# 210418-04-5) is a compound useful in organic synthesis.<br></p>Formula:C12H14N4O7Colore e forma:NeatPeso molecolare:326.26D-Psicose
CAS:Prodotto controllato<p>Applications D-Psicose is a C3 epimer of L-Fructose, which maintains the ability to reduce fat accumulation when added to a diet through inhibition of intestinal α-glucosidase.<br>References Matsuo, T. et al.: J. Clin. Biochem. Nutri., 45, 202 (2009); Matsuo, T. et al.: J. Clin. Biochem. Nutri., 30, 55 (2001);<br></p>Formula:C6H12O6Colore e forma:Off-WhitePeso molecolare:180.16Sucrose Hexasulfate, Potassium Salt, Technical Grade
CAS:Prodotto controllato<p>Applications Used as a reference standard for the drug Sucralfate.<br></p>Formula:C12H16O29S6·6KColore e forma:Off White SolidPeso molecolare:1051.22Erythritol
CAS:Prodotto controllato<p>Applications Erythritol a sugar alcohol used as a food additive.<br>References Leisso, R., et al.: J. Agr. Food. Chem., 61, 1373 (2013); Hillmann, H., et al.: J. Agr. Food. Chem., 60, 9974 (2012);<br></p>Formula:C4H10O4Colore e forma:NeatPeso molecolare:122.12Aspartame
CAS:Prodotto controllato<p>Stability Decomposes in solution<br>Applications A dipeptide ester about 160 times sweeter than sucrose in aqueous solution. A non-nutritive sweetener.<br>References Cloninger, B., et al.: Science, 170, 81 (1970), Oppermann, et al.: J. Nutr., 103, 1454 (1973),<br></p>Formula:C14H18N2O5Colore e forma:NeatPeso molecolare:294.30Miglitol
CAS:Prodotto controllato<p>Applications A potent α-glucosidase inhibitor. A new antidiabetic drug.<br>References Lembcke, B., et al.: Digestion, 31, 120 (1985), Yoshikuni, Y., et al.: J. Pharmacobio-Dyn., 11, 356 (1988),<br></p>Formula:C8H17NO5Colore e forma:WhitePeso molecolare:207.22Isosorbide
CAS:<p>Applications Reagent used to prepare detergents, cleansers, cosmetics, agrochemicals and vasodilators.<br>References Hastwell, P., et al.: Mutagen., 24, 455 (2009), Guillarme, S., et al.: Bioorg. Chem., 38, 43 (2010), Dillon, G., et al.: Bioorg. Med. Chem., 18, 1045 (2010),<br></p>Formula:C6H10O4Colore e forma:NeatPeso molecolare:146.14Fingolimod Palmitate Amide
CAS:Prodotto controllato<p>Applications Fingolimod Palmitate Amide is an impurity of Fingolimod (F805000, HCl salt), a novel immune modulator that prolongs allograft transplant survival in numerous models by inhibiting lymphocyte emigration from lymphoid organs.<br>References Brinkmann, V., et al.: Transplantation, 72, 764 (2001), Brinkmann, et al.: J. Biol. Chem., 277, 24, 21453 (2002), Mtaloubian, M., et al.: Nature, 427, 355 (2004),<br></p>Formula:C35H63NO3Colore e forma:NeatPeso molecolare:545.88Citric Acid
CAS:<p>Applications Citric acid is a weak organic acid that is known as a commodity chemical, as more than a million tonnes are produced every year by mycological fermentation on an industrial scale using crude sugar solutions, such as molasses and strains of Aspergillus niger. Citric acid is widely distributed in plants and in animal tissues and fluids and exist in greater than grace amounts in variety of fruits and vegetables, most notably in citrus fruits such as lemon and limes. Citric acid is mainly used as an acidifier, flavoring agent and chelating agent. Citric acid is also a metabolite of Dimethyl Fumarate (D464965), a compound used as a treatment for the relapsing forms of multiple sclerosis and psoriasis.<br>References Dawson, R.M., et al.: Data for Biochem. Rsch., (1959); Gruber, C. M., et al.: J. Pharmacol. Exp. Ther., 94, 65 (1948); Lofty, W.A., et al.: Bioresource. Tech., 98, 3470 (2007); Schimrigk, S., et al.: Eur. J. Neurol., 13, 604 (2006)<br></p>Formula:C6H8O7Colore e forma:NeatPeso molecolare:192.12Steviol glycosides
CAS:<p>Applications Stevioside is a glycoside from the stevia plant. Stevioside is a natural sweetening agent with sweetness about 250 times that of sugar with negligible effect on blood glucose. Stevioside, much like other steviol glycoside is known for its application in treatment of many diseases like diabetes and high blood pressure. It is also used as a food additive.<br>References Mishra, P. et al.: Glob. J. Biotechnol. Biochem., 5, 62 (2010); Gregersen, S. et al.: Metab. Clin. Exp., 53, 73 (2004); Chan, P. et al.: Life Sci., 63, 1679 (1998); Heerranz-Lopez, M. et al.: Agro Food Ind. Hi-Tech, 21, 38 (2010);<br></p>Formula:C38H60O18Colore e forma:WhitePeso molecolare:804.876-O-β-D-Galactopyranosyl-D-galactose
CAS:<p>Applications 6-O-β-D-Galactopyranosyl-D-galactose can be as a substrate of β-galactosidase in research studies.<br>References Kotake, T., et al.: Plant Physio., 138(3), 1563-1576 (2005)<br></p>Formula:C12H22O11Colore e forma:NeatPeso molecolare:342.305-Oxothiomorpholine-3-carboxylic Acid
CAS:<p>Applications 5-Oxothiomorpholine-3-carboxylic Acid is an impurity of Carbocistene (C178760), a mucolytic agent used in the treatment of respiratory disorders ranging from the influenza virus infection to chronic obstructive pulmonary disease (COPD).<br>References Stevenson, G.B. et al.: Eur. Resp. J., 27, 865 (2006); Suer, E. et al.: J. Infect. Chemother., 14, 333 (2008); Yamaya, M. et al.: Am. J. Physiol., 299, L160 (2010); Fanigliulo, A. et al.: J. Pharm. Biomed. Anal., 115, 39 (2015);<br></p>Formula:C5H7NO3SColore e forma:White To Light BrownPeso molecolare:161.18Fingolimod-d4 Hydrochloride
CAS:Prodotto controllato<p>Applications A labelled derivative of ISP-1 (myriocin), a fungal metabolite of the Chinese herb Iscaria sinclarii as well as a structural analogue of Sphingosine. It is a novel immune modulator that prolongs allograft transplant survival in numberour models by inhibiting lymphocyte emigration from lymphoid organs. Reported to be phosphorylated by sphingosine kinase to FTY720-P, which has been shown to potently stimulate GTPgS binding activity in S1P-transfected CHO cells (EC50 = 210 pM, 4.9 nM, 4.3 nM, and 1 nM for S1P1, S1P3, S1P4 and S1P5, respectively).<br>References Brinkmann, V., et al.: Transplantation, 72, 764 (2001), Brinkmann, et al.: J. Biol. Chem., 277, 24, 21453 (2002), Mtaloubian, M., et al.: Nature, 427, 355 (2004),<br></p>Formula:C19H30D4ClNO2Colore e forma:NeatPeso molecolare:347.96D-Galacturonic Acid Monohydrate
CAS:<p>Applications Used in the synthesis of N-(D-galacturonoyl) amino acids and dipeptides.<br>References Klaus, U., et al.: Environ. Sci. Technol., 34, 3514 (2000),<br></p>Formula:C6H10O7·H2OColore e forma:NeatPeso molecolare:212.15D-[13C5]Xylose
CAS:<p>Applications D-[13C5]Xylose is a labeled analog of D-Xylose, which is used in diagnostic malabsorption tests as well as in the production of Furfural.<br>References Ehrenpreis E.D. et al.: J. Acquir. Immune. Defic. Syndr., 5, 1047 (1992); Sérgio L. et al.: Cat. Comm., 9, 2144 (2008);<br></p>Formula:C5H10O5Colore e forma:White SolidPeso molecolare:155.09D-Salicin
CAS:<p>Applications Salicin is an anti-inflammatory agent produced by the bark of a willow tree. Analgesic.<br>References Schmid, B. et al.: Eur J Pharmacol., 57, 387 (2001);<br></p>Formula:C13H18O7Colore e forma:WhitePeso molecolare:286.28Fingolimod
CAS:Prodotto controllato<p>Applications Fingolimod is a novel immune modulator that prolongs allograft transplant survival in numerous models by inhibiting lymphocyte emigration from lymphoid organs.<br>References Brinkmann, V., et al.: Transplantation, 72, 764 (2001), Brinkmann, et al.: J. Biol. Chem., 277, 24, 21453 (2002), Mtaloubian, M., et al.: Nature, 427, 355 (2004),<br></p>Formula:C19H33NO2Colore e forma:NeatPeso molecolare:307.47Shikimic Acid
CAS:<p>Applications Naturally occurring (-)-form is a major biosynthetic precursor of phenylalanine, tyrosine, and tryptophan and hence of the majority of plant alkaloids. It is also involved in the biosynthesis of lignin, flavonpids and other important aromatic compounds.<br>References Evans, I.A., et al.: Nature, 250, 348 (1974), Harborne, J.B., et al.: Biosynthesis, 6, 40 (1980),<br></p>Formula:C7H10O5Colore e forma:White To Off-WhitePeso molecolare:174.15rac Biotin-d4
CAS:Prodotto controllato<p>Applications Growth factor present in minute amounts in every living cell. Plays an indispensable role in numerous naturally occurring carboxylation reactions. Occurs mainly bound to proteins or polypeptides. The richest sources are liver, kidney, pancreas, yeast, and milk. The biotin content of cancerous tumors is higher than that of normal tissue.<br>References du Vigneaud, et al.: J. Biol. Chem., 146, 475 (1942), Traub, et al.: Nature, 178, 649 (1956), Siegel, H., et al.: Experienta, 37, 789 (1981), Vesely, D.L., Science, 216, 1329 (1982), Hugues, M., et al.: Biochemistry, 31, 12 (1992),<br></p>Formula:C10D4H12N2O3SColore e forma:NeatPeso molecolare:248.34Lauramine Oxide
CAS:Prodotto controllato<p>Applications Lauramine Oxide, is an frequently-used amine oxide surfactant. It is strongly hydrophilic , and it forms normal micelles and normal liquid crystalline phases.<br> Not a dangerous good if item is equal to or less than 1g/ml and there is less than 100g/ml in the package<br>References Kocherbitov, v., et al.: J. Molec. Struct.: Theochem., 808, 111 (2007); Kocherbitov, v., et al.: J. Phys. Chem. B., 110 (27), 13649 (2006);<br></p>Formula:C14H31NOColore e forma:NeatPeso molecolare:229.40Sucrose Octasulfate, Ammonium Salt
CAS:Prodotto controllatoFormula:C12H14O35S8·8H4NColore e forma:NeatPeso molecolare:1119.05Carbocisteine
CAS:Prodotto controllato<p>Applications Carbocisteine is a mucolytic agent used in the treatment of respiratory disorders ranging from the influenza virus infection to chronic obstructive pulmonary disease (COPD).<br>References Stevenson, G.B. et al.: Eur. Resp. J., 27, 865 (2006); Suer, E. et al.: J. Infect. Chemother., 14, 333 (2008); Yamaya, M. et al.: Am. J. Physiol., 299, L160 (2010);<br></p>Formula:C5H9NO4SColore e forma:White To Off-WhitePeso molecolare:179.19D-Biotin Dimer Acid
CAS:<p>Impurity Biotin EP Impurity A<br>Applications D-Biotin Dimer Acid (Biotin EP Impurity A) is an impurity of D-Biotin that can be used in the synthesis of D-Biotin.<br>References Hanka, L.J., Antimicrob. Agents Chemother., 1, 135 (1972), Corey, E.J., et al.: Tetrahedon Lett., 29, 57 (1988),<br></p>Formula:C18H28N4O4S2Colore e forma:NeatPeso molecolare:428.569N-(1-Hydroxy-2-(hydroxymethyl)-4-(4-octylphenyl)butan-2-yl)acetamide
CAS:Formula:C21H35NO3Colore e forma:NeatPeso molecolare:349.51N-Butyldeoxynojirimycin Hydrochloride-d9
CAS:Prodotto controllato<p>Applications N-Butyldeoxynojirimycin Hydrochloride-d9 is labelled N-Butyldeoxynojirimycin Hydrochloride (B691000) which is an inhibitor of a-glucosidase 1 as well as being an inhibitor of HIV cytopathicity.<br>References Hettkamp, H., et al.: Eur. J. Biochem., 142, 85 (1984), Szumilo, T., et al.: Arch. Biochem. Biophys., 247, 261 (1986), Fleet, G.W.J., et al.: FEBS Letters, 237, Number 1,2, 128 (1988), Kolter, T., et al.: Angew. Chem. Int. Ed. Engl., 36, 1955 (1997),<br></p>Formula:C10H13D9ClNO4Colore e forma:NeatPeso molecolare:264.79cis-Ambroxol Hydrochloride
CAS:<p>Stability Hygroscopic<br>Applications cis-Ambroxol Hydrochloride is a cis isomer of Ambroxol Hydrochloride (A575900 ), a metabolite of Bromohexine. Ambroxol Hydrochloride is a bronchosecretolytic drug.<br>References Jauch, R., et al.: Arzneim-Forsch., 13, 474 (1963)<br></p>Formula:C13H18Br2N2O·x(HCl)Colore e forma:NeatPeso molecolare:378.10 + x(36.46)Citric Acid 1,2-Diethyl Ester
CAS:Prodotto controllato<p>Applications Citric Acid 1,2-Diethyl Ester is an ethyl citrate found in lemon juice.<br>References Neurath, G. et al.: Zeitsch. Lebens.-Untersuch. Forsch., 136, 284 (1968);<br></p>Formula:C10H16O7Colore e forma:Off-WhitePeso molecolare:248.23D-Glucono-1,4-lactone (>85%)
CAS:Prodotto controllato<p>Applications D-Glucono-1,4-lactone was a metabolite studied in mice tissue with induced chronic stress.<br>References Hamiliton, P. J., et al.: Sci. Rep., 10, 18134 (2020)<br></p>Formula:C6H10O6Purezza:>85%Colore e forma:NeatPeso molecolare:178.14N-Chloroacetyl DL-Homocysteine Thiolactone
CAS:<p>Impurity Erdosteine Impurity RV 142<br>Applications An intermediate in the synthesis of Erdosteine (E596050).Erdosteine is a mucolytic agent used for the treatment of chronic obstructive bronchitis.<br>References Gobetti, M., et al.: Farmaco, Edizione Scientifica, 41, 69 (1986),<br></p>Formula:C6H8ClNO2SColore e forma:NeatPeso molecolare:193.65D-Maltotriose
CAS:Prodotto controllato<p>Applications D-Maltotriose is a trisaccharide resulting from the digestion of Amalose by α-Amalase.<br>References Carvalho, G., et al.: App. Biochem. Biotechnol., 155, 356 (2009), Huuskonen, A., et al.: App. Environ. Microbiol., 76, 1563 (2010), Chang, S., et al.: J. Agric. Food Chem., 58, 2908 (2010),<br></p>Formula:C18H32O16Colore e forma:Off-WhitePeso molecolare:504.443-(2-Methoxyphenoxy) Lactic Acid
CAS:Prodotto controllato<p>Applications 3-(2-Methoxyphenoxy) Lactic Acid is a metabolite of the Guaifenesin (G810500), a centrally acting muscle relaxant with expectorant properties.<br>References D.G. Workmann et. al. Curr. Ther. Res. 41 1751 (1980).<br></p>Formula:C10H12O5Colore e forma:NeatPeso molecolare:212.2Plerixafor
CAS:<p>Stability Hygroscopic<br>Applications Plerixafor is a hematopoietic stem cell (HSC) mobilizer that inhibits the CXCR4 chemokine receptor and blocks binding of its ligand, stromal cell-derived factor-1-α (SDF-1-α). This agent was approved on Dec. 15, 2008, as treatment in combination with granulocyte-colony stimulating factor (G-CSF) to mobilize HSCs to the peripheral blood for collection and subsequent autologous transplantation in patients with non-Hodgkin's lymphoma (NHL) and multiple myeloma (MM). Selective CXCR4 antagonist.<br>References Xie, T., et al.: Science, 290, 328 (2000), Leone, D., et al.: J. Pharmacol. Exp. Ther., 305, 1150 (2003), Chigaev, A., et al.: J. Immunol. 178, 6828 (2007), Kiel, M., et al.: Cell Stem Cell, 1, 204 (2007),<br></p>Formula:C28H54N8Colore e forma:Off White PowderPeso molecolare:502.78Isomalt
CAS:<p>Stability Hygroscopic<br>Applications Isomalt is a sugar alcohol and artificial sweetener.<br>References Martinez-Cervera, S. et al.: Food Hydro., 35, 1 (2014); Ilic, I. et al.: Int. J. Pharm., 446, 6 (2013);<br></p>Formula:C12H24O11Colore e forma:White To Off-WhitePeso molecolare:344.31D-Tagatose
CAS:<p>Applications A monosaccharide (hexose) that can be used as a low-calorie sweetener, as an intermediate for synthesis of other optically active compounds, and as an additive in detergent, cosmetic, and pharmaceutical formulation.<br>References Oh, D. et al.: Appl. Microbiol. Biotech., 76, 76, 1 (2007); Lu, Y. et al.: Int. J. Cosm. Sci., 24, 225 (2002); Donner, T.W. et al.: Diab. Obes. Metab., 1, 285 (1999);<br></p>Formula:C6H12O6Colore e forma:WhitePeso molecolare:180.162-(2-Methoxyphenoxy)-1,3-propanediol
CAS:<p>Impurity Guaifenesin EP Impurity B<br>Applications 2-(2-Methoxyphenoxy)-1,3-propanediol is a impurity of Guaifenesin (G810502. Guaifenesin Impurity D<br>References Schieffer, G.W., et al.: J. Pharma. Sci., 72, 1856 (1984);<br></p>Formula:C10H14O4Colore e forma:WhitePeso molecolare:198.22D-Lactose Monohydrate
CAS:<p>Applications D-Lactose Monohydrate is an excipient used in dry powder inhaler of aspirin.<br>References Bais, N., et al.: Int. J. Pharm. Life Sci., 7, 5047-5050 (2016)<br></p>Formula:C12H22O11·H2OColore e forma:White To Off-WhitePeso molecolare:360.31N-Acetyl-D-glucosamine-d3
CAS:Prodotto controllato<p>Applications A labelled pharmaceutical and cosmetic sugar.<br>References Rossi, V., et al.: J, Biol. Chem., 273, 1232 (1998), Fyfe, J., et al.: Blood, 103, 1573 (2004), Latge, J., et al.: Mol. Microbiol., 66, 279 (2007), Reese, T., et al.: Nature, 447, 92 (2007),<br></p>Formula:C8H12D3NO6Colore e forma:BeigePeso molecolare:224.231-Kestose
CAS:<p>Applications 1-Kestose is a fructooligosaccharide with prebiotic properties which displays antihyperglycemic activity suggesting that it may be used in treating diabetes.<br>References Bharti, S., et al.: Process Biochem., 50, 317 (2015); Mutanda, T., et al.: J. Ind. Microbiol. Biot., 41, 893 (2014);<br></p>Formula:C18H32O16Colore e forma:NeatPeso molecolare:504.44rac Guaifenesin-d5
CAS:Prodotto controllatoFormula:C10H9D5O4Colore e forma:NeatPeso molecolare:203.25rac Guaifenesin-d3
CAS:Prodotto controllato<p>Applications rac Guaifenesin-d3 (cas# 1189924-85-3) is a compound useful in organic synthesis.<br></p>Formula:C102H3H11O4Colore e forma:NeatPeso molecolare:201.23Tartaric Acid Methyl Ester
CAS:Prodotto controllato<p>Applications Tartaric Acid Methyl Ester is useful for developing stabilizers as additives in methanol-gasoline. In addition, Tartaric Acid Methyl Ester can be used to synthesize novel enantiopure γ/δ-amino acid via trans-acetalization.<br>References Jiang, X. and Tang, Y.: Asian J. Chem. 25, 8451 (2013); Guarna, A., et al.: Tetrahedron 58, 9865 (2002)<br></p>Formula:C5H8O6Colore e forma:NeatPeso molecolare:164.11Pidotimod
CAS:Prodotto controllato<p>Applications Immunostimulant used in patients with cell-mediated immunodepression.<br>References Gu, C., et al.: Pharm. Res., 25, 979 (2008), Fliri, A., et al.: J. Med. Chem., 52, 8038 (2009), Giagulli, C., et al.: Int. Immunopharmacol., 9, 1366 (2009),<br></p>Formula:C9H12N2O4SColore e forma:NeatPeso molecolare:244.27Dermatan Sulfate (>90%)
CAS:Prodotto controllato<p>Applications Dermatan Sulfate is a glycosaminoglycan molecule used in the synthesis of tissue engineering. Used in the synthesis of artificial cartilage as an applicable biomaterial.<br>References Chen, Y. et al.: Biomat., 28, 2294 (2007); Hirano, S. et al.: J. Biomed. Mat. Res., 56, 556 (2001);<br></p>Formula:C20H28O3Purezza:>90%Colore e forma:White To Off-White5,6-trans-Vitamin D3
CAS:<p>5,6-trans-Vitamin D3(5,6-trans-Cholecalciferol) is an isoform of Vitamin D3, which is converted from Vitamin D3 on the skin surface after light exposure.</p>Formula:C27H44OPurezza:98.23%Colore e forma:SolidPeso molecolare:384.642'-Fucosyllactose (~90%)
CAS:Prodotto controllatoFormula:C18H32O15Purezza:~90%Colore e forma:NeatPeso molecolare:488.44Erdosteine
CAS:Prodotto controllato<p>Applications Erdosteine is a mucolytic. Erdosteine was developed for the treatment of chronic obstructive bronchitis.<br>References Kuvandik, G., et al.: Toxicol. Pathol., 36, 714 (2008), Koyu, A., et al.: Mol. Cell. Biochem., 331, 43 (2009), Fourches, D., et al.: Chem. Res. Toxicol., 23, 171 (2010),<br></p>Formula:C8H11NO4S2Colore e forma:NeatPeso molecolare:249.31α-D-Galactose
CAS:<p>Applications α-D-Galactose is the alpha anomer of D-Galactose (G155250), the C-4 epimer of Glucose (G595000). D-Galactose is found in milk and sugar beets as well as being synthesized by the body.<br>References De Smet, E. et al.: Nephrol. Dial. Transplant., 24, 2938 (2009); Kivele, R. et al.: Carb. Pol., 85, 645 (2011);<br></p>Formula:C6H12O6Colore e forma:White To Off-WhitePeso molecolare:180.16Voglibose
CAS:<p>Applications An α-Glucosidase inhibitor used as an antidiabetic.<br>References Matsuo, T., et al.: Am. J. Clin. Nutr., 55, 314S (1992), Goke, B., et al.: Digestion, 56, 493 (1995), Shinozaki, K., et al.: Metabolism, 45, 731 (1996)<br></p>Formula:C10H21NO7Colore e forma:NeatPeso molecolare:267.282-O-(p-Nitrophenyl)-α-D-N-acetylneuraminic Acid, Sodium Salt, X Hydrate
CAS:Prodotto controllato<p>Stability Hygroscopic<br>Applications 2-O-(p-Nitrophenyl)-α-D-N-acetylneuraminic Acid, Sodium Salt, X Hydrate (cas# 123549-14-4 ) is a compound useful in organic synthesis.<br></p>Formula:C17H21N2O11·Na·H2OColore e forma:NeatPeso molecolare:452.35Lewis A Trisaccharide
CAS:Prodotto controllato<p>Applications Lewis A Trisaccharide is a component of multiplex glycan bead arrays which play a role in various cellular functions.<br>References Dabelsteen, E., et al.: Cancer Research, 48, 181 (1988), Lasky, L.A.: Science, 258, 964 (1992), Mulligan, M.S., et al.: Nature, 364, 149 (1993), Mulligan, M.S., et al.: J. Exp. Med., 178, 623 (1993), Travis, J.: Science, 260, 906 (1993); Purohit, S. et al.: Nat. Comm., 9, 1 (2018);<br></p>Formula:C20H35NO15Colore e forma:NeatPeso molecolare:529.49p-Nitrophenyl 2-Acetamido-2-deoxy-4-O-(β-D-galactopyranosyl)-α-D-glucopyranoside
CAS:Prodotto controllato<p>Stability Hygroscopic<br>Applications p-Nitrophenyl 2-Acetamido-2-deoxy-4-O-(β-D-galactopyranosyl)-α-_x000D_D-glucopyranoside (cas# 184377-56-8) is a compound useful in organic synthesis.<br></p>Formula:C20H28N2O13Colore e forma:White To Off-WhitePeso molecolare:504.44Neoponcirin (Mixture of diastereomers)
CAS:Prodotto controllatoFormula:C28H34O14Colore e forma:NeatPeso molecolare:594.56Rebaudioside B
CAS:Prodotto controllatoFormula:C38H60O18Colore e forma:White To Off-WhitePeso molecolare:804.87Uridine Diphosphate Choline Ammonium Salt
CAS:Prodotto controllato<p>Stability Very Hygroscopic<br>Applications CDPcholine cholinephosphotransferase analog.<br>References Kennedy, E.P., et al.: J. Biol. Chem.,222,185 (1956),<br></p>Formula:C14H28N4O12P2Colore e forma:White To Dark YellowPeso molecolare:506.34Lactulose-13C
CAS:<p>Applications Lactulose is a synthetic, non-digestible sugar used in the treatment of chronic constipation; laxative.<br>References Voskuijl, W. et al.: Gut, 53, 1590 (2004);<br></p>Formula:C1113CH22O11Colore e forma:NeatPeso molecolare:343.294-Methylumbelliferyl 2-Acetamido-2-deoxy-a-D-galactopyranoside
CAS:Prodotto controllatoFormula:C18H21NO8Colore e forma:NeatPeso molecolare:379.364-Methylumbelliferyl 2-Amino-2-deoxy-α-D-glucopyranoside (>90%)
CAS:Formula:C16H19NO7Purezza:>90%Colore e forma:NeatPeso molecolare:337.32Fructose Valine (mixture of diastereomers)
CAS:Prodotto controllato<p>Applications An Amadori compound having the potential to alter cellular adhesion, inhibit cancer metastasis and induce apoptosis.<br>References Horiuchi, T., et al.: Agric. Biol. Chem., 55, 333 (1991), Sosnovsky, G., et al.: J. Pharm. Sci., 82, 649 (1993), Glinsky, G., et al.: Cancer Res., 56, 5319 (1996),<br></p>Formula:C11H21NO7Colore e forma:Off-White To Dark BrownPeso molecolare:279.29Cytidine 5’-Monophosphate Methyl Ester Sodium Salt
CAS:<p>Applications Cytidine 5’-Phosphate Methyl Ester Sodium Salt is an byproduct formed in the synthesis of analogs of Cytidine 5’-Diphosphate with an important role in the metabolism of phospholipids.<br>References Trotter, P., et al.: J. Biol. Chem., 270, 6062 (1995), Janssen, M., et al.: Yeast, 16, 641 (2000), Henneberry, A., et al.: Mol. Biol. Cell, 12, 511 (2001), Boumann, H., et al.: Biochemistry, 42, 3054 (2003),<br></p>Formula:C10H15N3NaO8PColore e forma:White To Off-WhitePeso molecolare:359.2Streptidine Sulfate Salt
CAS:Prodotto controllato<p>Applications Streptidine, is a metabolite derivative of Streptomycin (S687500), an antibiotic (antimycobacterial) drug, used for patients suffering from tuberculosis or other infectious diseases.<br>References Granados, O., et al.: Histology and Histopathology, 20(2), 357 (2005);<br></p>Formula:C8H18N6O4xH2SO4Colore e forma:White To Off-WhitePeso molecolare:262.27Xylotriose
CAS:Prodotto controllato<p>Applications Xylotriose is a newly developed xylo-oligosaccharide, usually produced from xylan by enzymic hydrolysis, with many beneficial biomedical and health effects.<br>References Zhu, Z., et al.: Eur. Food Res. Technol., 241, 27 (2015)<br></p>Formula:C15H26O13Colore e forma:NeatPeso molecolare:414.36N,N'-Diacetylchitobiose
CAS:Prodotto controllato<p>Stability Hygroscopic<br>Applications An inhibitor of lysozyme, reverses myocardial depression and lessens norepinephrine requirements in Escherichia coli sepsis in dogs.<br>References Lefer, A., et al.: Am. J. Physiol., 213, 492 ( 1967), Parrillo, J., et al.: J. Clin. Invest., 76, 1539 (1985), Mink, S., et al.: J. Mol. Cell. Cardiol ., 35, 265 (2003),<br></p>Formula:C16H28N2O11Colore e forma:NeatPeso molecolare:424.40Meglumine Diatrizoate
CAS:Prodotto controllato<p>Applications Meglumine Diatrizoate is a contrast agent used in abdominal computed tomography.<br>References Naidoo, N., et. al.: Curr. Pharm. Anal., 10, 92 (2014)<br></p>Formula:C11H9I3N2O4·C7H17NO5Colore e forma:NeatPeso molecolare:809.13trans-4-[[(2-Amino-3,5-dibromophenyl)methylene]amino]cyclohexanol(Ambroxol Impurity C)
CAS:Prodotto controllato<p>Impurity Ambroxol EP Impurity C Hydrochloride<br>Stability Light Sensitive<br>Applications trans-4-[[(2-Amino-3,5-dibromophenyl)methylene]amino]cyclohexanol is an impurity of Ambroxol (A575900), a bronchosecretolytic drug and the metabolite of Bromhexine (B678600). Ambroxol EP Impurity C<br>References Jauch, R., et al.: Arzneim-Forsch., 13, 474 (1963)<br></p>Formula:C13H16Br2N2OColore e forma:NeatPeso molecolare:376.09D-Fructose-13C6
CAS:Prodotto controllato<p>Applications Isotope labelled D-Fructose (F792500), a monosaccharide that naturally occurs in large number of fruits and plants.<br>References Shum, M., et al.: Am. J. Physiol., 304, 197 (2013); Zeng, S.S., et al.: J. Pharma. Biomed. Anal., 76, 87 (2013);<br></p>Formula:C6H12O6Colore e forma:NeatPeso molecolare:186.11D-(+)-Cellohexose
CAS:Prodotto controllato<p>Stability Stable at RT<br>Applications D-(+)-Cellohexose (cas# 2478-35-5) is a compound useful in organic synthesis.<br></p>Formula:C36H62O31Colore e forma:NeatPeso molecolare:990.864-Methylumbelliferyl a-L-Idopyranosiduronic Acid 2-Sulfate Disodium Salt
CAS:<p>Stability Hygroscopic<br>Applications 4-Methylumbelliferyl ?-L-Idopyranosiduronic Acid 2-Sulfate Disodium Salt is a fluorogenic substrate in the assay of ?-L-Iduronidase. A fluorimetric enzyme assay for the diagnosis of MPS II (Hunter disease).<br>References Matalon, R., et al.: Biochem. Biophys. Res. Commun., 47, 959 (1972), Voznyi, Y.V., et al.: J. Inherit. Metab. Dis., 24, 675 (2001)<br></p>Formula:C16H14Na2O12SColore e forma:NeatPeso molecolare:476.322’-Nitrophenyl 2,3,4-Tri-O-acetyl-β-D-xylopyranoside
CAS:Prodotto controllato<p>Stability Store in Freezer<br>Applications 2’-Nitrophenyl 2,3,4-Tri-O-acetyl-β-D-xylopyranoside (cas# 10256-24-3) is a compound useful in organic synthesis.<br></p>Formula:C17H19NO10Colore e forma:NeatPeso molecolare:397.334-Nitrophenyl 2-Acetamido-6-O-(2-acetamido-2-deoxy-β-D-glucopyranosyl) -3-O-(β-D-galactopyranosyl)-2-deoxy-α-D-galactopyranoside
CAS:Prodotto controllatoFormula:C28H41N3O18Colore e forma:NeatPeso molecolare:707.63Inulin
CAS:Prodotto controllato<p>Applications Is a safe plant polysaccharide with a variety of uses in the food and chemical medical industry. It is a functional food, providing functional groups for beneficial bacteria, as well as improving properties of food such as texture, hydration and shelf-life. They are also used for vaccine and drug delivery via soluble storage.<br>References Corradini, C. et al.: Anal. Bioanal. Chem., 405, 4591 (2013); Kumar, S. et al.: Mol. Pharm., 10, 1845 (2013);<br></p>Formula:(C6H10O5)nColore e forma:Neat3-Deoxy-D-arabinoheptulosonic Acid 7-Phosphate Disodium Salt
CAS:Prodotto controllato<p>Applications It stands at the beginning of the enzyme-catalyzed cascade that starts with this seven-carbon carbohydrate and ends with the aromatic amino acids phenylalanine, tyrosine, and tryptophan.<br>References Frost, J.W., et al.: Biochemistry, 23, 4465 (1984)<br></p>Formula:C7H11Na2O10PColore e forma:NeatPeso molecolare:332.11Erdosteine Homocysteine Impurity Sodium Salt
Prodotto controllato<p>Applications Erdosteine Homocysteine Impurity Sodium Salt is an impurity of the mucolytic Erdosteine (E596050). A drug developed for the treatment of chronic obstructive bronchitis.<br></p>Formula:C12H17N2NaO5S3Colore e forma:White To Off-WhitePeso molecolare:388.464-Methylumbelliferyl a-L-Idopyranosiduronic Acid, Sodium
CAS:Prodotto controllatoFormula:C16H15O9·NaColore e forma:White To Light YellowPeso molecolare:374.272,5-Deoxyfructosazine
CAS:Prodotto controllato<p>Applications Contained in tobacco flavor additives.<br>References Sumoto, K., et al.: Chem. Pharm. Bull., 39, 792 (1991), Shimamura, T., et al.: Biosci., Biotechnol., Biochem., 67, 295 (2003),<br></p>Formula:C12H20N2O7Colore e forma:NeatPeso molecolare:304.3Sunset Yellow FCF
CAS:<p>Sunset Yellow FCF (Sunset yellow) is an orange azo dye with pH-dependent absorbance.Sunset Yellow FCF is used in food, cosmetics and pharmaceuticals.It is used</p>Formula:C16H10N2Na2O7S2Purezza:98.03%Colore e forma:Dark Maroon Solid PowderPeso molecolare:452.36(S) FTY720 Phosphate
CAS:<p>Applications FTY720 is a sphingosine 1-phosphate receptor modular, ameliorates experimental autoimmune encephalomyelitis by inhibition of T cell infiltration. FTY720 Phosphate is the active metabolite of FTY720-phosphate.<br>References Chiba, K., et al.: J. Immunol., 160, 5037 (1998), Brinkmann, V., et al.: J. Biol. Chem., 277, 21453 (2002), Kiuchi, M., et al.: Bioorganic & Medicinal Chemistry, 13, 425 (2005<br></p>Formula:C19H34NO5PColore e forma:WhitePeso molecolare:387.45N-Methylglucamine Antimonate
CAS:<p>Applications N-Methylglucamine antimonate (cas# 133-51-7) is a useful research chemical.<br></p>Formula:C7H17NO5·HSbO3Colore e forma:Off-WhitePeso molecolare:195.22 + 170.77N-(2-Hydroxyethyl)-1-deoxy-L-altronojirimycin Hydrochloride Salt
CAS:Prodotto controllato<p>Stability Hygroscopic<br>Applications α-Glycosidase inhibitor.<br>References Jefferies, I., et al.: Bioorg. Med. Chem. Lett., 7, 1171 (1997), Hassan, A., et al.: Carbohydr. Res., 339, 1565 (2004),<br></p>Formula:C8H18ClNO5Colore e forma:NeatPeso molecolare:243.6852Steviolbioside
CAS:Prodotto controllatoFormula:C32H50O13Colore e forma:White To Off-WhitePeso molecolare:642.73L-Phenylalanine Methyl Ester Hydrochloride
CAS:Prodotto controllato<p>Applications Protected (S) enantiomer of the amino acid Phenylalanine.<br>References Zhu, P., et al.: Bioorg. Med. Chem. Lett., 19, 6966 (2009), Cramer, B., et al.: Bioorg. Med. Chem., 18, 343 (2010),<br></p>Formula:C10H13NO2·HClColore e forma:Off-WhitePeso molecolare:215.677(+)-Biotin (+)-Sulfoxide
CAS:Prodotto controllato<p>Stability Hygroscopic<br>Applications (-)-Biotin Sulfoxide, is a metabolite of Biotin (B389040), which is a growth factor present in minute amounts in every living cell, and plays an indispensable role in numerous naturally occurring carboxylation reactions.<br>References du Vigneaud, et al.: J. Biol. Chem., 146, 475 (1942), Traub, et al.: Nature, 178, 649 (1956), Siegel, H., et al.: Experienta, 37, 789 (1981), Vesely, D.L., Science, 216, 1329 (1982), Hugues, M., et al.: Biochemistry, 31, 12 (1992),<br></p>Formula:C10H16N2O4SColore e forma:NeatPeso molecolare:260.31Aspartame-D3
CAS:Prodotto controllato<p>Applications A labelled dipeptide ester about 160 times sweeter than sucrose in aqueous solution. A non-nutritive sweetener.<br>References Cloninger, B., et al.: Science, 170, 81 (1970), Oppermann, et al.: J. Nutr., 103, 1454 (1973),<br></p>Formula:C14H15D3N2O5Colore e forma:NeatPeso molecolare:297.32p-Nitrophenyl 2-Acetamido-2-deoxy-4-O-(b-D-galactopyranosyl)-b-D-glucopyranoside
CAS:Prodotto controllatoFormula:C20H28N2O13Colore e forma:NeatPeso molecolare:504.44Methyl (-)-Shikimate
CAS:Prodotto controllatoFormula:C8H12O5Colore e forma:NeatPeso molecolare:188.184-Methylumbelliferyl 6-Sulfo-2-acetamido-2-deoxy-(β)-D-glucopyranoside Potassium Salt
CAS:Formula:C18H20NO11S·KColore e forma:NeatPeso molecolare:497.513-Deoxygalactosone (>90%)
CAS:Prodotto controllato<p>Stability Hygroscopic<br>Applications It has carcinostatic activity.<br>References Reynolds, T.M., et al.: Advan. Food. Res., 14, 167 (1965), Szent-Gyorgyi, L.G., et al.: Science, 155, 539 (1967),<br></p>Formula:C6H10O5Purezza:>90%Colore e forma:NeatPeso molecolare:162.14L-Thioproline
CAS:<p>Applications L-Thioproline is used to create a monolayer on gold electrodes for the determination Copper(II). L-Thioproline has shown to be an effect inhibitor of proline absorption in Saccharomyces chevalieri.<br> Not a dangerous good if item is equal to or less than 1g/ml and there is less than 100g/ml in the package<br>References Cui, X., et. al.: Sci. China Chem., 53, 257 (2010); Magana-Schwenchke, N., Schwencke, J.: BBA-Biomembranes, 173, 313 (1969)<br></p>Formula:C4H7NO2SColore e forma:NeatPeso molecolare:133.173-Deoxyglucosone
CAS:<p>Stability Hygroscopic, Light Sensitive, Temperature Sensitive<br>Applications An intermediate in the Maillard reaction of proteins with glucose, which is metabolised to 3-Deoxyfructose. An intermediate in the formation of pyrraline, which might contribute to a pathological effect, such as carcinogenesis.<br>References Kato, H. et al.: Agric. Biol. Chem., 51, 683 (1987), Hayase, F. et al.: J. Biol. Chem., 264, 3758 (1989), Kato, H. et al.: Biochimica et Biophysica Acta, 1035, 71 (1990)<br></p>Formula:C6H10O5Colore e forma:White To YellowPeso molecolare:162.14Dihydro Ferulic Acid 4-O-β-D-Glucuronide Dilithium Salt
CAS:<p>Stability Very Hygroscopic<br>Applications A metabolite profiling of hydroxycinnamate derivative in plasma and urine after the ingestion of coffee by humans: identification of biomarkers of coffee consumption.<br>References Buchanan, C., et al.: J. Sci. Food Agric., 71, 459 (1996), Andreasen, M., et al.: J. Agric. Food Chem., 49, 5679 (2001), Poquet, L., et al.: Drug Metab. Dispos., 36, 190 (2008),<br></p>Formula:C16H18Li2O10Colore e forma:NeatPeso molecolare:384.19Isosorbide 2-Nitrate
CAS:<p>Applications A metabolite of Isosorbide Dinitrate. Used as an antianginal.<br> Not a dangerous good if item is equal to or less than 1g/ml and there is less than 100g/ml in the package<br>References Goldberg, et al.: Acta Physiol. Scand., 15, 173 (1948), Silvieri, L.A., et al.: Anal. Profiles Drug Subs., 4, 225 (1975), Laufen, H., et al.: Arzneim.-Forsch., 33, 980 (1983),<br></p>Formula:C6H9NO6Colore e forma:WhitePeso molecolare:191.14Chitosan oligomer (Dp 12-20)
<p>Chitosan oligomer (Dp 12-20) is a modification of chitin, a polysaccharide. It can be synthesized by treating chitin with sodium hydroxide in an alkaline environment. Chitosan oligomer (Dp 12-20) has a high degree of saccharide modification and exhibits a variety of functions, including complex carbohydrate, custom synthesis, synthetic, high purity, CAS No., and monosaccharide methylation. This compound has been shown to inhibit the growth of bacteria such as Staphylococcus aureus and Clostridium perfringens.</p>Formula:(C6H11NO4)nColore e forma:Beige PowderTetra-guluronic acid sodium
CAS:<p>Tetra-guluronic acid sodium salt (1,4-linked α-L-sodium guluronotetraose) is one of a number of oligosaccharides obtained from alginate, a polysaccharide from brown seaweeds. It contains blocks of: repeating mannuronic acid sequences (M-M-M-M etc), repeating guluronic acid sequences (G-G-G-G etc), and alternating M-G-M-G sequences. This oligosaccharide can be released by acid hydrolysis and a number of biological activities have been discussed in a recent review.</p>Formula:C24H30O25Na4Purezza:Min. 98 Area-%Colore e forma:White PowderPeso molecolare:810.44 g/mol3-(a-D-Rhamnopyranosyl)-D-glucose
<p>3-(a-D-Rhamnopyranosyl)-D-glucose is a glycosylation product that is synthesized by the methylation of glucose. It is a complex carbohydrate with a high purity, CAS number and custom synthesis. 3-(a-D-Rhamnopyranosyl)-D-glucose has been modified by fluorination and click chemistry to produce a versatile reagent for glycosylation reactions.</p>Purezza:Min. 95%Forssman antigen pentaose
CAS:<p>Tumor associated antigen and target for the development of anti-cancer vaccines</p>Formula:C34H58N2O26Purezza:Min. 90 Area-%Colore e forma:White PowderPeso molecolare:910.82 g/molLaminarihexaose
CAS:<p>Ex algal/bacterial polysaccharides-value in b1-3 glucanase assays & diagnostics</p>Formula:C36H62O31Purezza:Min. 90 Area-%Colore e forma:White Off-White PowderPeso molecolare:990.86 g/molGala1-3Galb1-4GlcNAc-O-L-serine
<p>Gala1-3Galb1-4GlcNAc-O-L-serine is a Custom synthesis, Modification, Fluorination, Methylation, Monosaccharide, Synthetic, Click modification, Oligosaccharide, saccharide. The CAS number for this product is . It has been created by the process of Glycosylation. This product is a Carbohydrate and a Polysaccharide. The molecular weight of this product is .</p>Purezza:Min. 95%Lactose 3'-sulfate
CAS:<p>Unusual lactose sulphate isolated from canine milk (beagle-Canis familiaris), which does not appear to have previously been isolated from milk or other natural sources. The structure was established by 2D NMR spectroscopy and mass spectrometry.</p>Formula:C12H22O14SPurezza:Min. 95%Colore e forma:Beige PowderPeso molecolare:422.36 g/molGD2-Oligosaccharide-sp-biotin
<p>The structure of GD2-oligosaccharide-sp-biotin (sodium salt) comprises (GalNAcβ1,4Galβ1,4Glc) with two sialic acids linked (β-2,3/β-2,8) to the central galactose residue and biotin attached to position 1 of the reducing glucose moiety. GD2 ganglioside is expressed at a low concentration in the central nervous system, nerves, skin melanocytes and stem cells in healthy adults. On the other hand, GD2 ganglioside is overexpressed in a number of tumors, including: neuroblastoma, melanoma, small cell lung carcinoma and brain tumors. Recently, it has been found in low concentrations on breast cancer stem cells (CSC) that possess: self-renewal properties (division without disrupting the undifferentiated state) and tumor-initiating capabilities. It has been suggested that GD2 ganglioside may be developed as an effective target antigen for CSC immunotherapy.</p>Formula:C65H104N10O37S·2NaPurezza:One SpotColore e forma:White PowderPeso molecolare:1,695.61 g/molStachyose - 70%
CAS:<p>Non-reducing storage and transport sugar in woody plants; used as a sweetener</p>Formula:C24H42O21Purezza:Min. 70 Area-%Colore e forma:White PowderPeso molecolare:666.59 g/molLaminaritetraose
CAS:<p>Ex algal/bacterial polysaccharides-value in b1-3 glucanase assays & diagnostics</p>Formula:C24H42O21Purezza:Min. 95 Area-%Colore e forma:White PowderPeso molecolare:666.6 g/mol3'-Sialylgalactose sodium salt
CAS:<p>Sialylated oligosaccharide with the ability to inhibit angiogenesis and tumour development by binding to the vascular endothelial growth factor receptor VEGFR-2. Moreover, sialylated N-glycans in intestinal epithelium of chickens were found to carry terminal sialylgalactose, which interacts with influenza viruses during early stages of infection.</p>Formula:C17H28NO14·NaPurezza:Min. 95%Colore e forma:White PowderPeso molecolare:493.39 g/molBlood group A type 4 linear trisaccharide-NGL
<p>Useful oligosaccharide-lipid conjugate for raising antibodies.</p>Purezza:Min. 95%Heparin derived dp4 saccharide ammonium
CAS:<p>Heparin is a linear sulphated polysaccharide comprising contiguous disaccharide units of a uronic acid and a derivative of 2-amino-2-deoxy-D-glucose. The heparin tetrasaccharide can be obtained from the degradation of heparin with the lyase enzymes isolated from Flavobacterium heparinum, which yields oligosaccharides terminated at the non-reducing end by the unsaturated unit, 4-deoxy-α-L-threo-hex-4-enopyranosyl uronic acid or its 2-0-sulphated derivative. The major product following lyase degradation is the trisulphated derivative DUA-2S + GlcNS-6S (unsaturated disaccharide). Other oligosaccharides such as the tetrasaccharide, illustrated below, can be produced by the lytic degradation of heparin (Moffat, 1991).</p>Formula:C24H40N2O39S6•(NH3)xPurezza:Of Main Disaccharide Unit Approx. 75%Colore e forma:PowderPeso molecolare:Av 12001,1,1-Kestopentaose
CAS:<p>Non-reducing sucrose analog containing glucose and fructose; prebiotic fibre</p>Formula:C30H52O26Purezza:Min. 95 Area-%Colore e forma:White PowderPeso molecolare:828.72 g/molAgaropentaose
CAS:<p>Agarose is a polysaccharide found in red algae, typically Gelidium and Gracilaria. It is a strictly alternating polysaccharide of α-1,3 linked D-galactose and β-1,4 linked L-3,6 anhydrogalactose with occasional sulfation at position 6 of the anhydrogalactose residue. Agaro-oligosaccharides result from cleavage at galactose residues and neoagaro-oligosaccharides from cleavage at 3,6-anhydro residues. Reports have suggested that agaropentaose has neuroprotective properties.</p>Formula:C30H48O24Purezza:Min. 97 Area-%Colore e forma:White PowderPeso molecolare:792.69 g/mol2-Acetamido-3-O-(2,3,4,6-tetra-O-acetyl-b-D-galactopyranosyl)-4,6-di-O-acetyl-2-deoxy-a-D-galactopyranosyl-Fmoc-L-threonine tert-but yl ester
<p>2-Acetamido-3-O-(2,3,4,6-tetra-O-acetyl-b-D-galactopyranosyl)-4,6-di-O-acetyl-2,6 -deoxy--a-,D-,galactopyranosyl--Fmoc--L--threonine tert--but yl ester is a synthetic carbohydrate that contains 2 acetamido groups and 3 O-(2,3,4,6 tetra O acetyl b D galactopyranosyl) groups. The chemical name for this compound is 2 Acetamido 3 O (2 3 4 6 tetra O acetyl b D galactopyranosyl) 4 6 di O acetyl 2 deoxy a D galactopyranosyl Fmoc L threonine tert but yl ester. It has been synthesized by the Click modification reaction of an oligos</p>Formula:C49H62N2O21Purezza:Min. 95%Peso molecolare:1,015.02 g/mol3-O-(a-D-Galactopyranosyl)-D-glucopyranose
CAS:<p>3-O-(a-D-Galactopyranosyl)-D-glucopyranose is a custom synthesis that can be fluorinated, methylated, and modified with click chemistry. 3-O-(a-D-Galactopyranosyl)-D-glucopyranose is a sugar that can be used in the synthesis of oligosaccharide or polysaccharide. It also has saccharide binding properties. 3-O-(a-D-Galactopyranosyl)-D-glucopyranose is soluble in water and does not react with strong acids such as HCl.</p>Formula:C12H22O11Purezza:Min. 95%Colore e forma:PowderPeso molecolare:342.3 g/mola,a-D-Trehalose dihydrate endotoxin free
CAS:<p>Trehalose is a non-reducing sugar that is naturally found in some plants and animals. It is a disaccharide formed by two glucose molecules linked together with an alpha,alpha glycosidic bond. Trehalose has been shown to inhibit the growth of bacteria through the inhibition of fatty acid biosynthesis and the production of lactic acid. Trehalose has also been shown to have excipients that are used as lubricants or suspending agents in pharmaceuticals, cosmetics, food products, and animal feed. Trehalose can be used as a substitute for propionate in order to create endotoxin-free aqueous solutions.</p>Formula:C12H22O11·2H2OPurezza:Min. 98 Area-%Colore e forma:White PowderPeso molecolare:378.33 g/molBenzyl 4- O- b- D- glucosaminyl-b- D- xylopyranoside
<p>Benzyl 4- O- b- D- glucosaminyl-b- D- xylopyranoside is an oligosaccharide that is synthesized by the glycosylation of benzyl 4-O- b -D-glucosaminyl b -D -xylopyranoside with a monosaccharide. The synthesis of this compound is achieved through the modification of the parent compound with a fluorination, methylation, or glycosylation. Benzyl 4- O- b -D- glucosaminyl b -D -xylopyranoside can be found in complex carbohydrates, such as cellulose and starch.</p>Purezza:Min. 95%1,2,3,6,2',3',6'-Hepta-O-acetyl-4'-O-(2-acetamido-3,4,6-tri-O-acetyl-2-deoxy-a-D-galactopyranosyl)-b-D-lactopyranoside
<p>This is an oligosaccharide that has been modified with a fluorinated saccharide. It is a complex carbohydrate that has been synthesized through custom synthesis and is high purity with a CAS No. This monosaccharide has been methylated and glycosylated, and it can be used in the synthesis of polysaccharides.</p>Purezza:Min. 95%Methyl 6-O-(a-D-mannopyranosyl)-b-D-mannopyranoside
CAS:<p>Methyl 6-O-(a-D-mannopyranosyl)-b-D-mannopyranoside is a carbohydrate that has been modified with fluorination. It is synthesized by the methylation of glucose and mannose residues, followed by glycosylation. Methyl 6-O-(a-D-mannopyranosyl)-b-D-mannopyranoside is a custom synthesis and can be ordered in high purity.</p>Formula:C13H24O11Purezza:Min. 95%Colore e forma:White To Off-White SolidPeso molecolare:356.32 g/molBlood Group B trisaccharide, N-aminoethyl nonanamide
<p>Blood group antigen derivative for biochemical research</p>Formula:C29H54N2O16Purezza:Min. 95%Colore e forma:Off-White PowderPeso molecolare:686.74 g/mol2-O-(a-D-Galactopyranosyl)-b-D-fucopyranosyl propylamine
CAS:<p>2-O-(a-D-Galactopyranosyl)-b-D-fucopyranosyl propylamine is a glycosylated synthetic compound with a molecular weight of 726.2. It is an excellent substrate for the glycosylation of proteins and nucleic acids, as well as an excellent candidate for Click modification, fluorination, saccharide modification and custom synthesis. 2-O-(a-D-Galactopyranosyl)-b-D-fucopyranosyl propylamine is a high purity product available in bulk quantities.</p>Formula:C15H29NO10Purezza:Min. 95%Peso molecolare:383.39 g/molGM2-Oligosaccharide
<p>GM2-oligosaccharide (sodium salt) is a trisaccharide (GalNAcβ1,4Galβ1,4Glc) with sialic acid linked α2,3 to the central galactose residue (Ledeen, 2009). The parent GM2 ganglioside is present on neuronal cells and plays a key role in the regulation of dendritogenesis in cortical pyramidal neurons. In lysosomal storage disorders, such as, Tay-Sachs and Sandhoff disease, where hexosaminases A and B are deficient, GM2 ganglioside accumulates in the nervous system (Cachon-Gonzalez, 2018). GM2 ganglioside is also overexpressed in melanomas and other tumours of neuro-ecto origin (Yoshida, 2020). Moreover, the sugar moiety of GM2 ganglioside is a receptor allowing viral infection of cells with reovirus and rotavirus (Zhu, 2018).</p>Formula:C31H51N2O24NaPurezza:Min. 95%Colore e forma:PowderPeso molecolare:858.73 g/mol1,6-Anhydro-β-D-cellotriose
CAS:<p>Produced by the fast pyrolysis of cellulose</p>Formula:C18H30O15Purezza:Min. 95%Colore e forma:PowderPeso molecolare:486.42 g/mol4-Methoxyphenyl 4-O-[4-O-(4,6-O-benzylidene-3-O-tert-butyldimethylsilyl- 2-O-levulinoyl-β-D-glucopyranosyl)-3,6-di-O-benzyl-2-deoxy-2 -phthalimid o-β-D-glucopyranosyl]-3-O-benzyl-6-O-(tri-O-benzyl-α-L-fucopyranosyl)-2- deoxy-2-phthalimido-β-D-glucopyranos
<p>4-Methoxyphenyl 4-O-[4-O-(4,6-O-benzylidene-3-O-tert-butyldimethylsilyl-2-O -levulinoyl)-b,D,Glucopyranosyl]-3,6,-di-, Obenzyl 2deoxy 2phthalimido bDglucopyranosyl]-2deoxy 2phthalimido bDglucopyrano sugar is a complex carbohydrate that has been synthesized in a custom synthesis. It is composed of a glucose oligosaccharide with a methoxyphenol glycoside at the reducing terminus and an α-(1,6)-linked mannose at the nonreducing terminus. The carbohydrate has been modified by fluorination and methylation. The molecule contains an acetal bond between the carbonyl group of the terminal monosaccharide and the</p>Formula:C107H114N2O25SiPurezza:Min. 95%Peso molecolare:1,856.13 g/mol2-Acetamido-2-deoxy-4-O-(a-D-galactopyranosyl)-D-glucopyranose
<p>The 2-acetamido-2-deoxy-4-O-(a-D-galactopyranosyl)-D-glucopyranose is a carbohydrate. It is an oligosaccharide, which is a sugar with more than two monosaccharides. The CAS number of this compound is 9077-98-0. The molecular weight of this compound is 450.01 g/mol and the purity level is 99%. This compound can be custom synthesized to meet your needs. This product can be methylated, glycosylated, or click modified to create products with different properties.</p>Formula:C14H25NO11Purezza:Min. 95%Colore e forma:PowderPeso molecolare:383.35 g/mol6'-a-Sialyl-N-acetyllactosamine sodium salt
CAS:<p>Sialylated trisaccharide found in human urine</p>Formula:C25H41N2NaO19Purezza:Min. 95%Colore e forma:PowderPeso molecolare:696.6 g/molGD1a-Ganglioside sodium
CAS:<p>GD1a (shown as sodium salt) is one of the major gangliosides in neuronal and glial membranes. It has a core tetrasaccharide structure (Galβ1,3GalNAcβ1,4Galβ1,4Glc) with sialic acids linked α2,3/α2,8 to the inner galactose residue, α2,3 to the outer galactose residue and ceramide linked β to position 1 on the reducing terminal glucose residue (Ledeen, 2009). It interacts with myelin-associated glycoprotein (MAG) and is essential for long-term axon-myelin stability. It plays a role in viral infection as it is a receptor for viral glycoproteins in rotavirus and paramyxovirus 1. The hexasaccharide GD1a moiety was also found on a glycoprotein that acts as a receptor for adenovirus type 37. GD1a ganglioside also interacts with botulinum neurotoxin and is crucial for its entry into cells (Kolter, 2012).</p>Formula:C84H148N4O39·xNaPurezza:Min. 95%Colore e forma:White PowderPeso molecolare:1,838.08 g/mol3a,4b,3a-Galactotetraose
CAS:<p>The acetolysis of carrageenan produces a polymer homologous series of oligosaccharides, [Gal α1,3 Gal, Gal β1,4 Gal], [Gal α1,3 Gal β1,4 Gal, Gal β14, Gal α1,3 Gal], [Gal α1,3 Gal β1,4 Gal α1,3 Gal, Gal β1,4Gal α1,3Gal β1,4Gal] etc. (Lawson, 1968). This is significant as it provides an entry to the α-gal series or Galili antigens due to the fact that the disaccharide Galα1,3 Gal can be isolated in quantity. The distribution of the full α-gal epitope (Galα1-3Galβ1-4GlcNAc-R) is unique in mammals, being abundantly expressed on glycoconjugates of non-primate mammals, prosimians and New World monkeys. In contrast, the α-gal epitope is not expressed on glycoconjugates of Old World monkeys, apes and humans; instead, they produce the natural anti-Gal antibody that specifically binds the α-epitope. Anti-Gal mediates the rejection of pig xenograft organs in humans and monkeys by binding α-gal epitopes on the pig cells, inducing complement mediated destruction and antibody dependent cell mediated destruction. This barrier to xenotransplantation has been eliminated by producing α1,3 glycosyltransferase to knockout pigs. Since anti-Gal is ubiquitous in humans, the α-gal epitope has clinical potential in the production of vaccines expressing α-epitopes that can be targeted to antigen presenting cells (APC), thereby increasing the immunogenicity of viral and other microbial vaccines (Macher, 2008).</p>Formula:C24H42O21Purezza:Min. 95 Area-%Colore e forma:White Off-White PowderPeso molecolare:666.58 g/molN-Propyl β-lactoside
CAS:<p>N-Propyl b-lactoside is a synthetic sugar that belongs to the group of complex carbohydrates. It is a modification on the saccharide that is made by methylation, glycosylation and carbonylation. N-Propyl b-lactoside is synthesized from the monosaccharides glucose, galactose and fructose with the help of click chemistry. This product has high purity, fluorination and synthetic properties.</p>Formula:C15H28O11Purezza:Min. 95%Peso molecolare:384.38 g/mol4-O-Methyl-α-D-glucurono-β-D-xylan
CAS:<p>4-O-Methyl-alpha-D-glucurono-beta-D-xylan is produced by the hydrolysis of xylan. It can be used in studies to find new soluble chromogenic substrates for the assay of xylanases and glucanases.</p>Colore e forma:PowderNGA3B N-Glycan
CAS:<p>NGA3B N-Glycan is a high purity, custom synthesis, methylation and fluorination modification of the product. This product is an oligosaccharide that is composed of saccharides and sugars. It has a CAS No. 1620146-04-4.</p>Formula:C66H110N6O46Purezza:Min. 95%Colore e forma:SolidPeso molecolare:1,723.59 g/mol2-Acetamido-2-deoxy-6-O-(b-D-galactopyranosyl)-D-galactopyranose
CAS:<p>2-Acetamido-2-deoxy-6-O-(b-D-galactopyranosyl)-D-galactopyranose is a model organism that is used in the study of virus replication. It is a substrate for viral glycosylation and has been shown to be involved in mammalian cell growth. 2-Acetamido-2-deoxy-6-O-(b-D-galactopyranosyl)-D-galactopyranose is an iron oxide and it can be used as a contrast agent for magnetic resonance imaging (MRI) or computed tomography (CT). The gene product has not yet been identified, but it has been shown to be involved in fatty acid metabolism and cancer. This molecule also plays a role in the life cycle of some infectious diseases, such as influenza A virus.</p>Formula:C14H25NO11Purezza:Min. 95%Colore e forma:White PowderPeso molecolare:383.35 g/mol2-O-(a-D-Mannopyranosyl)-D-mannopyranose
CAS:<p>Synthesized by the action of zinc chloride on tetra-O-acetylmannose and 1-chloro-3,4,6- tri-0-acetylmannose. Isolated from partial acetolysates of baker's yeast mannan and Saccharomyces rouxii mannan.</p>Formula:C12H22O11Purezza:Min. 95 Area-%Colore e forma:White PowderPeso molecolare:342.3 g/molBlood group B hexasaccharide type I
<p>Gala1-3(Fuca1-2)Galb1-3GlcNAcb1-3Galb1-4Glc (B antigen hexasaccharide Type I)</p>Formula:C38H65NO30Purezza:Min. 90 Area-%Colore e forma:PowderPeso molecolare:1,015.91 g/molGlycyl-lacto-N-fucopentaose VI
<p>Glycyl-lacto-N-fucopentaose VI is a polysaccharide that is synthesized by the enzymatic activity of glycosylase, methylase, and fluorinase. It can be modified with click chemistry to introduce a fluorine atom at the C4 position of the glucose molecule. This modification can be used for the synthesis of oligosaccharides. Glycyl-lacto-N-fucopentaose VI has CAS number 108897-96-5 and is available in high purity and custom synthesis.</p>Formula:C34H59N3O25Purezza:Min. 95%Peso molecolare:909.84 g/mol2-Acetamido-2-deoxy-3-O-(a-L-fucopyranosyl)-D-glucopyranose
CAS:<p>2-Acetamido-2-deoxy-3-O-(a-L-fucopyranosyl)-D-glucopyranose is a carbohydrate that has been found in leaves of camellia plants. It can be used as a marker for the identification of camellia plants. 2-Acetamido-2-deoxy-3-O-(a-L-fucopyranosyl)-D-glucopyranose is also thought to be involved in the developmental and metabolic mechanisms of camellia plants, which are still being studied. This carbohydrate is synthesized from l -glutamine and epigallocatechin in the presence of d -proline.</p>Formula:C14H25NO10Purezza:Min. 96 Area-%Colore e forma:White PowderPeso molecolare:367.35 g/molGalacto-N-biose
CAS:<p>2-Acetamido-2-deoxy-3-O-(b-D-galactopyranosyl)-D-galactopyranose (also known as galacto-N-biose, GNB and T antigen) is a β 1-3’ linked disaccharide which is found in the gastrointestinal tract as a core component of mucin. GNB has been shown to have potential to protect against glutamate excitotoxicity, a process in which nerve cells can be damaged or destroyed. GNB, along with lactose-N-biose, are found in human milk but are not metabolised by gut enzymes and are instead broken down to a digestible form by bifidobacteria found in the intestinal systems of infants in a symbiotic process.</p>Formula:C14H25NO11Purezza:Min. 95%Colore e forma:White Off-White PowderPeso molecolare:383.35 g/molGlobo-H hexaose
CAS:<p>Cancer-associated carbohydrate antigen</p>Formula:C38H65NO30Purezza:Min. 90%Colore e forma:White PowderPeso molecolare:1,015.91 g/molMonofucosyl (1-2)-iso-lacto-N-octaose II
<p>Monofucosyl (1-2)-iso-lacto-N-octaose II is an oligosaccharide that is found in human milk</p>Purezza:Min. 95%D-Melezitose, monohydrate
CAS:<p>Used to differentiate microorganisms based on their metabolic properties.</p>Formula:C18H34O17Purezza:Min. 98.0 Area-%Peso molecolare:522.46 g/molRef: 3D-M-1520
25gPrezzo su richiesta50gPrezzo su richiesta100gPrezzo su richiesta250gPrezzo su richiesta500gPrezzo su richiesta-Unit-ggPrezzo su richiestaMaltodecaose, min 98%
CAS:<p>α 1,4-glucodecasaccharide derived from starch by hydrolysis and chromatography</p>Formula:C60H102O51Purezza:Min. 98 Area-%Colore e forma:White PowderPeso molecolare:1,639.42 g/mol4-O-{4-O-[[2,4-Di-O-acetyl-3-O-[2,4-di-O-(3,4,6-tri-O-acetyl-2-deoxy-2-phthalimido-β-D-glucopyranosyl)-3,6-di-O-benzyl-α-D-mannopyra nosyl]-6-O-[3,4-di-O-acetyl-2,6-di-O-(3,4,6-tri-O-acetyl-2-deoxy-2-phthalimido-β-D-glucopyranosyl)-α-D-mannopyranosyl]
CAS:<p>4-O-{4-O-[[2,4-Di-O-acetyl-3-O-[2,4-di-O-(3,4,6-tri-O-acetyl-2-deoxy-2--phthalimido--bD--glucopyranosyl)-3,6--di--O--benzyl aDmannopyra nosyl]-6--O-[3,4--di--O--acetyl 2,6--di--O-(3,4,6--tri - O - acetyl 2 - deoxy 2 - phthalimido bDglucopyranosyl) aDmannopyranosyl] } is a synthetic complex carbohydrate. It is an oligosaccharide that can be used in glycosylation reactions. This carbohydrate has been custom synthesized and modified to include methyl groups. The CAS number for this compound is 9461642899.</p>Formula:C196H200N6O72Purezza:Min. 95%Peso molecolare:3,791.68 g/molBlood Group A tetrasaccharide type V
CAS:<p>Core antigen fragment in ABO blood group system</p>Formula:C26H45NO20Purezza:Min. 90%Colore e forma:White PowderPeso molecolare:691.63 g/mol3'-Sialyllacto-N-neotetraose sodium
CAS:<p>3'-Sialyllacto-N-neotetraose sodium is a synthetic, fluorinated oligosaccharide with a sialic acid side chain. This compound has been shown to be an inhibitor of lacto-N-neotetraose synthesis in the human gut. It is also used as a raw material for the synthesis of various complex carbohydrates and as a click modification reagent for saccharides and polysaccharides. 3'-Sialyllacto-N-neotetraose sodium can be modified at its methyl group or sugar moiety to produce desired products.</p>Formula:C37H61N2O29NaPurezza:Min. 90%Peso molecolare:1,020.86 g/mol4-Aminobutyl 2-O-(a-D-mannopyranosyl)-a-D-mannopyranoside
<p>4-Aminobutyl 2-O-(a-D-mannopyranosyl)-a-D-mannopyranoside is a custom synthesis that has been fluorinated, methylated, and modified with a click modification. The product is a glycosylation that is an oligosaccharide sugar. It is an Oligosaccharide saccharide CAS No. Carbohydrate complex carbohydrate.</p>Purezza:Min. 95%Methyl protodioscin
CAS:<p>Methyl protodioscin is a natural compound that has been shown to have a promising therapeutic effect on autoimmune diseases. Methyl protodioscin is derived from soybean extract and it is known to inhibit the translocation of bacteria across the gut wall, which could be due to its ability to regulate mucin gene expression. In vitro assays show that methyl protodioscin has an effect on mitochondrial membrane potential, which may be related to its anti-inflammatory properties. The effects of methyl protodioscin on mitochondrial functions were studied in C. glabrata, and it was shown that this compound can be used as a therapeutic agent for balloon injury.<br>Methyl protodioscin also inhibits the growth of Candida albicans and other fungi in vivo, suggesting that this compound might have antifungal activity.</p>Formula:C52H86O22Purezza:Min. 95%Peso molecolare:1,063.23 g/molChondroitin sulphate octasaccharide ammonium salt
<p>Chondroitin sulphate octasaccharide ammonium salt is a synthetic, fluorinated glycosaminoglycan. It is a synthetic, fluorinated glycosaminoglycan that has been synthesized from chondroitin sulfate and 2-amino-2-deoxy-D-glucose. Chondroitin sulphate octasaccharide ammonium salt has the CAS number 93860-92-7. It can be modified to make it more complex, such as methylation or click modification to give it different properties. This product is offered in high purity with a custom synthesis service available on request.</p>Purezza:Min. 95%Glycyl-Oligosaccharidesmannose 6
<p>Glycyl-Oligosaccharidesmannose 6 are custom synthesized and modified to contain fluorine atoms. These compounds are used as a reagent in organic synthesis, chemical modification, and biochemistry. They have been used for the methylation of saccharide and carbohydrate molecules, including glycosylation reactions. Glycyl-Oligosaccharidesmannose 6 can be used for the preparation of polysaccharides, which are complex carbohydrates.</p>Formula:C54H92N4O41Purezza:Min. 95%Peso molecolare:1,453.31 g/molNystose
CAS:<p>A short chain isomer of inulin</p>Formula:C24H42O21Purezza:Min. 98 Area-%Colore e forma:White Off-White PowderPeso molecolare:666.58 g/molMaltononaose
CAS:<p>α 1,4-glucononasaccharide derived from starch by hydrolysis and chromatography</p>Formula:C54H92O46Colore e forma:White PowderPeso molecolare:1,477.28 g/molLewis Y-NHCOCH2NH-biotin
<p>Lewis Y-NHCOCH2NH-biotin is a custom synthesis that contains an Oligosaccharide, CAS No., Polysaccharide, Modification, saccharide, Methylation, Glycosylation, Click modification and Carbohydrate. Lewis Y-NHCOCH2NH-biotin is a high purity product that has been fluorinated and synthesized.</p>Formula:C38H63N5O21SPurezza:Min. 95%Peso molecolare:957.99 g/mol1,4-β-D-Xylobiitol
CAS:<p>1,4-β-D-Xylobiitol is a monosaccharide that is synthesized by the glycosylation of β-D-xylose. It is an important component of complex carbohydrates found in plants and animals. Xylobiitol can be modified with methylation or Click chemistry to produce 1,4-β-D-xylopyranosiduronic acid and 1,4-β-D-xylopyranuronic acid respectively. In addition, it can be fluorinated to create 1,4-β-D-fluoroxylobiitol and modified with saccharide or oligosaccharides to produce 1,4-[α]-,1,3-[α]- or 1,3-[β]-linked xylobiitols. Xylobiitol can also be modified with polysaccharides to form xylanolybioside conjugates in which GlcUA residues are linked</p>Formula:C10H20O9Purezza:Min. 95%Colore e forma:PowderPeso molecolare:284.26 g/molLacto-N-difucohexaose I
CAS:<p>Fucosyloligosaccharide present in human milk and colostrum</p>Formula:C38H65NO29Purezza:Min. 95 Area-%Colore e forma:White PowderPeso molecolare:999.91 g/molGQ1b-Ganglioside sodium
CAS:<p>GQ1b ganglioside (sodium salt) has a core tetrasaccharide structure (Galβ1,3GalNAcβ1,4Galβ1,4Glc) with two sialic acids (NeuAc) linked α2,3/α2,8 to the inner galactose residue, two sialic acids (NeuAc) linked α2,3/α2,8 to the terminal galactose residue and ceramide linked β to position 1 on the reducing terminal glucose residue (Ledeen, 2009). Anti-GQ1b ganglioside antibody is associated with Miller Fisher syndrome and is also found in patients with related conditions that may share the same pathogenic mechanism, such as, Bickerstaff brainstem encephalitis. Thus, the measurement of the anti-GQ1b antibody in suspected cases of Miller Fisher syndrome is a useful diagnostic marker (Paparounas, 2004). It has been found that GQ1b ganglioside contributes to synaptic transmission and synapse formation. Low concentrations of GQ1b ganglioside, evoked dopamine (DA) release from laboratory tissues (Chen, 2018).</p>Formula:C106H182N6O56·4NaPurezza:Min. 95%Colore e forma:White PowderPeso molecolare:2,528.55 g/molMaltooctaose
CAS:<p>α 1,4-glucooctasaccharide derived from starch by hydrolysis and chromatography</p>Formula:C48H82O41Purezza:Min. 80 Area-%Colore e forma:White PowderPeso molecolare:1,315.16 g/mol2-Azidoethyl 2-O-(2-acetamido-2-deoxy-b-D-glucopyranosyl)-a-D-mannopyranoside
<p>2-Azidoethyl 2-O-(2-acetamido-2-deoxy-b-D-glucopyranosyl)-a-D-mannopyranoside is a carbohydrate that is a modification of the saccharide oligosaccharide. It has been synthesized by custom synthesis and has high purity, methylation, glycosylation and click modification.</p>Formula:C16H28N4O11Purezza:Min. 95%Peso molecolare:452.41 g/molGM1-Pentasaccharide labelled by biotin
<p>GM1 pentasaccharide biotin (sodium salt) has a core tetrasaccharide structure (Galβ1,3GalNAcβ1,4Galβ1,4Glc) with sialic acid linked α2,3 to the inner galactose residue and biotin linked β to position 1 on the reducing glucose moiety (Ledeen, 2009). The parent ganglioside GM1 is abundant in all mammalian brains, where it covers 10%-20% of the total ganglioside mixture. It is found in epithelial membranes and is a key element for bacterial toxicity and viral infection as it is the intestinal receptor for cholera toxin the B-subunits of heat-labile toxin, rotavirus, and simian virus 40. GM1 ganglioside functions as a neurotrophic and neuroprotective compound and has been used therapeutically for diabetic and peripheral neuropathies. GM1 ganglioside also has the ability to bind amyloid-β proteins and is involved in Alzheimerâs pathogenesis (Chiricozzi, 2020).</p>Formula:C50H83N5O31SPurezza:Min. 95%Colore e forma:White PowderPeso molecolare:1,282.28 g/mol4-O-(β-D-Galactopyranosyl)-D-galactopyranose
CAS:<p>Used as enzyme substrates, analytical standards and for in vitro diagnostics</p>Formula:C12H22O11Purezza:Min. 95%Colore e forma:White Off-White PowderPeso molecolare:342.29 g/mol3'-Sulfated Lewis A sodium salt
CAS:<p>3'-Sulfated Lewis A sodium salt is a synthetic oligosaccharide that is used as an antigen for the diagnosis of pancreatic cancer. It is conjugated to a monoclonal antibody and binds to the Lewis A epitope on the surface of cells. 3'-Sulfated Lewis A sodium salt has been shown to be useful in bladder cancer, where it can be used as a marker for tumorigenicity. It has also been shown to stimulate selectins and increase sugar residues on cell surfaces, which may lead to increased tumor growth.</p>Formula:C20H34NO18SNaPurezza:Min. 95%Colore e forma:White PowderPeso molecolare:631.55 g/mol



